Bài tập Chuyển động của vật bị ném dạng 2
Chuyên đề Động lực học chất điểm
Bài tập Chuyển động của vật bị ném dạng 2 nằm trong chuyên đề Vật lý 10, do VnDoc biên soạn và đăng tải nhằm hỗ trợ học sinh ôn luyện nâng cao kết quả học tập của bản thân môn Lý 10.
Bài toán ném vật theo phương ngang
A. Phương pháp & Ví dụ
Xét vật M được ném theo phương ngang với vận tốc v0→, từ độ cao h.
Chuyển động của vật M được phân làm 2 thành phần:
- Theo phương Ox: M chuyển động thẳng đều vx = v0; v = v0t
- Theo phương Oy: M rơi tự do vy = g.t; y = (1/2).gt2
Phương trình chuyển động là: x = v0t; y = (1/2).gt2
Góc nghiêng của: tgα = vy/vx = 2gy/v0
- Phương trình quỹ đạo: là một nhánh của parabol đỉnh O.
Khi vật chạm đất: Ở cùng độ cao: vật rơi tự do và và vật ném ngang có cùng thời gian để chạm đất.
Bài tập vận dụng
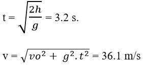
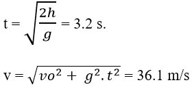
Bài 1: Ném vật theo phương ngang ở độ cao 50 m so với mặt đất, lấy g = 9.8 m/s2, vận tốc lúc ném là 18 m/s, tính thời gian và vận tốc của vật khi chạm đất.
Hướng dẫn:
Ta có: g = 9.8 m/s2; h = 50 m; vo = 18 m/s

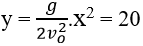
Bài 2: Ném vật theo phương ngang với vận tốc 10 m/s từ độ cao 40 m xuống đất. Lấy g = 10 m/s2
a. Xác định tọa độ của vật sau 2s.
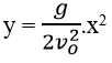
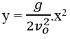
b. Phương trình quỹ đạo của vật
c. Xác định vị trí vật chạm đất theo phương ngang, và vận tốc khi chạm đất.
Hướng dẫn:
Ta có: vo = 10 m/s; h = 40 m; g = 10 m/s2
a. Khi t = 2s ta có: x = vot = 20 m; y = (0.5)gt2 = 20 m
b. Phương trình quỹ đạo của vật: 
c. vị trí chạm đất theo phương ngang

Vận tốc khi chạm đất là

Bài 3: Một quả cầu được ném theo phương ngang từ độ cao 80 m. Sau khi chuyển động 3s, vận tốc của quả cầu hợp với phương ngang góc 45°.
a. Tính vận tốc ban đầu của quả cầu.
b. Quả cầu sẽ chạm đất lúc nào, ở đầu, với vận tốc bao nhiêu.
Hướng dẫn:

a. Chọn gốc tọa độ tại mặt đất với hệ trục tọa độ Oxy có Ox nằm ngang và Oy thẳng đứng.
Chuyển động của vật có hai thành phần:
+ Theo phương Ox: vật chuyển động thẳng đều với:
vx = vo = const (1)
x = vot (2)
+ Theo phương Oy vật rơi tự do với;
vx = gt (3)
y = h – (1/2)gt2 (4)
Tại thời điểm t = 3s; α = 45° ⇒ vx = vy
Vậy vo = gt = 10.3 = 30 m/s
b. Khi quả cầu chạm đất: y = 0

Tầm bay xa theo phương ngang: x = xmax = vot = 120 m
Vận tốc của vật lúc chạm đất:

Bài 4: Ném vật theo phương ngang từ đỉnh dốc nghiêng góc 30° với phương ngang. Lấy g = 10 m/s2.
a. Nếu vận tốc ném là 10m/s, vật rơi ở một điểm trên dốc, tính khoảng cách từ điểm ném đến điểm rơi.
b. Nếu dốc dài 15m thì vận tốc ném là bao nhiêu để vật rơi ngoài chân đồi.
Hướng dẫn:

a. Ta có: vo = 10 m/s; g = 10 m/s2; vật rơi tại điểm A ở trên dốc

tan α = y/x
⇒ x = 11.55 m
⇒ y = 6,67 m

b. OB = 15 m
L = OB cos30° = 13 m; h = OB.sin30° = 7.5 m
Thời gian vật rơi chạm B: 
Vật rơi ngoài chân dốc x = vo2t > L ⇒ vo2 > L/t = 10.6 m/s.
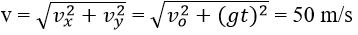
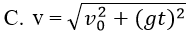
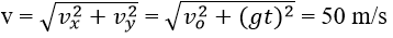
Bài 5: Một vật được ném theo phương nằm ngang từ độ cao 80 m. Sau 3s vận tốc của vật hợp với phương nằm ngang góc 45°. Hỏi vật chạm đất lúc nào, ở đâu, với vận tốc bằng bao nhiêu? Lấy g = 10 m/s2
Hướng dẫn:

v2 = vo2 + (gt)2 = (vocosα)2
với t = 3s; α = 45° ⇒ vo = 30 m/s
Thời gian vật chạm đất 
⇒ Tầm xa: x = vot = 120 m
Vận tốc chạm đất: v2 = vo2 + (gt)2 ⇒ v = 50 m/s
B. Bài tập trắc nghiệm
Câu 1: Một vật được ném theo phương ngang tại độ cao h với vận tốc ban đầu là v0. Tầm xa của vật là?

Chọn C
Câu 2: Để tăng tầm xa của vật ném theo phương ngang với sức cản không khí không đáng kể thì biện pháp nào sau đây có hiệu quả nhất?
A. Giảm độ cao điểm ném
B. Tăng độ cao điểm ném
C. Tăng vận tốc ném
D. Giảm khối lượng vật ném
Chọn C
Câu 3: Từ độ cao 45 m so với mặt đất người ta ném một vật theo phương ngang với vận tốc 40m/s. Bỏ qua sức cản không khí. Lấy g = 10 m/s2. Vận tốc của vật khi chạm đất là?
A. 20 m/s
B. 50 m/s
C. 60 m/s
D. 30 m/s
Vậy vận tốc của vật khi chạm đất là:
v2 = vx2 + vy2 = v02 + (gt)2 = 50 m/s
Câu 4: Một vật được ném theo phương ngang với vận tốc v0 = 10 m/s từ độ cao h so với mặt đất. Chọn hệ trục tọa độ Oxy sao cho gốc O trùng với vị trí ném. Ox theo chiều vận tốc đầu. Oy hướng thẳng đứng xuống dưới và gốc thời gian là lúc ném. Lấy g = 10 m/s2 thì phương trình quỹ đạo của vật là?
A. y = 0.1x2 + 5x
B. y = 0.05x2
C. y = 5x
D. y = 10t + 5t2
Chọn B
Câu 5: Một quả bóng được ném theo phương ngang với vận tốc đầu có độ lớn là v0 = 20 m/s từ độ cao 45 m. Hỏi tầm bay xa theo phương ngang của quả bóng bằng bao nhiêu? Lấy g = 10 m/s2 và bỏ qua sức cản của không khí.
A. 45 m
B. 60 m
C. 90 m
D. 30 m

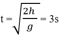
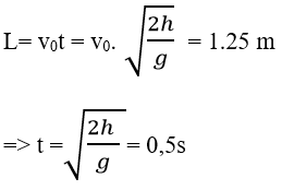
Câu 6: Một hòn bi lăn dọc theo cạnh bàn của một hình chữ nhật nằm ngang cao 1.25 m. Khi ra khỏi mép bàn nó rơi xuống nền nhà tại điểm cách mép bàn 1.5 m theo phương ngang. Lấy g = 10 m/s2. Thời gian rơi và vận tốc ban đầu của viên bi là?
A. 0.25s và 3 m/s
B. 0.35s và 2 m/s
C. 0.125s và 2 m/s
D. 0.5s và 3 m/s
Ta có:
Vậy vận tốc quả cầu khi chạm đất là:
v2 = vx2 + vy2 = v02 + (gt)2 = 3 m/s
Câu 7: Một quả bóng được ném theo phương ngang với vận tốc ban đầu là v0 = 20 m/s và rơi xuống đất sau 3s. Hỏi quả bóng được ném từ độ cao nào? Biết g = 10 m/s2 và bỏ qua sức cảm của không khí.
A. 45 m
B. 60 m
C. 30 m
D. 80 m
Ta có h = (1/2)gt2 = 45 m
Câu 8: Một vật được ném ngang từ độ cao 9 m với vận tốc ban đầu là v0. Tầm xa của vật là 18 m. Tính v0 lấy g = 10 m/s2.
A. 10 m/s
B. 3.16 m/s
C. 19 m/s
D. 13,4 m/s

Câu 9: Một vật được ném ngang từ độ cao 5 m tầm xa đạt dược là 2 m. Lấy g = 10 m/s2 thì vận tốc ban đầu của vật là?
A. 2 m/s
B. 5 m/s
C. 2.5 m/s
D. 10 m/s

Câu 10: Hai vật ở cùng độ cao vật 1 được ném ngang với vận tốc đầu v0. Cùng lúc đó thì vật 2 được thả rơi tự do không vận tốc đầu. Bỏ qua sức cản của không khí thì lựa chọn nào sau đây là đúng?
A. Vật 1 chạm đất sau vật 2
B. Vật 1 chạm đất trước vật 2
C. Hai vật chạm đất cùng lúc
D. Thời gian rơi phụ thuộc vào khối lượng của vật
Chọn C
Câu 11: Một vật được ném theo phương ngang với vận tốc v0 từ độ cao h so với mặt đất. Chọn hệ trục tọa độ Oxy sao cho gốc O trùng với vị trí ném. Ox theo chiều vận tốc đầu. Oy hướng thẳng đứng xuống dưới và gốc thời gian là lúc ném. Độ lớn vận tốc của vật tại thời điểm t xác định bằng?

B. v = gt

D. v = v0 + gt
Chọn C
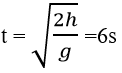
*Ném vật theo phương ngang ở độ cao 20 m so với mặt đất, lấy g = 10 m/s2, vận tốc lúc ném là 10 m/s, trả lời câu hỏi 12-13
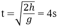
Câu 12: Tính thời gian của vật khi chạm đất.
A. 2s
B. 3s
C. 4s
D. 5s
Ta có: g = 10 m/s2; h = 20 m; v0 = 10 m/s
Thời gian của vật khi chạm đất là: 
Câu 13: Tính vận tốc của vật khi chạm đất?
A. 11.12 m/s
B. 22.4 m/s
C. 8.3 m/s
D. 3.8 m/s
Vận tốc của vật khi chạm đất là:

Câu 14: Một viên đạn được bắn theo phương ngang ở độ cao 180 m phải có vận tốc ban đầu là bao nhiêu để ngay lúc chạm đất có v = 100 m/s. Tính tầm ném xa của vật khi chạm đất.
A. 240 m
B. 480 m
C. 360 m
D. 400 m
Ta có:
v2 = vx2 + vy2 = v02 + (gt)2
v0 = 80 m/s
L = v0.t = 480 m
Câu 15: Từ độ cao h = 80 m, người ta ném một quả cầu theo phương nằm ngang với v0 = 20 m/s. Xác định vận tốc của quả cầu khi chạm đất. Cho rằng sức cản của không khí không đáng kể, g = 10 m/s2
A. 22.8 m/s
B. 12.5 m/s
C. 26.3 m/s
D. 44.7 m/s
Ta có:
Vậy vận tốc quả cầu khi chạm đất là:
v2 = vx2 + vy2 = v02 + (gt)2 = 44,7 m/s
Mời bạn tham khảo
- Làm online: Bài tập Chuyển động của vật bị ném dạng 2
- Bài tập Chuyển động của vật bị ném dạng 1
- Bài tập Lực ma sát dạng 1
- Bài tập Lực đàn hồi
Để có kết quả cao hơn trong học tập, VnDoc xin giới thiệu tới các bạn học sinh tài liệu Trắc nghiệm Vật lý 10, Giải bài tập Vật Lí 10, Giải bài tập Hóa 10 nâng cao, .... được biên soạn và đăng tải chi tiết.