Bài tập Các hiện tượng bề mặt của chất lỏng
Chuyên đề Chất rắn và chất lỏng. Sự chuyển thể
Bài tập Các hiện tượng bề mặt của chất lỏng thuộc chuyên đề Vật lý 10 được VnDoc đăng tải, với các dạng bài tập vận dụng và câu hỏi trọng tâm hỗ trợ học sinh ôn luyện môn Lý 10.
Dạng 3: Các hiện tượng bề mặt của chất lỏng
A. Phương pháp & Ví dụ
1. Lực căng bề mặt.
- Lực căng bề mặt tác dụng lên một đoạn đường nhỏ bất kì trên bề mặt chất lỏng luôn luôn có phương vuông góc với đoạn đường này và tiếp tuyến với bề mặt chất lỏng, có chiều làm giảm diện tích bề mặt của chất lỏng và có độ lớn tỉ lệ thuận với độ dài của đoạn đường đó :
f = σ l.
- Với σ là hệ số căng mặt ngoài, có đơn vị là N/m. Hệ số σ phụ thuộc vào bản chất và nhiệt độ của chất lỏng : σ giảm khi nhiệt độ tăng.
2. Hiện tượng dính ướt và không dính ướt.
- Bề mặt chất lỏng ở sát thành bình chứa nó có dạng mặt khum lỏm khi thành bình bị dính ướt và có dạng mặt khum lồi khi thành bình không bị dính ướt.
3. Hiện tượng mao dẫn.
- Hiện tượng mức chất lỏng ở bên trong các ống có đường kính nhỏ luôn dâng cao hơn, hoặc hạ thấp hơn so với bề mặt chất lỏng ở bên ngoài ống gọi là hiện tượng mao dẫn.
- Các ống trong đó xẩy ra hiện tượng mao dẫn gọi là ống mao dẫn.
- Hệ số căng mặt ngoài σ càng lớn, đường kính trong của ống càng nhỏ mức chênh lệch chất lỏng trong ống và ngoài ống càng lớn.
Bài tập vận dụng
Bài 1: Một màng xà phòng được căng trên mặt khung dây đồng hình chữ nhật treo thẳng đứng, đoạn dây ab dài 50mm và có thể trượt dễ dàng trên khung. Tính trọng lượng P của đoạn dây ab để nó cân bằng. Màng xà phòng có hệ số căng mặt ngoài σ = 0,04N/m.
Hướng dẫn:
Lực căng bề mặt của xà phòng là: F = σ.l.
Để dây nằm cân bằng thì: F = P.
⇔ P = σ.l = 2.10-3 N.
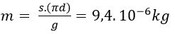
Bài 2: Cho nước vào một ống nhỏ giọt có đường kính miệng ống là d = 0,4mm. Hệ số căng bề mặt của nước là s = 73.10-3 N/m. Lấy g = 9,8m/s2. Tính khối lượng giọt nước khi rơi khỏi ống.
Hướng dẫn:
Lúc giọt nước hình thành, lực căng bề mặt F ở đầu ống kéo nó lên là:
F = s.l = s.(πd).
Giọt nước rơi khỏi ống khi trọng lượng giọt nước bằng lực căng bề mặt: F = P.
⇔ mg = s.(πd) ⇔
= 0,0094g
Bài 3: Nhúng một khung hình vuông có chiều dài mỗi cạnh là 10cm vào rượu rồi kéo lên. Tính lực tối thiểu kéo khung lên, nếu biết khối lượng của khung là 5g. cho hệ số căng bề mặt của rượu là 24.10-3N/m và g = 9,8m/s2.
Hướng dẫn:
Lực kéo cần thiết để nâng khung lên: Fk = mg + f.
Ở đây f = 2.s.l nên:
Fk = mg + 2.s.l = 5.10-3.9,8+2.24.10-3.4.0,1 = 0,068 N
Bài 4: Một cộng rơm dài 10cm nổi trên mặt nước. người ta nhỏ dung dịch xà phòng xuống một bên mặt nước của cọng rơm và giả sử nước xà phòng chỉ lan ra ở một bên. Tính lực tác dụng vào cộng rơm. Biết hệ số căng mặt ngoài của nước và nước xà phòng lần lượt là s1 = 73.10-3 N/m, s2 = 40.10-3 N/m.
Hướng dẫn:
Giả sử bên trái là nước,bên phải là dung dịch xà phòng. Lực căng bề mặt tác dụng lên cộng rơm gồm lực căng mặt ngoài F1→, F2→ của nước và nước xà phòng.
Gọi l là chiều dài cộng rơm: Ta có: F1 = s1.l, F2 = s2.l. Do s1 > s2 nên cộng rơm dịch chuyển về phía nước.
Hợp lực tác dụng lên cọng rơm: F = F1 – F2 = (73 – 40).10-3.10.10-2 = 33.10-4N.
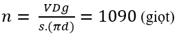
Bài 5: Có 20 cm3 nước đựng trong một ống nhỏ giọt có đường kính đầu mút là 0,8 mm. Giả sử nước trong ống chảy ra ngoài thành từng giọt một. Hãy tính xem trong ống có bao nhiêu giọt, cho biết s = 0,073 N/m, D = 103 kg/m3, g = 10 m/s2.
Hướng dẫn:
Khi giọt nước bắt đầu rơi: P1 = F
⇔ m1 g = s.l.
⇔ V1 Dg = s.l.
⇔ (V/n).Dg = s.(πd).
Suy ra số giọt nước trong ống là:

B. Bài tập trắc nghiệm
Câu 1: Hiện tượng nào sau đây không liên quan đến hiện tượng căng bề mặt của chất lỏng?
A. Bong bóng xà phòng lơ lửng trong không khí.
B. Chiếc đinh ghim nhờn mỡ nổi trên mặt nước.
C. Nước chảy từ trong vòi ra ngoài.
D. Giọt nước động trên lá sen.
Chọn C
Câu 2: Chiều của lực căng bề mặt chất lỏng có tác dụng :
A. Làm tăng diện tích mặt thoáng của chất lỏng.
B. Làm giảm diện tích mặt thoáng của chất lỏng.
C. Giữ cho mặt thoáng của chất lỏng luôn ổn định.
D. Giữ cho mặt thoáng của chất lỏng luôn nằm ngang.
Chọn B
Câu 3: Điều nào sau đây là sai khi nói về lực căng bề mặt của chất lỏng?
A. Độ lớn lực căng bề mặt tỉ lệ với độ dài đường giới hạn l mặt thoáng của chất lỏng.
B. Hệ số căng bề mặt σ của chất lỏng phụ thuộc vào bản chất của chất lỏng.
C. Hệ số căng bề mặt σ không phụ thuộc vào nhiệt độ của chất lỏng.
D. Lực căng bề mặt có phương tiếp tuyến với mặt thoáng của chất lỏng và vuông góc với đường giới hạn của mặt thoáng.
Chọn A
Câu 4: Hiện tượng dính ướt của chất lỏng được ứng dụng để:
A. Làm giàu quặng (loại bẩn quặng) theo phương pháp tuyển nổi.
B. Dẫn nước từ nhà máy đến các gia đình bằng ống nhựa.
C. Thấm vết mực loang trên mặt giấy bằng giấy thấm.
D. Chuyển chất lỏng từ bình nọ sang bình kia bằng ống xi phông.
Chọn A
Câu 5: Chọn những câu đúng trong các câu sau:
A. Nếu lực tương tác giữa các phân tử chất rắn với chất lỏng mạnh hơn lực tương tác giữa các phân tử chất lỏng với nhau thì có hiện tượng dính ướt.
B. Nếu lực tương tác giữa các phân tử chất rắn với chất lỏng mạnh hơn lực tương tác giữa các phân tử chất lỏng với nhau thì có hiện tượng không dính ướt.
C. Sự dính ướt hay không dính ướt là hệ quả của tương tác rắn lỏng.
D. Khi lực hút của các phân tử chất lỏng với nhau hớn hơn lực hút của các phân tử chất khí với chất lỏng thì có hiện tượng không dính ướt.
Chọn A
Câu 6: Chọn những câu đúng trong các câu sau:
A. Hiện tượng mao dẫn là hiện tượng nước trong các ống có tiết diện nhỏ (hoặc các khe nhỏ) được dâng lên hay hạ xuống so với mực nước trong bình chứa.
B. Hiện tượng mao dẫn là hiện tượng trong các ống có tiết diện nhỏ (hoặc các khe nhỏ) được dâng lên so với mực chất lỏng trong bình chứa.
C. Hiện tượng mao dẫn là hiện tượng trong các ống mao quản (hoặc các khe nhỏ) được dâng lên hay hạ xuống so với mực chất lỏng trong bình chứa.
D. Nếu ống mao dẫn có tiết diện rất nhỏ thì xảy ra hiện tượng mao dẫn.
Chọn A
Câu 7: Chọn những câu đúng trong các câu sau:
A. Người ta chỉ dựa vào hiện tượng căng mặt ngoài của chất lỏng để giải thích hiện tượng mao dẫn.
B. Hiện tượng dính ướt hay không dính ướt là yếu tố gây nên hiện tượng mao dẫn.
C. Khi lực tương tác giữa các phân tử chất lỏng với nhau và lực tương tác giữa các phân tử chất lỏng với chất rắn, có sự chênh lệch với nhau là một trong những yếu tố gây nên hiện tượng mao dẫn.
D. Độ dâng lên hay hạ xuống của mực chất lỏng trong ống mao dẫn phụ thuộc vào tiết diện ống mao dẫn, khối lượng riêng của chất lỏng và bản chất của chất lỏng.
Chọn D
Câu 8: Điều nào sau đây là sai khi nói về các phân tử cấu tạo nên chất lỏng?
A. Khoảng cách giữa các phân tử chất lỏng vào khoảng kích thước phân tử.
B. Mỗi phân tử chất lỏng luôn dao động hỗn độn quanh một vị trí cân bằng xác định. Sau một khoảng thời gian nào đó , nó lại nhảy sang một vị trí cân bằng khác.
C. Mọi chất lỏng đều được cấu tạp từ một loại phân tử.
D. Khi nhiệt độ tăng, chuyển động nhiệt của các phân tử chất lỏng cũng tăng.
Chọn C
Câu 9: Hịên tượng nào sau đây không liên quan đến hiện tượng căng bề mặt của chất lỏng.
A. Bong bóng xà phòng lơ lửng trong không khí.
B. Chiếc đinh ghim nhờn mỡ nỗi trên mặt nước.
C. Nước chảy từ trong vòi ra ngoài.
D. Giọt nước động trên lá sen.
Chọn C
Câu 10: Chiều của lực căng bề mặt chất lỏng có tác dụng :
A. Làm tăng diện tích mặt thoáng của chất lỏng.
B. làm giảm diện tích mặt thoáng của chất lỏng.
C. Giữ cho mặt thoáng của chất lỏng luôn ổn định.
D. Giữ cho mặt thoáng của chất lỏng luôn nằm ngang.
Chọn B
Câu 11: Điều nào sau đây là sai khi nói về lực căng bề mặt của chất lỏng?
A. Độ lớn lực căng bề mặt tỉ lệ với độ dài đường giới hạn l mặt thoáng của chất lỏng.
B. Hệ số căng bề mặt s của chất lỏng phụ thuộc vào bản chất của chất lỏng.
C. Hệ số căng bề mặt s không phụ thuộc vào nhiệt độ của chất lỏng.
D. Lực căng bề mặt có phương tiếp tuyến với mặt thoáng của chất lỏng và vuông góc với đường giới hạn của mặt thoáng.
Chọn C
Câu 12: Hiện tượng dính ướt của chất lỏng được ứng dụng để:
A. Làm giàu quặng (loại bẩn quặng) theo phương pháp tuyển nổi.
B. Dẫn nước từ nhà máy đến các gia đình bằng ống nhựa.
C. Thấm vết mực loang trên mặt giấy bằng giấy thấm.
D. Chuyển chất lỏng từ bình nọ sang bình kia bằng ống xi phông.
Chọn D
Câu 13: Ống được dùng làm ống mao dẫn phải thoả mãn điều kiện:
A. Tiết diện nhỏ, hở cả hai đầu và không bị nước dính ướt.
B. Tiết diện nhỏ hở một đầu và không bị nước dính ướt.
C. Tiết diện nhỏ, hở cả hai đầu.
D. Tiết diện nhỏ, hở cả hai đầu và bị nước dính ướt.
Chọn C
Câu 14: Phát biểu nào sau đây là đúng khi nói về hiện tượng mao dẫn?
A. Hiện tượng mao dẫn là hiện tượng chất lỏng trong những ống có tiết diện nhỏ được dâng lên hay hạ xuống so với mực chất lỏng bên ngoài ống.
B. Hiện tượng mao dẫn chỉ xảy ra khi chất làm ống mao dẫn bị nước dính ướt.
C. Hiện tượng mao dẫn chỉ xảy ra khi chất làm ống mao dẫn không bị nước làm ướt.
D. Cả ba phát biểu A, B, C đều đúng
Chọn A
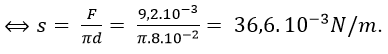
Câu 15: Một vòng dây kim loại có đường kính 8cm được dìm nằm ngang trong một chậu dầu thô. Khi kéo vòng dây ra khỏi dầu, người ta đo được lực phải tác dụng thêm do lực căng bề mặt là 9,2.10-3N. Hệ số căng bề mặt của dầu trong chậu là giá trị nào sau đây:
A. s = 36,6.10-3 N/m.
B. s = 36,6.10-4 N/m.
C. s = 36,6.10-5 N/m.
D. s = 36,6.10-6 N/m.
Lực căng bề mặt của dầu là: F = s.l = s.(πd).

Mời bạn làm thêm
- Làm online: Bài tập Các hiện tượng bề mặt của chất lỏng
- Bài tập Chất rắn kết tinh, chất rắn vô định hình
- Bài tập Sự nở vì nhiệt của chất rắn
- Bài tập Sự chuyển thể của các chất
Để có kết quả cao hơn trong học tập, VnDoc xin giới thiệu tới các bạn học sinh tài liệu Trắc nghiệm Vật lý 10, Giải bài tập Vật Lí 10, Giải bài tập Hóa 10 nâng cao, .... được biên soạn và đăng tải chi tiết.