Bài tập chuyển động thẳng biến đổi đều dạng 1
Chủ đề Chuyển động thẳng biến đổi đều - Vật lý 10
Bài tập chuyển động thẳng biến đổi đều dạng 1 - chuyên đề Vật lý 10, với các dạng bài tập mẫu cùng với bài vận dụng hỗ trợ học sinh nâng cao kết quả môn Lý 10 cơ bản.
Dạng 1: Xác định vận tốc, gia tốc, quãng đường trong chuyển động thẳng biến đổi đều
A. Phương pháp & Ví dụ
Sử dụng các công thức sau:
- Công thức tính độ lớn gia tốc: 
- Công thức vận tốc: v = v0 + at
- Công thức tính quãng đường: 
- Công thức độc lập thời gian: v2 – v02 = 2as
Trong đó: a > 0 nếu chuyển động nhanh dần đều (CĐNDĐ)
a < 0 nếu chuyển động chậm dần đều (CĐCDĐ)
Bài tập vận dụng
Bài 1: Một đoàn tàu đang chuyển động với v0 = 72 km/h thì hãm phanh chuyển động chậm dần đều, sau 10 giây đạt v1 = 54 km/h.
a) Sau bao lâu kể từ lúc hãm phanh thì tàu đạt v = 36 km/h và sau bao lâu thì dừng hẳn.
b) Tính quãng đường đoàn tàu đi được cho đến lúc dừng lại.
Hướng dẫn:
Chọn chiều dương là chiều chuyển động của tàu, gốc thời gian lúc bắt đầu hãm phanh.
Đổi 72 km/h = 20 m/s
54 km/h = 15 m/s
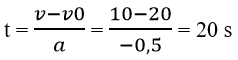
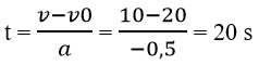
a. Gia tốc của tàu:

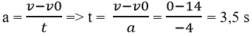
Thời gian kể từ khi hãm phanh đến khi tàu đạt vận tốc v = 36 km/h = 10 m/s là:
Từ v = v0 + a.t ⇒ 
Khi dừng lại hẳn: v2 = 0

b) Quãng đường đoàn tàu đi được:
v22 – v02 = 2as ⇒ s = (v22 – v02)/(2a) = 400 m
Bài 2: Một xe lửa dừng lại hẳn sau 20s kể từ lúc bắt đầu hãm phanh. Trong thời gian đó xe chạy được 120 m. Tính vận tốc của xe lúc bắt đầu hãm phanh và gia tốc của xe.
Hướng dẫn:
Vận tốc ban đầu của xe lửa:
Từ công thức v = v0 + at ⇒ v0 = v – at = - 20a (1)
Quãng đường xe lửa đi được từ khi hãm phanh đến lúc dừng lại:

Từ (1) (2): a = -0,6 m/s2, v0 = 12 m/s
Bài 3: Một chiếc canô chạy với v = 16 m/s, a = 2 m/s2 cho đến khi đạt được v = 24 m/s thì bắt đầu giảm tốc độ cho đến khi dừng hẳn. Biết canô từ lúc bắt đầu tăng vận tốc cho đến khi dừng hẳn là 10s. Hỏi quãng đường canô đã chạy.
Hướng dẫn:
Thời gian cano tăng tốc là:
Từ công thức: v = v0 + at1 ⇔ 24 = 16 + 2.t1 ⇒ t1 = 4s
Vậy thời gian giảm tốc độ: t2 = t – t1 = 6s
Quãng đường đi được khi tăng tốc độ:

Gia tốc của cano từ lúc bắt đầu giảm tốc độ đến khi dừng hẳn là:

Quãng đường đi được từ khi bắt đầu giảm tốc độ đến khi dừng hẳn:

Quãng đường cano đã chạy là:
s = s1 + s2 = 152m
Bài 4: Một chiếc xe lửa chuyển động trên đoạn thẳng qua điểm A với v = 20 m/s, a = 2m/s2. Tại B cách A 100 m. Tìm vận tốc của xe.
Hướng dẫn:
Độ dài quãng đường AB:
⇒ t = 4,14s ( nhận ) hoặc t = -24s ( loại )
Vận tốc của xe:
v = v0 + at ⇒ v = 20 + 2. 4,14 = 28,28 m/s
Bài 5: Một xe máy đang đi với v = 50,4 km/h bỗng người lái xe thấy có ổ gà trước mắt cách xe 24,5m. Người ấy phanh gấp và xe đến ổ gà thì dừng lại.
a. Tính gia tốc
b. Tính thời gian giảm phanh.
Hướng dẫn:
Đổi 50,4 km/h = 14 m/s
a. v2 – v02 = 2as ⇒ a = (v2 – v02)/(2s) 
b. Thời gian giảm phanh:
Từ công thức: 
B. Bài tập trắc nghiệm
Câu 1: Một viên bi lăn nhanh dần đều từ đỉnh một máng nghiêng với v0 = 0, a = 0,5 m/s2. Sau bao lâu viên bi đạt v = 2,5m/s?
A. 2,5s
B. 5s
C. 10s
D. 0,2s
Câu 2: Một đoàn tàu bắt đầu chuyển động nhanh dần đều khi đi hết 1km thứ nhất thì v1 = 10m/s. Tính vận tốc v sau khi đi hết 2km
A. 10 m/s
B. 20 m/s
C. 10√2 m/s
D. 10√3 m/s
Câu 3: Một viên bi thả lăn trên mặt phẳng nghiêng không vận tốc đầu với gia tốc 0,1 m/s2. Hỏi sau bao lâu kể từ lúc thả, viên bi có vận tốc 2 m/s?
A. 20s
B. 10s
C. 15s
D. 12s
Câu 4: Một đoàn tàu bắt đầu rời ga chuyển động nhanh dần đều, sau 20s đạt đến vận tốc 36 km/h. Sau bao lâu tàu đạt đến vận tốc 54 km/h?
A. 10s
B. 20s
C. 30s
D. 40s
Câu 5: Một đoàn tàu đang chạy với vận tốc 54 km/h thì hãm phanh. Sau đó đi thêm 125 m nữa thì dừng hẳn. Hỏi 5s sau lúc hãm phanh, tàu đang chạy với vận tốc là bao nhiêu?
A. 10 m/s
B. 10,5 km/h
C. 11 km/h
D. 10,5 m/s
Câu 6: Trong công thức tính quãng đường đi được của chuyển động thẳng chậm dần đều cho đến khi dừng hẳn:
thì:
A. v0 > 0; a < 0; s > 0
B. Cả A và C đều đúng
C. v0 < 0; a < 0; s > 0
D. v0 < 0; a > 0; s < 0
Câu 7: Chọn phát biểu sai:
A. Vectơ gia tốc của chuyển động thẳng biến đổi đều cùng chiều với vectơ vận tốc
B. Vectơ gia tốc của chuyển động thẳng biến đổi đều có phương không đổi
C. Vectơ gia tốc của chuyển động thẳng chậm dần đều ngược chiều với vectơ vận tốc
D. Vectơ gia tốc của chuyển động thẳng biến đổi đều có độ lớn không đổi
Câu 8: Chọn câu sai: Khi một chất điểm chuyển động thẳng biến đổi đều thì nó:
A. Có gia tốc trung bình không đổi
B. Có gia tốc không đổi
C. Chỉ có thể chuyển động nhanh dần hoặc chậm dần đều
D. Có thể lúc đầu chuyển động chậm dần đều, sau đó nhanh dần đều
Câu 9: Chuyển động thẳng biến đổi đều là chuyển động:
A. Có quỹ đạo là đường thẳng, vectơ gia tốc bằng không
B. Có quỹ đạo là đường thẳng, vectơ gia tốc không thay đổi trong suốt quá trình chuyển động
C. Có quỹ đạo là đường thẳng, vectơ gia tốc và vận tốc không thay đổi trong suốt quá trình chuyển động
D. Có quỹ đạo là đường thẳng, vectơ vận tốc không thay đổi trong suốt quá trình chuyển động
Câu 10: Chọn câu sai: Chất điểm sẽ chuyển động thẳng nhanh dần đều nếu:
A. a < 0 và v0 = 0
B. a > 0 và v0 = 0
C. a < 0 và v0 > 0
D. a > 0 và v0 > 0
Câu 11: Đặc điểm nào sau đây sai với chuyển động thẳng nhanh dần đều?
A. Hiệu quãng đường đi được trong những khoảng thời gian liên tiếp luôn bằng hằng số
B. Vận tốc của vật luôn dương
C. Quãng đường đi biến đổi theo hàm bậc hai của thời gian
D. Vận tốc biến đổi theo hàm bậc nhất của thời gian
Câu 12: Gia tốc là một đại lượng:
A. Đại số, đặc trưng cho tính không thay đổi của vận tốc
B. Véctơ, đặc trưng cho sự thay đổi nhanh hay chậm của vận tốc
C. Vectơ, đặc trưng cho tính nhanh hay chậm của chuyển động
D. Vectơ, đặc trưng cho tính không thay đổi của vận tốc
Câu 13: Một đoàn tàu đang chạy với vận tốc 72 km/h thì hãm phanh, chạy chậm dần đều sau 10s thì vận tốc còn 54 km/h. Hỏi sau bao lâu kể từ lúc hãm phanh thì tàu dừng hẳn?
A. 55 s
B. 50 s
C. 45 s
D. 40 s
Câu 14: Khi đang chạy với vận tốc 36 km/h thì ôtô bắt đầu chạy xuống dốc. Nhưng do bị mất phanh nên ôtô chuyển động thẳng nhanh dần đều với gia tốc 0,2 m/s2 xuống hết dốc có độ dài 960 m. Khoảng thời gian ôtô chạy xuống hết đoạn dốc là bao nhiêu?
A. 30 s
B. 40 s
C. 60 s
D. 80 s
Câu 15: Một vật chuyển động thẳng nhanh dần đều với vận tốc đầu v0 = 18 km/h. Sau 15 s, vật đạt vận tốc 20 m/s. Gia tốc của vật là:
A. 1 km/h
B. 1 m/s2
C. 0, 13 m/s
D. 0, 13 km/h
| Câu | 1 | 2 | 3 | 4 | 5 | 6 | 7 | 8 | 9 | 10 | 11 | 12 | 13 | 14 | 15 |
| Đ/án | B | C | A | C | D | A | A | C | B | C | B | B | D | C | B |
Mời bạn làm thêm
- Lý thuyết: Chuyển động thẳng biến đổi đều
- Dạng 2: Tính quãng đường vật đi được trong giây thứ n và trong n giây cuối
- Dạng 3: Viết phương trình chuyển động thẳng biến đổi đều
Để có kết quả cao hơn trong học tập, VnDoc xin giới thiệu tới các bạn học sinh tài liệu Trắc nghiệm Vật lý 10, Giải bài tập Vật Lí 10, Giải bài tập Hóa 10 nâng cao, .... được biên soạn và đăng tải chi tiết.