Lý thuyết: Sự rơi tự do
Chủ đề Sự rơi tự do - Vật lý 10
Lý thuyết: Sự rơi tự do thuộc chương trình chuyên đề Vật lý 10 do VnDoc biên soạn, nhằm hỗ trợ thầy cô cùng các em trong quá trình học tập đạt kết quả cao.
Lý thuyết: Sự rơi tự do
1. Sự rơi trong không khí và sự rơi tự do
a) Sự rơi của các vật trong không khí
Trong không khí các vật rơi nhanh hay chậm không phải vì nặng nhẹ khác nhau mà lực cản của không khí là nguyên nhân làm cho vật rơi nhanh hay chậm khác nhau.
b) Sự rơi của các vật trong chân không (sự rơi tự do)
Nếu loại bỏ được ảnh hưởng của không khí thì mọi vật sẽ rơi nhanh như nhau. Sự rơi của các vật trong trường hợp này gọi là sự rơi tự do.
⇒ Sự rơi tự do (sự rơi của các vật trong chân không) là sự rơi chỉ dưới tác dụng của trọng lực.
2. Nghiên cứu sự rơi tự do của các vật
a) Những đặc điểm của chuyển động rơi tự do
- Phương: Thẳng đứng.
- Chiều: Từ trên xuống dưới.
- Chuyển động rơi tự do là chuyển động thẳng nhanh dần đều.
b) Các công thức của chuyển động rơi tự do không có vận tốc đầu
- Công thức tính vận tốc.
Nếu cho vật rơi tự do, không có vận tốc đầu (thả nhẹ cho rơi) thì công thức tính vận tốc của sự rơi tự do là:
v = gt
Trong đó g là gia tốc rơi tự do.
- Công thức tính quãng đường đi được của vật rơi tự do:
c) Gia tốc rơi tự do
- Tại một nơi nhất định trên Trái Đất và ở gần mặt đất, mọi vật đều rơi tự do với cùng gia tốc g.
- Gia tốc rơi tự do ở các nơi khác nhau trên Trái Đất thì khác nhau:
- Ở địa cực g lớn nhất: g = 9,8324 m/s2
- Ở xích đạo g nhỏ nhất: g = 9,7872 m/s2
- Nếu không đòi hỏi độ chính xác cao, có thể lấy g = 9,8 m/s2 hoặc g = 10 m/s2
II. PHƯƠNG PHÁP GIẢI
1. Xác định thời gian vật rơi trong giây thứ n và trong n giây cuối
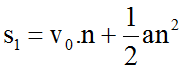
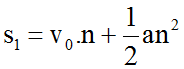
a) Quãng đường vật đi được trong giây thứ n
- Tính quãng đường vật đi trong n giây:
- Tính quãng đường vật đi trong (n - 1) giây:
- Tính quãng đường vật đi trong giây thứ n: Δs = s1 - s2
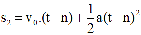
b) Quãng đường vật đi trong n giây cuối
- Tính quãng đường vật đi trong t giây:
- Tính quãng đường vật đi trong (t - n) giây:
- Tính quãng đường vật đi trong n giây cuối: Δs = s1 - s2
2. Xác định vị trí hai vật gặp nhau được thả rơi với cùng thời điểm khác nhau
- Chọn chiều dương hướng xuống, gốc tọa độ tại vị trí bắt đầu rơi, gốc thời gian lúc bắt đầu rơi (của vật rơi trước).
- Phương trình chuyển động có dạng:
- Vật 1:
- Vật 2:
Hai vật gặp nhau khi chúng có cùng tọa độ, y1 = y2
⇒ Thời điểm hai vật gặp nhau (t)
Thay t vào phương trình chuyển động của vật 1 hoặc vật 2 để tìm vị trí hai vật gặp nhau.
Mời làm thêm
- Dạng 1: Tính quãng đường, vận tốc trong rơi tự do
- Dạng 2: Tính quãng đường vật đi được trong giây thứ n và n giây cuối
- Dạng 3: Xác định vị trí 2 vật gặp nhau được thả rơi tại thời điểm khác nhau
- Lý thuyết: Chuyển động tròn đều
Để có kết quả cao hơn trong học tập, VnDoc xin giới thiệu tới các bạn học sinh tài liệu Trắc nghiệm Vật lý 10, Giải bài tập Vật Lí 10, Giải bài tập Hóa 10 nâng cao, .... được biên soạn và đăng tải chi tiết.