Bài tập chuyển động thẳng đều dạng 1
Chủ đề Chuyển động thẳng đều - Chuyên đề Động học chất điểm
Bài tập chuyển động thẳng đều dạng 1 - Xác định vận tốc, quãng đường và thời gian trong chuyển động thẳng đều do VnDoc tổng hợp lý thuyết trọng tâm, các dạng bài tập tiêu biểu và bài tập trắc nghiệm vận dụng, hỗ trợ học sinh dễ dàng ôn luyện nâng cao kết quả môn Lý 10.
Dạng 1: Xác định vận tốc, quãng đường và thời gian trong chuyển động thẳng đều
A. Phương pháp & Ví dụ
- Sử dụng công thức trong chuyển động thẳng đều: S = v.t
- Công thức tính tốc độ trung bình: 
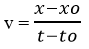
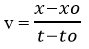
Vận tốc trung bình: 
Bài tập vận dụng
Bài 1: Một xe chạy trong 5h: 2h đầu xe chạy với tốc độ trung bình 60 km/h, 3h sau xe chạy với tốc độ trung bình 40 km/h. Tính tốc độ trung bình của xe trong suốt thời gian chuyển động.
Hướng dẫn:
Quãng đường đi trong 2h đầu: S1 = v1.t1 = 60.2 = 120 km
Quãng đường đi trong 3h sau: S2 = v2.t2 = 40.3 = 120 km
Tốc độ trung bình của xe trong suốt thời gian chuyển động:

Bài 2: Một xe đi nửa đoạn đường đầu tiên với tốc độ trung bình v1 = 12 km/h và nửa đoạn đường sau với tốc độ trung bình v2 = 20 km/h. Tính tốc độ trung bình trên cả đoạn đường.
Hướng dẫn:
Thời gian đi nửa đoạn đường đầu: 
Thời gian đi nửa đoạn đường cuối: 
Tốc độ trung bình: 
Bài 3: Một ô tô đi trên con đường bằng phẳng với v = 60 km/h, sau đó lên dốc 3 phút với v = 40 km/h. Coi ôtô chuyển động thẳng đều. Tính quãng đường ô tô đã đi trong cả giai đoạn.
Hướng dẫn:
S1 = v1.t1 = 5 km
S2 = v2.t2 = 2 km
S = S1 + S2 = 7 km
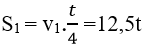
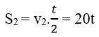
Bài 4: Một ô tô đi từ A đến B. Đầu chặng ô tô đi 1/4 tổng thời gian với v = 50 km/h. Giữa chặng ô tô đi 1/2 thời gian với v = 40 km/h. Cuối chặng ô tô đi 1/4 tổng thời gian với v = 20 km/h. Tính tốc độ trung bình của ô tô?
Hướng dẫn:
Quãng đường đi đầu chặng: 
Quãng đường chặng giữa: 
Quãng đường đi chặng cuối: 
Tốc độ trung bình: 
Bài 5: Hai xe cùng chuyển động đều trên đường thẳng. Nếu chúng đi ngược chiều thì cứ 30 phút khoảng cách của chúng giảm 40km. Nếu chúng đi cùng chiều thì cứ sau 20 phút khoảng cách giữa chúng giảm 8km. Tính vận tốc mỗi xe.
Hướng dẫn:
Chọn chiều dương là chiều chuyển động của mỗi xe.
Nếu đi ngược chiều thì 
Nếu đi cùng chiều thì 
Giải (1) (2): v1 = 52 km/h ; v2 = 28 km/h
B. Bài tập trắc nghiệm
Câu 1: Tính tốc độ trung bình khi biết tổng quãng đường là 40m, tổng thời gian đi hết quãng đường đó là 7s
A. 7m/s
B. 5,71m/s
C. 2,85m/s
D. 0,7m/s
Câu 2: Một vật chuyển động thẳng không đổi chiều. Trên quãng đường AB, vật đi nửa quãng đường đầu với vận tốc v1 = 20m/s, nửa quãng đường sau vật đi với vận tốc v2 = 5m/s. Vận tốc trung bình trên cả quãng đường là:
A. 12,5m/s
B. 8m/s
C. 4m/s
D. 0,2m/s
Câu 3: Một xe chuyển động thẳng không đổi chiều; 2 giờ đầu xe chạy với vận tốc trung bình 60 km/h, 3 giờ sau xe chạy với vận tốc trung bình 40km/h. Vận tốc trung bình của xe trong suốt thời gian chạy là:
A. 50km/h
B. 48 km/h
C. 44km/h
D. 34km/h
Câu 4: Một xe chuyển động thẳng không đổi chiều có vận tốc trung bình là 20 km/h trên 1/4 đoạn đường đầu và 40 km/h trên 3/4 đoạn đường còn lại. Vận tốc trung bình của xe trên cả đoạn đường là:
A. 30km/h
B. 32 km/h
C. 128km/h
D. 40km/h
Câu 5: Một xe chuyển động thẳng không đổi chiều, trong nửa thời gian đầu xe chạy với vận tốc 12 km/h. Trong nửa thời gian sau xe chạy với vận tốc 18 km/h. Vận tốc trung bình trong suốt thời gian đi là:
A. 15km/h
B. 14,5km/h
C. 7,25km/h
D. 26km/h
Câu 6: Một người đi xe đạp không đổi chiều trên 2/3 đoạn đường đầu với vận tốc trung bình 10 km/h và 1/3 đoạn đường sau với vận tốc trung bình 20 km/h. Vận tốc trung bình của người đi xe đạp trên cả quảng đường là
A. 12km/h
B. 15km/h
C. 17km/h
D. 13,3km/h
Câu 7: Thế nào là chuyển động thẳng đều?
A. Chuyển động thẳng đều là chuyển động có quỹ đạo là đường thẳng và có tốc độ trung bình như nhau trên mọi quãng đường
B. Chuyển động thẳng đều là chuyển động trên đường thẳng, có vectơ vận tốc không đổi theo thời gian
C. Chuyển động thẳng đều là chuyển động trên đường thẳng, vật đi được những quãng đường bằng nhau trong những khoảng thời gian bằng nhau
D. Cả 3 đáp án trên
Câu 8: Chọn đáp án đúng:
Trong chuyển động thẳng đều:
A. Quãng đường đi được s tỉ lệ nghịch với tốc độ v
B. Tọa độ x tỉ lệ thuận với tốc độ v
C. Tọa độ x tỉ lệ thuận với thời gian chuyển động t
D. Quãng đường đi được s tỉ lệ thuận với thời gian chuyển động t
Câu 9: Công thức tính tốc độ trung bình là:



Câu 10: Chọn câu phát biểu ĐÚNG. Trong chuyển động thẳng đều thì:
A. Quãng đường đi được s tăng tỉ lệ với vận tốc v.
B. Tọa độ x tăng tỉ lệ với vận tốc v.
C. Tọa độ x tỉ lệ thuận với thời gian chuyển động t.
D. Quãng đường đi được s tỉ lệ thuận với thời gian chuyển động t.
| Câu | 1 | 2 | 3 | 4 | 5 | 6 | 7 | 8 | 9 | 10 |
| Đáp án | B | B | B | B | A | A | D | D | C | D |
Mời các bạn tham khảo thêm
- Làm online: Bài tập chuyển động thẳng đều dạng 1
- Lý thuyết: Chuyển động thẳng đều
- Bài tập chuyển động thẳng đều dạng 2: Viết phương trình chuyển động thẳng đều
- Bài tập chuyển động thẳng đều dạng 3: Vẽ đồ thị của chuyển động thằng đều
Để có kết quả cao hơn trong học tập, VnDoc xin giới thiệu tới các bạn học sinh tài liệu Trắc nghiệm Vật lý 10, Giải bài tập Vật Lí 10, Giải bài tập Hóa 10 nâng cao, .... được biên soạn và đăng tải chi tiết.