Bài tập Chuyển động của vật bị ném dạng 1
Chuyên đề Động lực học chất điểm
Mời các bạn cùng tham khảo Bài tập Chuyển động của vật bị ném dạng 1 thuộc chương trình chuyên đề Vật lý 10, hỗ trợ ôn luyện nâng cao kết quả học tập của bản thân trong môn Lý 10.
Bài toán ném vật theo phương thẳng đứng
A. Phương pháp & Ví dụ
- Ném lên tương đương với chuyển động thẳng chậm dần đều với gia tốc g
- Ném xuống tương đương với chuyển động thẳng nhanh dần đều với gia tốc g
Sử dụng các công thức sau:
- Công thức tính độ lớn gia tốc: a = F/m
- Công thức vận tốc: v = v0 + at
- Công thức tính quãng đường: s = v0t + at2
- Công thức độc lập thời gian: v2 – v02 = 2as
Trong đó: a > 0 nếu chuyển động nhanh dần đều (CĐNDĐ)
a < 0 nếu chuyển động chậm dần đều (CĐCDĐ)
Bài tập vận dụng
Bài 1: Từ mặt đất quả cầu khối lượng m = 100 g được ném lên thẳng đứng với vận tốc vo. Biết quả cầu đạt độ cao cực đại là 8 m và thời gian từ lúc ném đến lúc trở lại mặt đất là 3s. Lấy g = 10 m/s2. Biết độ lớn lực của không khí là F. Tìm vo và F.
Hướng dẫn:
Gia tốc của vật 
Chọn chiều dương hướng lên khi vật ném lên:

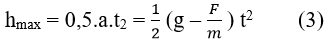
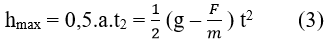
hmax = - vo2/2a = vo2/(2g + 2F/m) (1)

Khi vật rơi tự do

Từ (1) (2) và (3) kết hợp với t1 + t2 = 3; hmax = 8 m ⇒ vo = 16 m/s; F = 0,6 N
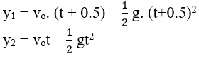
Bài 2: Một vật được ném lên thẳng đứng với vận tốc 4,9 m/s. Cùng lúc đó tại điểm có độ cao bằng độ cao cực đại mà vật lên tới, người ta ném xuống thẳng đứng vật khác cũng có vận tốc 4,9 m/s. Sau bao lâu hai vật đụng nhau, lấy g = 9,8 m/s2
Hướng dẫn:
Chọn gốc tọa độ tại vị trí vật ném lên, chiều dương hướng lên.
Độ cao cực đật vật ném lên đạt được là
h1 = - vo2/ (-2g) = 1,225 m
Phương trình chuyển động của hai vật
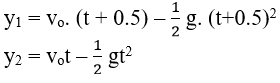
y1 = vot – 0.5gt2
y2 = h1 – vot – 0.5gt2
Hai vật gặp nhau ⇒ y1 = y2 ⇒ t = 0.125 s
Bài 3: Hai vật được ném thẳng đứng lên cao từ cùng một điểm với cùng vận tốc vo = 25 m/s. Vật nọ sau vật kia khoảng thời gian to.
a. Cho to = 0,5s. Hỏi hai vật gặp nhau sau khi ném vật thứ hai bao lâu và ở độ cao nào.
b. Tìm to để câu hỏi trên có nghiệm.
Hướng dẫn:
a.Chọn gốc tọa độ tại thời điểm ném, chiều dương hướng lên, gốc thời gian lúc ném vật thứ hai.
Phương trình chuyển động của hai vật là

Hai vật gặp nhau y1 = y2 ⇒ t = 2.25s ⇒ y1 = y2 = 30.9 m
b. Thời gian chuyển động tối đa của vật (2)

⇒ t = 5 ⇒ để câu a có nghiệm to ≤ 5
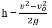
Bài 4: Một vật được ném lên thẳng đứng từ mặt đất, bỏ qua lực cản của không khí. Tính độ cao cực đại mà vật đạt được biết vận tốc ban đầu của vật là 20 m/s, lấy g = 10 m/s2
Hướng dẫn:
Chuyển động của vật là chuyển động thẳng chậm dần đều với gia tốc
a = - g = -10 m/s2
vo = 20 m/s
độ cao cực đại = quãng đường mà vật đi được đến khi dừng lại (v = 0)
v2 – vo2 = 2as ⇒ s = hmax = 20 m
Bài 5: Một vật được ném lên theo phương thẳng đứng từ mặt đất. Sau 4s vật lại rơi xuống mặt đất. cho g = 10 m/s2. Tính
a. Vận tốc ban đầu của vật.
b. Độ cao tối đa mà vật lên tới
c. Vận tốc của vật ở độ cao bằng 3/4 độ cao tối đa
Hướng dẫn:
a. Chọn chiều dương hướng lên thì phương trình chuyển động của vật là:

Khi vật chạm đất 
Vậy 
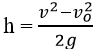
b. Ta có: v2 – vo2 = 2gh ⇒ 
Khi vật ở độ cao tối đa: v = 0 suy ra h = 20 m
c. Từ công thức: v12 – vo2 = 2gh1 ⇒ 
Với h1 = 3/4 h = 15 m
B. Bài tập trắc nghiệm
Câu 1: Bi A có trọng lượng gấp đôi bi B. Cùng một lúc tại cùng mái nhà ở cùng độ cao thì bi A được thả còn bi B được ném theo phương ngang với tốc độ lớn. Bỏ qua sức cản không khí. Câu nào sau đây là đứng:
A. Chưa đủ thông tin để kết luận
B. Cả hai chạm đất cùng lúc
C. A chạm đất sau B
D. B chạm đất sau A
Chọn B
Câu 2: Khi một máy bay đang bay thẳng đều ở độ cao h với tốc độ v0 thì thả rơi một vật. Khi vật chạm đất máy bay cách chỗ thả vật là bao nhiêu?

Chọn C
*Một người ném hòn đá từ độ cao 2 m lên trên theo phương thẳng đứng với vận tốc là 6 m/s. Trả lời câu hỏi 3-4 dưới đây
Câu 3: Sau bao lâu hòn đá chạm đất?
A. 1.47s
B. 1.25s
C. 2s
D. 1s
Vì đây là ném thẳng đứng hướng lên nên có 2 giai đoạn.
+ giai đoạn 1: đi lên
là chuyển động chậm dần đều nên có: a = - g
thời gian đi lên t = vo/g = 0,6 s
quãng đường lớn nhất có thể đạt được: hmax = v02/(2g) = 1.8 m
+ giai đoạn 2: đi xuống
khi đó vo = 0, đây là rơi tự do
quãng đường lúc đi xuống là 2 + 1.8 = 3.8 m
ta có h = (1/2)gt2 ⇔ 3.8 = (1/2).10.t2 ⇔ t = 0.87s
vậy sau 0.87 + 0.6 = 1.47s thì hòn đá sẽ chạm đất
Câu 4: Vận tốc của hòn đá lúc chạm đất bằng bao nhiêu?
A. 5 m/s
B. 2.5 m/s
C. 6.4 m/s
D. 8.7 m/s
vận tốc của hòn đá lúc chạm đất là v = gt = 10.0,87 = 8.7 m/s
Câu 5: Từ một điểm trên mặt đất người ta phóng đi đồng thời hai vật A và B theo phương thẳng đứng với các vận tốc đầu khác nhau. Lấy một trong hai vật làm hệ quy chiếu thì vật kia chuyển động ra sao?
A. Chuyển động thẳng đều so với vật còn lại
B. Chuyển động thẳng biến đổi đều so với vật còn lại
C. Không có liên hệ gì
D. Hai vật chuyển động cùng nhau
Chọn chiều dương hướng lên
Vận tốc của vật A: v1 = v01 – gt
Vận tốc của vật B: v2 = v02 – gt
Chọn hệ quy chiếu gắn với vật A thì vận tốc tương đối của vật B so với vật A là:
v21 = v2 – v1 = (v02 – gt) – (v01 – gt) = v02 – v01 = const
Chọn hệ quy chiếu gắn với vật B thì vận tốc tương đối của vật A so với vật B là:
v12 = v1 – v2 = (v01 – gt) – (v02 – gt) = v01 – v02 = const
Vậy nếu chọn một vật làm hệ quy chiếu thì vật còn lại sẽ chuyển động thẳng đều so với vật này.
Câu 6: Một vật được ném lên thẳng đứng với vận tốc 4.9 m/s. Cùng lúc đó tại điểm có độ cao cực đại mà vật đạt tới thì người a ném xuống thẳng đứng vật khác cũng có vận tốc 4.9 m/s. Sau bao lâu hai vật đụng nhau?
A. 0.1s
B. 0.125s
C. 0.25s
D. 0.15s
Chọn gốc tọa độ tại vị trí vật bị ném lên có chiều dương hướng lên
Độ cao cực đại vật ném lên đạt được là:
h1 = - v02/(-2g) = 1.225 m
Phương trình chuyển động của hai vật:
y1 = v0t – 0.5 gt2
y2 = h1 – v0t – 0.5 gt2
Hai vật gặp nhau: y1 = y2 suy ra t = 0.125s
* Một tên lửa được phóng theo phương thẳng đứng và chuyển động với gia tốc 2g trong thời gian động cơ hoạt động là 50s. Bỏ qua lực cản của không khí và sự thay đổi g theo độ cao. Trả lời câu 7-8:
Câu 7: Tính độ cao cực đại mà tên lửa đạt được?
A. 75 km
B. 100 km
C. 60 km
D. 87 km
Chọn gốc tọa độ tại mặt đất chiều dương hướng lên và gốc thời gian lúc bắt đàu phóng tên lửa.
Chuyển động có 2 giai đoạn:
+ Giai đoạn CĐNDĐ với gia tốc a1 = 2g khi động cơ hoạt động
vt1 = a1t1 = 2gt1 = 2.10.50 = 1000 m/s; v01 = 0
+ Giai đoạn CĐCDĐ với gia tốc a2 = - g khi động cơ ngừng hoạt động
v01 = vt1 = 2gt1 = 2.10.50 = 1000 m/s; vt2 = 0
⇒ hmax = h1 + h2 = 75000 m = 75 km
Câu 8: Tính thời gian từ lúc phóng tên lửa đến khi trở lại mặt đất?
A. 200.5s
B. 200s
C. 272.5s
D. 272s
Từ lúc phóng tên lửa đến lúc tên lửa rơi xuống đất có thể chia làm ba giai đoạn:
+ Giai đoạn 1 là chuyển động nhanh dần đều với gia tốc a1 = 2g khi động cơ hoạt động trong thời gian t1 = 50s
+ Giai đoạn 2 là chuyển động chậm dần đều của tên lửa với gia tốc a2 = - g khi động cơ ngừng hoạt động đến độ cao cực đại:
+ Giai đoạn 3 là rơi tự do từ độ cao cực đại ta có:
⇒ t = t1 + t2 + t3 = 272.5s
Câu 9: Một vật được ném lên thẳng đứng từ mặt đất, bỏ qua lực cản của không khí. Tính độ cao cực đại mà vật đạt được biết vận tốc ban đầu của vật là 15 m/s, lấy g = 10 m/s2
A. 11 m
B. 12 m
C. 12.5 m
D. 11.25 m
Chuyển động của vật là chuyển động thẳng chậm dần đều với gia tốc:
a = - g = - 10 m/s2
vo = 15 m/s
độ cao cực đại=quãng đường mà vật đi được đến khi dừng lại (v = 0)
v2 – vo2 = 2as ⇒ s = hmax = 11.25 m
*Một vật được ném lên theo phương thẳng đứng từ mặt đất. Sau 6s vật lại rơi xuống mặt đất. cho g = 10m/s2. Trả lời câu hỏi 10-11-12 dưới đây:
Câu 10: Vận tốc ban đầu của vật.
A. 50 m/s
B. 25 m/s
C. 30 m/s
D. 87 m/s
Chọn chiều dương hướng lên thì phương trình chuyển động của vật là:
Khi vật chạm đất y = 0 ⇒ 
Vậy 
Câu 11: Độ cao tối đa mà vật lên tới
A. 20 m
B. 25 m
C. 37 m
D. 45 m
Ta có: v2 – vo2 = 2gh ⇒ 
Khi vật ở độ cao tối đa: v = 0 suy ra h = 45 m
Câu 12: Vận tốc của vật ở độ cao bằng 1/2 độ cao tối đa
A. ± 15√2 m/s
B. 15√2 m/s
C. ± 15 m/s
D. 15 m/s
Từ công thức: v12 – vo2 = 2gh1 ⇒ 
Với h1 = 0.5 h = 22.5 m
Câu 13: Hai vật ở cùng độ cao vật 1 được ném ngang với vận tốc đầu v0. Cùng lúc đó thì vật 2 được thả rơi tự do không vận tốc đầu. Bỏ qua sức cản của không khí thì lựa chọn nào sau đây là đúng?
A. Vật 1 chạm đất sau vật 2
B. Vật 1 chạm đất trước vật 2
C. Hai vật chạm đất cùng lúc
D. Thời gian rơi phụ thuộc vào khối lượng của vật
Chọn C
Câu 14: Khi một máy bay đang bay thẳng đều ở độ cao h với tốc độ v0 thì thả rơi một vật. Khi vật chạm đất có vận tốc bao nhiêu?
A. v = gt2
B. v = gt
C. v = v0 + gt
D. v = (1/2)gt
Chọn B
Câu 15: Một vật được ném lên thẳng đứng từ mặt đất, bỏ qua lực cản của không khí. Tính độ cao cực đại mà vật đạt được biết vận tốc ban đầu của vật là 22 m/s, lấy g = 10 m/s2
A. 18.8 m
B. 24.2 m
C. 12.5 m
D. 25.6 m
Chuyển động của vật là chuyển động thẳng chậm dần đều với gia tốc:
a = - g = - 10 m/s2
vo = 22 m/s
độ cao cực đại = quãng đường mà vật đi được đến khi dừng lại (v = 0)
v2 – vo2 = 2as ⇒ s = hmax = 24.2 m
Mời bạn tham khảo
- Làm online: Bài tập Chuyển động của vật bị ném dạng 1
- Bài tập Chuyển động của vật bị ném dạng 2
- Bài tập Lực đàn hồi
- Bài tập Lực hấp dẫn dạng 2
Để có kết quả cao hơn trong học tập, VnDoc xin giới thiệu tới các bạn học sinh tài liệu Trắc nghiệm Vật lý 10, Giải bài tập Vật Lí 10, Giải bài tập Hóa 10 nâng cao, .... được biên soạn và đăng tải chi tiết.