Bài tập Các định luật bảo toàn dạng 3
Chương Các định luật bảo toàn
Bài tập Các định luật bảo toàn dạng 3 thuộc chuyên đề Vật lý 10 bao gồm các bài tập về động năng nhằm hỗ trợ học sinh ôn luyện nâng cao kết quả học môn Lý 10.
Dạng 3: Bài tập về động năng
A. Phương pháp & Ví dụ
- Động năng của vật: 
- Định lí biến thiên động năng: ΔWđ = Wđ2 - Wđ1 = Σ A ngoại lực
Bài tập vận dụng
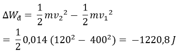
Bài 1: Một viên đạn có khối lượng 14 g bay theo phương ngang với vận tốc 400 m/s xuyên qua tấm gỗ dày 5 cm, sau khi xuyên qua gỗ, đạn có vận tốc 120 m/s. Tính lực cản trung bình của tấm gỗ tác dụng lên viên đạn.
Hướng dẫn:
Độ biến thiên động năng của viên đạn khi xuyên qua tấm gỗ là:

Theo định lí biến thiên động năng:
Ac = ΔWđ = Fc.s = - 1220,8

Dấu trừ chỉ lực cản.
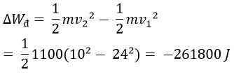
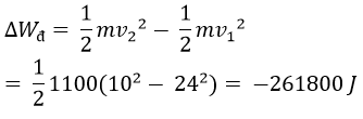
Bài 2: Một ôtô có khối lượng 1100 kg đang chạy với vận tốc 24 m/s.
a. Độ biến thiên động năng của ôtô bằng bao nhiêu khi vận tốc hãm là 10 m/s?
b. Tính lực hãm trung bình trên quãng đường ôtô chạy 60 m.
Hướng dẫn:
Độ biến thiên động năng của ô tô là:

Theo định lí biến thiên động năng:
Ac = ΔWđ = Fc.s = - 261800

Dấu trừ để chỉ lực hãm.
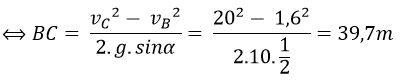
Bài 3: Một xe có khối lượng m = 2 tấn chuyển động trên đoạn AB nằm ngang với vận tốc không đổi v = 6 km/h. Hệ số ma sát giữa xe và mặt đường là μ = 0,2, lấy g = 10 m/s2.
a. Tính lực kéo của động cơ.
b. Đến điểm B thì xe tắt máy và xuống dốc BC nghiêng góc 30° so với phương ngang, bỏ qua ma sát. Biết vận tốc tại chân C là 72 km/h. Tìm chiều dài dốc BC.
c. Tại C xe tiếp tục chuyển động trên đoạn đường nằm ngang CD và đi thêm được 200 m thì dừng lại. Tìm hệ số ma sát trên đoạn CD.
Hướng dẫn:
a. Vì xe chuyển động với vận tốc khống đổi là 6 km/h nên ta có:
Fk = Fms = μmg = 0,2.2.103.10 = 4000 N.
b. Theo định lí biến thiên động năng, ta có:

Vì AN = 0 nên
= AP = m.g.BC.sinα

c. Gia tốc trên đoạn CD.
Ta có: vD2 - vC2 = 2.a.CD ⇔ 
Mặt khác: Fms = - ma ⇔ μ.m.g = - m.a ⇔ 
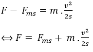
Bài 4: Dưới tác dụng của một lực không đổi nằm ngang, một xe đang đứng yên sẽ chuyển động thẳng nhanh dần đều đi hết quãng đường s = 5 m đạt vận tốc v = 4 m/s. Xác định công và công suất trung bình của lực, biết rằng khối lượng xe m = 500 kg, hệ số ma sát giữa bánh xe và mặt đường nằm ngang μ = 0,01. Lấy g = 10 m/s2.
Hướng dẫn:
Các lực tác dụng lên xe là: F→, Fms→, N→, P→
Theo định luật II Newton, ta có:
F→ + Fms→ + N→ + P→ = m a→
Trên Ox:

Công của trọng lực: A = F.s = 
Công suất trung bình của xe là:
Vì v = at nên 
Bài 5: Ôtô khối lượng 1 tấn, ban đầu chuyển động trên đoạn đường AB = 100m nằm ngang, vận tốc xe đều từ 0 đến 36 km/h. Biết lực cản trên đoạn đường AB bằng 10% trọng lượng xe.
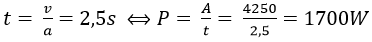
a. Tính công của động cơ, công suất trung bình và lực kéo của động cơ.
b. Sau đó xe tắt máy, hãm phanh và đi xuống dốc BC dài 100 m, cao 10 m. Biết vận tốc của xe ở chân dốc là 7,2 km/h. Tính công của lực cản và lực cản trung bình tác dụng lên xe trên đoạn đường BC.
Hướng dẫn:

a. v0 = 0, vB = 10 m/s
Theo định lí biến thiên động năng, ta có:
AF + AFc = ΔWđ = 0,5 mv2.
⇔ AF + Fc.AB = 0,5 mv2 ⇔ AF - 0,1 mgAB = 0,5 mv2.
⇔ AF = 60 kJ.
Lực kéo F = AF/AB = 600 N.
Gia tốc
⇒ t = v/a = 20s.
⇒ Công suất trung bình P = AF/t = 3 kW.
b. Áp dụng định lí động năng cho vật chuyển động theo phương song song với mặt phẳng nghiêng:

AP + AFc = ΔWđ = 0,5m( v22 - v2 ).
⇔ mgh + AFc = 0,5m( v22 - v2 )
⇔ AFc = - 148 kJ.
Lực cản trung bình: 
B. Bài tập trắc nghiệm
Câu 1: Động năng được tính bằng biểu thức:
A. Wđ = mv2/2
B. Wđ = m2v2/2
C. Wđ = m2v/2
D. Wđ = mv/2
Chọn A
Câu 2: Động năng là đại lượng:
A. Vô hướng, dương, âm hoặc bằng không
B. Vô hướng, có thể dương hoặc bằng không
C. Vectơ, luôn dương
D. Véc tơ, có thể dương hoặc bằng không
Chọn B
Câu 3: Chọn phát biểu sai. Động năng của vật không đổi khi vật:
A. chuyển động với gia tốc không đổi.
B. chuyển động tròn đều.
C. chuyển động thẳng đều.
D. chuyển động với vận tốc không đổi
Chọn C
Câu 4: Động năng của vật tăng khi:
A. gia tốc của vật tăng.
B. vận tốc của vật có giá trị dương.
C. gia tốc của vật giảm.
D. lực tác dụng lên vật sinh công dương.
Chọn A
Câu 5: Khi lực tác dụng vào vật sinh công âm thì động năng:
A. tăng.
B. giảm.
C. không đổi.
D. bằng không
Chọn B
Câu 6: Nếu khối lượng của một vật tăng lên 4 lần và vận tốc giảm đi 2 lần thì động năng của vật sẽ:
A. Không đổi
B. Tăng 2 lần
C. Tăng 4 lần
D. Giảm 2 lần
Chọn A
Câu 7: Một vật đang chuyển động với vận tốc v. Nếu hợp lực tác dụng vào vật triệt tiêu thì động năng của vật:
A. giảm theo thời gian.
B. không thay đổi.
C. tăng theo thời gian.
D. triệt tiêu.
Chọn D
Câu 8: Khi vận tốc của vật tăng gấp đôi, thì:
A. gia tốc của vật tăng gấp đôi.
B. động lượng của vật tăng gấp đôi.
C. động năng của vật tăng gấp đôi.
D. thế năng của vật tăng gấp đôi.
Chọn B
Câu 9: Nhận định nào sau đây về động năng là không đúng?
A. Động năng là đại lượng vô hướng và luôn dương.
B. Động năng có tính tương đối, phụ thuộc hệ quy chiếu.
C. Động năng tỷ lệ thuận với khối lượng và vận tốc của vật.
D. Động năng là năng lượng của vật đang chuyển động.
Chọn A
Câu 10: Một ôtô khối lượng 1000 kg chuyển động với vận tốc 72 km/h. Động năng của ô tô có giá trị:
A. 105 J
B. 25,92.105 J
C. 2.105 J
D. 51,84.105 J
Chọn C
Câu 11: Một ôtô có khối lượng 2 tấn đang chuyển động với vận tốc 36 km/h. Động năng của ô tô là:
A. 10.104J.
B. 103J.
C. 20.104J.
D. 2,6.106J.
Chọn A
Câu 12: Một vật có khối lượng m = 2 kg và động năng 25 J. Động lượng của vật có độ lớn là:
A. 10 kgm/s.
B. 165,25 kgm/s.
C. 6,25 kgm/s.
D. 12,5 kgm/s.
Chọn A
Câu 13: Một vật có khối lượng 0,2 kg được phóng thẳng đứng từ mặt đất với vận tốc 10 m/s.Lấy g = 10 m/s2.Bỏ qua sức cản. Hỏi khi vật đi được quãng đường 8 m thì động năng của vật có giá trị bằng bao nhiêu?
A. 8J
B. 7J
C. 9J
D. 6J
Khi vật đạt đến độ cao cực đại thì vận tốc bằng 0.
Ta có:
⇒ Vật đã đi lên đến độ cao cực đại và rơi xuống 3m so với vị trí này.
Vận tốc của vật khi đi được 8 m là v1.
v12 - v2 = 2gs ⇔ v12 = v2 + 2gs = 60.
⇒ Động năng của vật tại đó là: Wđ = (1/2) mv12 = 6 J
Câu 14: Một vật có khối lượng m = 4 kg và động năng 18 J. Khi đó vận tốc của vật là:
A. 9 m/s
B. 3 m/s
C. 6 m/s
D. 12 m/s
Chọn B
Câu 15: Một vật có khối lượng 500 g rơi tự do từ độ cao z = 100 m xuống đất, lấy g = 10 m/s2. Động năng của vật tại độ cao 50 m so với mặt đất bằng bao nhiêu?
A. 1000 J
B. 250 J
C. 50000 J
D. 500 J
Vận tốc của vật tại độ cao 50 m là v.
Ta có: v2 - v02 = 2gh ⇔ v2 = v02 + 2gh = 02 + 2.10.50 = 1000.
⇒ Động năng của vật tại vị trí đó là: Wđ = (1/2) mv2 = 250 J.
Câu 16: Một vật trọng lượng 1N có động năng 1J. Lấy g = 10 m/s2 khi đó vận tốc của vật bằng bao nhiêu?
A. 4,47 m/s.
B. 1,4 m/s.
C. 1m/s.
D. 0,47 m/s.
Chọn A
Câu 17: Một vật có trọng lượng 4N có động năng 8J. Lấy g = 10 m/s2 . Khi đó vận tốc của vật bằng:
A. 0,45 m/s.
B. 2 m/s.
C. 0,4 m/s.
D. 6,3 m/s.
Chọn D
Câu 18: Một vật có khối lượng m = 2kg đang nằm yên trên một mặt phẳng nằm ngang không ma sát. Dưới tác dụng của lực 10 N vật chuyển động và đi được 10 m. Vận tốc của vật ở cuối chuyển dời ấy:
A. v = 25 m/s
B. v = 7,07 m/s
C. v = 10 m/s
D. v = 50 m/s
F = ma ⇔ a = F/m = 5 m/s2.
Vận tốc của vật ở cuối chuyển dời là v.
Ta có: v2 - v02 = 2as ⇔ v2 = 100 ⇔ v = 10 m/s.
Mời bạn làm thêm
- Làm online: Bài tập Các định luật bảo toàn dạng 3
- Bài tập Các định luật bảo toàn dạng 4
- Bài tập Các định luật bảo toàn dạng 2
- Bài tập Các định luật bảo toàn dạng 1
Để có kết quả cao hơn trong học tập, VnDoc xin giới thiệu tới các bạn học sinh tài liệu Trắc nghiệm Vật lý 10, Giải bài tập Vật Lí 10, Giải bài tập Hóa 10 nâng cao, .... được biên soạn và đăng tải chi tiết.