Bài tập Các định luật bảo toàn dạng 4
Chương Các định luật bảo toàn
VnDoc mời các bạn cùng tham khảo bài Bài tập Các định luật bảo toàn dạng 4 với các bài tập về thế năng thuộc chuyên đề Vật lý 10 nhằm hỗ trợ quá trình ôn luyện nâng cao kết quả học môn Lý 10.
Dạng 4: Bài tập về thế năng
A. Phương pháp & Ví dụ
- Thế năng trọng trường:
Wt = mgz
- Độ giảm thế năng bằng công của trọng lực:
Ap = ΔWt = mgz1 - mgz2
- Thế năng đàn hồi:

Bài tập vận dụng
Bài 1: Một xe có khối lượng m = 2,8 kg chuyển động theo quỹ đạo cong như hình vẽ. Độ cao của các điểm A, B, C, D, E được tính đối với mặt đất và có các giá trị: hA = 6 m, hB = 3 m, hC = 4 m, hD = 1,5 m, hE = 7 m. Lấy g = 10 m/s2.

Tính độ biến thiên thế năng của xe trong trọng lượng khi nó di chuyển:
a. Từ A đến B.
b. Từ B đến C.
c. Từ A đến D.
d. Từ A đến E.
Hướng dẫn:
a. Từ A đến B:
ΔWt = mg(hA- hB ) = 2,8.10.(3-6)= -84 J ⇒ thế năng giảm.
b. Từ B đến C:
ΔWt = mg(hB - hC ) = 2,8.10.(4-3)= 28 J ⇒ thế năng tăng.
c. Từ A đến D:
ΔWt = mg(hC - hD ) = 2,8.10.(1,5-6)= -126 J ⇒ thế năng giảm.
d. Từ A đến E:
ΔWt = mg(hA - hE ) = 2,8.10.(5-6) = -28 J ⇒ thế năng giảm.
Bài 2: Một vật có khối lượng 3 kg được đặt ở vị trí trong trọng trường và có thế năng tại đó Wt1 = 500 J. Thả vật rơi tự do đến mặt đất có thế năng Wt2 = -900 J.
a. Hỏi vật đã rơi từ độ cao nào so với mặt đất.
b. Xác định vị trí ứng với mức không của thế năng đã chọn.
c. Tìm vận tốc của vật khi vật qua vị trí này.
Hướng dẫn:

a. Chọn chiều dương có trục Oz hướng lên trên.
Ta có: Wt1 - Wt2 = 500 -(-900) = 1400 J = mgz1 + mgz2.

Vậy vật rơi từ độ cao 47,6 m.
b. Tại vị trí ứng với mức không của thế năng z = 0.
Thế năng tại vị trí z1: 
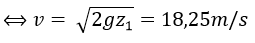
c) Vận tốc tại vị trí z = 0.
Ta có: v2 - v02 = 2gz1.

Bài 3: Một vật có khối lượng m = 6 kg được đặt ở một vị trí trong trọng trường và có thế năng tại vị trí đó bằng Wt1 = 720 J. Thả tự do cho vật rơi tới mặt đất, tại đó thế năng của vật bằng Wt2 = - 240 J. Lấy g = 10 m/s2.
a. Hỏi vật đã rơi từ độ cao nào so với mặt đất?
b. Hãy xác định gốc thế năng đã được chọn ở đâu.
c. Tìm vận tốc vật khi đi qua vị trí gốc thế năng.
Hướng dẫn:
Chọn chiều dương của trục z hướng lên trên.
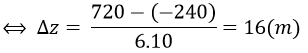
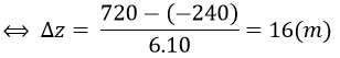
a. Ta có:
Wt1 - Wt2 = mg(z1 - z2) ⇔ Δz = z1 - z2 = 

b. Tại vị trí gốc thế năng, z = 0.
Wt1 = mgz1 = 720 J ⇔ z1 =
= 12(m)
Vị trí ban đầu cao hơn vị trí gốc thế năng 12 m. Có thể kiểm tra lại thế năng tại mặt đất:
Wt2 = mgz2 = - 224 J ⇔ z2 = (-240)/(6.10) = -4(m).
c) Vận tốc khi thế năng:

Bài 4: Một cần cẩu nâng một thùng hàng có khối lượng 420 kg từ mặt đất lên độ cao 3 m ( tính theo di chuyển khối tâm của thùng), sau đó đổi hương và hạ thùng này xuống sàn một ôtô tải ở độ cao 1,25 m so với mặt đất.
a. Tìm thế năng của thùng trong trọng trương khi ở độ cao 3 m. Tính công của lực phát động ( lực căng của dây cáp) để nâng thùng hàng lên độ cao này.
b. Tìm độ biến thiên thế năng khi hạ thùng từ độ cao 3 m xuống sàn ôtô. Công của trọng lực có phụ thuộc cách di chuyển thùng giữa hai vị trí đó hay không? Tại sao?
Hướng dẫn:
a. Thế năng của thùng: Wt = mgz = 420.10.3 = 12600 (J).
Coi thùng được nâng đều, lực phát động có độ lớn bằng trọng lực. Độ giảm thế năng bằng công của trọng lực:
Wt - 0 = - AP.
Công của lực phát động: AF = - AP = Wt = 12600 (J).
b. Độ biến thiên thế năng khi hạ thùng xuống sàn ôtô:
W = W2 - W1 = mg(h2 - h1 ) = 420.10.(1,25-3) = -7350 (J)
Trong trường hợp này thế năng giảm.
Công của trọng lực không phụ thuộc vào cách di chuyển thùng giữa hai vị trí vì trọng lực là lực thế, công của nó chỉ phụ thuộc vào mực chênh lệch độ cao giữa hai vị trí đầu và cuối mà không phụ thuộc vào dạng đường đi.
Bài 5: Một người đứng yên trên cầu ném một hòn đá có khối lượng 50 g lên cao theo phương thẳng đứng. Hòn đá lên đến độ cao 6 m (tính từ điểm ném) thì dừng và rơi trở xuống mặt nước thấp hơn điểm ném 2 m.
1) Tìm thế năng của vật trong trọng trường ở vị trí cao nhất nếu chọn:
a. Điểm ném vật làm mốc.
b. Mặt nước làm mốc.
2) Tính công do trọng lực thực hiện khi hòn đá đi từ điểm ném lên đến điểm cao nhất và khi nó rơi từ điểm cao nhất tới mặt nước. Công này có phụ thuộc vào việc chọn hai mốc khác nhau ở câu 1 hay không?
Hướng dẫn:
1) Chọn trục tọa độ Oy hướng thẳng đứng từ dưới lên.
a. Điểm ném làm mốc, vị trí cao nhất có tọa độ h = 6 m.
⇒ Wt = mgh = 2,94 (J).
b. Mặt nước làm mốc, vị trí cao nhất có tọa độ:
h’ = h + 2 = 6 + 2 = 8 m.
Wt' = mgh’ = 3,92 (J).
2)
- Công do trọng lực thực hiện khi vật chuyển động từ điểm ném đến vị trí cao nhất:
+ Điểm ném làm mốc: A12 = Wt1 - Wt2 = 0 - 2,94 = -2,94 (J).
+ Mặt nước làm mốc: A12 = W 't1 - W 't = (0 + 0,98)- 3,92 = - 2,94 (J).
Ta nhận thấy công của trọng lực không phụ thuộc vào việc chọn gốc toạn độ mà chỉ phụ thuộc mức chênh lệch giữa hai độ cao. Dấu trừ chứng tỏ trọng lực thực hiện công âm khi vật di chuyển từ thấp lên cao.
- Công do trọng lực thực hiện khi vật rơi từ điểm cao nhất tới mặt nước:
+ Điểm ném làm mốc: A23 = Wt2 - Wt3 = 2,94 - (0-0,98) = 3,92 (J).
+ Mặt nước làm mốc: A23 = W 't2- W 't3 = 3,92 - 0 = 3,92 (J).
Như vậy, trọng lực thực hiện công dương (không phụ thuộc mốc được chọn) khi vật chuyển động từ vị trí cao xuống thấp.
B. Bài tập trắc nghiệm
Câu 1: Dạng năng lượng tương tác giữa trái đất và vật là:
A. Thế năng đàn hồi.
B. Động năng.
C. Cơ năng.
D. Thế năng trọng trường.
Chọn D
Câu 2: Một vật nằm yên có thể có:
A. Thế năng
B. Vận tốc
C. Động năng
D. Động lượng
Chọn A
Câu 3: Biểu thức nào sau đây không phải biểu thức của thế năng?
A. Wt = mgh
B. W = mg(z2 – z1)
C. W = P.h
D. W = mgh/2
Chọn D
Câu 4: Thế năng của một vật không phụ thuộc vào (xét vật rơi trong trọng trường):
A. Vị trí vật.
B. Vận tốc vật.
C. Khối lượng vật.
D. Độ cao.
Chọn B
Câu 5: Một lò xo có độ cứng k, bị kéo giãn ra một đoạn x. Thế năng đàn hồi lò xo được tính bằng biểu thức:
A. Wt = kx2/ 2
B. Wt = kx2
C. Wt = kx/2
D. Wt = k2x2/2
Chọn A
Câu 6: Thế năng đàn hồi của lò xo khi lò xo nén lại một đoạn ( < 0 ) là:

Chọn B
Câu 7: So sánh không đúng giữa thế năng hấp dẫn với thế năng đàn hồi?
A. Cùng là một dạng năng lượng
B. Có dạng biểu thức khác nhau
C. Đều phụ thuộc vào điểm đầu và điểm cuối
D. Đều là đại lượng vô hướng, có thể dương, âm hoặc bằng không
Chọn C
Câu 8: Một vật đang chuyển động có thể không có:
A. Động lượng
B. Động năng
C. Thế năng
D. Cơ năng
Chọn C
Câu 9: Một vật m được ném thẳng đứng lên cao với vận tốc v từ mặt đất. Gia tốc rơi tự do là g, bỏ qua sức cản không khí. Khi vật có động năng bằng thế năng thì nó ở độ cao so với mặt đất là:

Vị trí động năng bằng thế năng: Wđ = Wt

Câu 10: Thế năng hấp dẫn là đại lượng:
A. Vô hướng, có thể âm, dương hoặc bằng không
B. Vô hướng, có thể dương hoặc bằng không
C. Véctơ có cùng hướng với véc tơ trọng lực
D. Véctơ có độ lớn luôn dương hoặc bằng không
Chọn A
Câu 11: Một lò xo bị nén 5 cm. Biết độ cứng lò xo k = 100 N/m, thế năng của lò xo là:
A. 0,125 J
B. 0,25 J
C. 125 J
D. 250 J
Chọn A
Câu 12: Thế năng của vật nặng 2kg ở đáy 1 giếng sâu 10m so với mặt đất tại nơi có gia tốc g=10 m/s2 là bao nhiêu?
A. -100 J
B. 100 J
C. 200 J
D. -200 J
Chọn D
Câu 13: Một lò xo có độ cứng 100 N/m, một đầu cố định, đầu kia gắn với vặt nhỏ. Khi lò xo bị nén 4 cm thì thế năng đàn hồi của hệ là:
A. 800 J
B. 0,08 J
C. 8 N.m
D. 8 J
Chọn B
Câu 14: Một vật có khối lượng m được ném thẳng đứng lên cao từ mặt đất với vận tốc 7 m/s. Bỏ qua sức cản của không khí. Lấy g = 10 m/s2. Vật đạt được độ cao cực đại so với mặt đất là:
A. 2,54 m.
B. 4,5 m.
C. 4,25 m
D. 2,45 m.
Chọn D
Câu 15: Một lò xo bị giãn 4 cm, có thế năng đàn hồi 0,2 J. Độ cứng của lò xo là:
A. 250 N/m
B. 125 N/m
C. 500 N/m
D. 200 N/m
Chọn A
Mời bạn làm thêm
- Làm online: Bài tập Các định luật bảo toàn dạng 4
- Bài tập Các định luật bảo toàn dạng 5
- Bài tập Các định luật bảo toàn dạng 3
- Bài tập Các định luật bảo toàn dạng 2
- Bài tập Các định luật bảo toàn dạng 1
Để có kết quả cao hơn trong học tập, VnDoc xin giới thiệu tới các bạn học sinh tài liệu Trắc nghiệm Vật lý 10, Giải bài tập Vật Lí 10, Giải bài tập Hóa 10 nâng cao, .... được biên soạn và đăng tải chi tiết.