Bài tập Lực hướng tâm dạng 1
Chuyên đề Động lực học chất điểm
VnDoc mời các bạn cùng tham khảo Bài tập Lực hướng tâm dạng 1 thuộc chuyên đề Vật lý 10 được biên soạn chi tiết với công thức cùng các dạng bài tập vận dụng quan trọng, hỗ trợ học sinh ôn luyện môn Lý 10.
Dạng 1: Tính lực hướng tâm
A. Phương pháp & Ví dụ
Vận dụng các công thức trong chuyển động tròn đều
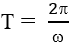
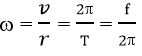
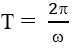
- Công thức chu kì : 
- Công thức tần số: 
- Công thức tốc độ góc: 
- Lực hướng tâm: Fht = maht
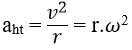
- Công thức gia tốc hướng tâm: 
- Công thức liên hệ giữa tốc độ dài, tốc độ góc: v = r.ω
Bài tập vận dụng
Bài 1: Xe đạp của 1 vận động viên chuyển động thẳng đều với v = 36 km/h. Biết bán kính của lốp bánh xe đạp là 40 cm. Tính tốc độ góc và gia tốc hướng tâm tại một điểm trên lốp bánh xe.
Hướng dẫn:
Vận tốc xe đạp cũng là tốc độ dài của một điểm trên lốp xe: v = 10 m/s
Tốc độ góc: 
Gia tốc hướng tâm tại một điểm trên lóp bánh xe là:

Bài 2: Vệ tinh A của Việt Nam được phòng lên quỹ đạo ngày 19/4/2008. Sau khi ổn định, vệ tinh chuyển động tròn đều với v = 2.21 km/h ở độ cao 24000km so với mặt đất. Bán kính Trái Đất là 6389 km. Tính tốc độ góc, chu kì, tần số của vệ tinh.
Hướng dẫn:
v = 2,21 km/h = 0,61 m/s
r = R + h = 24689 km = 24689.103 m
ω = v.r = 15060290 rad/s
Chu kì: 
Tần số: f = 1/T = 2398135 vòng/s
Bài 3: Một đồng hồ treo tường có kim giờ dài 2,5 cm, kim phút dài 3 cm. So sánh tốc độ góc, tốc độ dài của 2 đầu kim nói trên.
Hướng dẫn:
- Đối với kim giờ:
Th = 43200s ⇒ 
suy ra vh = r.ω = 2.5.10-2.1.45.10-4 = 3.4.10-6 m/s
- Đối với kim phút:
Tph = 3600s ⇒ 
suy ra vph = r.ω = 0.03. 1.74.10-3 = 5.22.10-5 m/s
vậy ωph = 12 ωh
vph = 14.4 vh
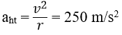
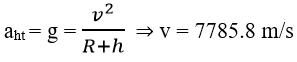
Bài 4: Một vệ tinh quay quanh Trái Đất tại độ cao 200 km so với mặt đất. Ở độ cao đó g = 9,2 m/s2. Hỏi tốc độ dài của vệ tinh là bao nhiêu?
Hướng dẫn:
Ta có:

Bài 5: Một đĩa đồng chất có dạng hình tròn có R = 30 cm đang quay tròn đều quanh trục của nó. Biết thời gian quay hết 1 vòng là 2s. Tính tốc độ dài, tốc độ góc của 2 điểm A, B nằm trên cùng 1 đường kính của đĩa. Biết điểm A nằm trên vành đĩa, điểm B nằm trên trung điểm giữa tâm O của vòng tròn và vành đĩa.
Hướng dẫn:
RA = 30 cm ⇒ RB = 15 cm
Tốc độ góc: ω = 2πT = πrad/s = ωB
Ta có: vA = rA.ω = 0.94 m/s; vB = rB.ω = 0.47 m/s
B. Bài tập trắc nghiệm
Câu 1: Chọn phát biểu sai
A. Vệ tinh nhân tạo chuyển dộng ròn đều quanh trái đất do lực hấp dẫn đóng vai trò lực hướng tâm
B. Vật nằm nghiêng dưới mặt bàn nằm ngang đang quay đều quanh rục thẳng đứng thì lực ma sát nghỉ đóng vai trò lực hướng tâm
C. Xe chuyển động vào một đoạn đường cong lực đóng vai trò lực hướng tâm là lực ma sát
D. Xe chuyển động trên đỉnh một cầu hình vòng cung thì hợp lực của trọng lực và phản lực vuông góc đóng vai trò lực hướng tâm.
Chọn C
Câu 2: Điều nào sau đây là đúng khi nói về lực tác động lên vật chuyển động tròn đều:
A. Ngoài các lực cơ học vật còn chịu thêm tác dụng của lực hướng tâm.
B. Vật chỉ chịu tác dụng của một vật duy nhất.
C. Hợp lực của tất cả các lực tác dụng lên vật nằm theo phương tiếp tuyến với quỹ đạo.
D. Hợp lực của tất cả các lực tác dụng lên vật đóng vai trò là lực hướng tâm.
Chọn D
Câu 3: Khi vật chuyển động tròn đều thifd lực hướng tâm là:
A. Trọng lực tác dụng lên vật
B. Hợp lực của tất cả các lực tác dụng lên vật
C. Trọng lực tác dụng lên vật
D. Lực hấp dẫn
Chọn B
Câu 4: Một vật chuyển động tròn đều theo quỹ đạo có bán kính R = 100 cm với gia tốc hướng tâm aht = 4 m/s2. Chu kì chuyển động của vật là:
A. T = 2π
B. T = π
C. T = 4π
D. T = 0.5π
Ta có:
⇒ ω = 2 rad/s ⇒ T = 2π
* Bán kính Trái Đất là 6400 km. Tính tốc độ dài, chu kỳ quay, độ lớn lực hấp dẫn tác dụng lên vệ tinh khối lượng 600 kg chuyển động tròn đều quanh trái đất ở độ cao bằng bán kính trái đất, lấy g = 9,8 m/s2. Trả lời câu hỏi 5-6-7 dưới đây
Câu 5: Tính tốc độ dài của vệ tinh
A. 5600 m/s
B. 2477 m/s
C. 4756 m/s
D. 6820 m/s
r = 2.6400.103 m; m = 600kg, g = 9,8 m/s2
Lực hấp dẫn đóng vai trò lực hướng tâm ⇒ Fhd = Fht
Giải
Fhd = Fht ⇒ GMmr2 = mv2r
g = GM/R2 ⇒ GM = gR2
⇒ v2 = GMr = gR2r ⇒ v = 5600 m/s
T = 2π.rv = 14354s
Fhd = Fht = mv2/r = 1500 N
Câu 6: Tính chu kỳ quay của vệ tinh
A. 18735s
B. 92465s
C. 44783s
D. 14354s
T = 2π.rv = 14354s
Câu 7: Tính độ lớn lực hấp dẫn tác dụng lên vệ tinh
A. 2000 N
B. 1800 N
C. 1500 N
D. 1750 N
Fhd = Fht = mv2/r = 1500 N
Câu 8: Một vật có m = 500g chuyển động tròn đều trên đường tròn có r = 10 cm. Lực hướng tâm tác dụng lên vật 5 N. Tính tốc độ góc của vật.
A. 10 rad/s
B. 12 rad/s
C. 15.5 rad/s
D. 18 rad/s
Ta có: Fht = mrω2 ⇒ ω = 10 rad/s
Câu 9: Một vệ tinh nhân tạo có quỹ đạo là một đường tròn cách mặt đất 400 km, quay quanh Trái đất 1 vòng hết 90 phút. Gia tốc hướng tâm của vệ tinh là bao nhiêu, RTĐ = 6389 km.
A. 4.9 m/s2
B. 9.13 m/s2
C. 6.35 m/s2
D. 3.81 m/s2
T = 90 phút = 5400s
Vậy ω = 2πT = 1.16.10-3 rad/s
Ta có: aht = v2/r = (R + r).ω2 = 9,13 m/s2
Câu 10: Một vệ tinh nhân tạo bay quanh Trái Đất ở độ cao h bằng bán kính R của Trái Đất.Tính tốc độ dài của vệ tinh. Lấy g = 10 m/s2 ; R = 6 400 km.
A. 4300 m/s
B. 5660 m/s
C. 6273 m/s
D. 3917 m/s
Ta có:

* Một vệ tinh khối lượng 200 kg đang bay trên quỹ đạo tròn quanh Trái Đất mà tại đó nó có trọng lượng 2661 N. Chu kỳ của vệ tinh là 5300s.
Câu 11: Tính lực hướng tâm tác dụng lên vệ tinh.
A. 6440 N
B. 4788 N
C. 2661 N
D. 4367 N
Ta có Fht = P = 2661 N
Câu 12: Tính khoảng cách từ tâm Trái Đất đến vệ tinh.
A. 2994 m
B. 6442 m
C. 4928 m
D. 1675 m
Vì Fht = P = mrω2 ⇒ 
Câu 13: Xe trò chơi của 1 công viên chuyển động tròn đều với v = 72 km/h. Biết bán kính của lốp xe là 45 m. Tính gia tốc hướng tâm tại một điểm trên lốp bánh xe.
A. 3.8 m/s2
B. 6.3 m/s2
C. 5.6 m/s2
D. 8.9 m/s2
Vận tốc xe đạp cũng là tốc độ dài của một điểm trên lốp xe: v = 20 m/s
Gia tốc hướng tâm tại một điểm trên lốp bánh xe là:

Câu 14: Một vệ tinh quay quanh Trái Đất tại độ cao 250 km so với mặt đất. Ở độ cao đó g = 9,1 m/s2. Hỏi tốc độ dài của vệ tinh là bao nhiêu?
A. 1364.5 m/s
B. 4682.3 m/s
C. 3873.3 m/s
D. 1527.5 m/s
Ta có:

Câu 15: Chọn câu sai:
A. Vệ tinh nhân tạo chuyển động tròn quanh trái đất là do vệ inh chịu hai lực cân bằng
B. Một vật chuyển động thẳng đều vì các lực tác dụng lên vật cân bằng nhau
C. Vật chịu tác dụng của hai lực cân bằng thì chuyển động thẳng đều nếu vật đang chuyển động
D. Vecto hợp lực có hướng trùng với hướng của vecto gia tốc vật thu được
Chọn A
Mời bạn tham khảo
- Làm online: Bài tập Lực hướng tâm dạng 1
- Bài tập Lực ma sát dạng 1
- Bài tập Lực ma sát dạng 2
- Bài tập Lực ma sát dạng 3
- Bài tập Lực ma sát dạng 4
- Bài tập Lực hướng tâm dạng 2
Để có kết quả cao hơn trong học tập, VnDoc xin giới thiệu tới các bạn học sinh tài liệu Trắc nghiệm Vật lý 10, Giải bài tập Vật Lí 10, Giải bài tập Hóa 10 nâng cao, .... được biên soạn và đăng tải chi tiết.