Bài tập Chất khí dạng 2
Chuyên đề Chất khí
Bài tập Chất khí dạng 2 gồm các bài tập đặc trưng hỗ trợ học sinh trong quá trình học tập chuyên đề Vật lý 10 cũng như nâng cao kết quả môn Lý 10.
Dạng 2: Định luật Bôi-lơ – Ma-ri-ốt
A. Phương pháp & Ví dụ
- Định luật Bôi lơ – Mariot:
Trong quá trình đẳng nhiệt của một lượng khí nhất định, áp suất tỉ lệ nghịch với thể tích:
pV = const hay p1.V1 = p2.V2.
- Đồ thị đường đẳng nhiệt:

- Áp suất của điểm M nằm ở độ sâu h trong chất lỏng: 
- Đối với cột chất lỏng: 
Bài tập vận dụng
Bài 1: Một lượng khí ở nhiệt độ 18°C có thể tích 1m3 và áp suất 1 atm. Người ta nén đẳng nhiệt khí với áp suất 3,5atm. Tích thể tích khí nén.
Hướng dẫn:

Bài 2: Người ta điều chế khí hidro và chứa một bình lớn dưới áp suất 1atm ở nhiệt độ 20°C. Tính thể tích khí, lấy từ bình lớn ra để nạp vào bình nhỏ thể tích là 20 lít dưới áp suất 25atm. Coi nhiệt độ không đổi.
Hướng dẫn:

Bài 3: Tính khối lượng khí oxi đựng trong bình thể tích 10 lít dưới áp suất 150 atm ở nhiệt độ 0°C. Biết ở đều kiện chuẩn khối lượng riêng của oxi là 1,43 kg/m3.
Hướng dẫn:
Biết 
Mặt khác 
(vì nhiệt độ của khí bằng nhiệt độ ở điều kiện chuẩn).
Từ (1) và(2) suy ra:
và m = 214,5.10-2 = 2,145 kg.
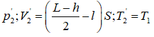
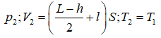
Bài 4: Ở chính giữa một ống thủy tinh nằm ngang, tiết diện nhỏ, chiều dài L = 100cm, hai đầu bịt kín có một cột thủy ngân dài h = 20cm. Trong ống có không khí. Khi đặt ống thẳng đứng cột thủy ngân dịch chuyển xuống dưới một đoạn l = 10cm. Tìm áp suất của không khí trong ống khi ống nằm ngang ra cmHg và Pa.
Coi nhiệt độ không khí trong ống không đổi và khối lượng riêng thủy ngân là ρ = 1,36.104kg/m3.
Hướng dẫn:
- Trạng thái 1 của mỗi lượng khí ở hai bên cột thuỷ ngân (ống nằm ngang)

- Trạng thái 2 (ống đứng thẳng).
+ Đối với lượng khí ở trên cột thuỷ ngân: 
+ Đối với lượng khí ở dưới cột thuỷ ngân: 
Áp suất khí ở phần dưới bằng áp suất khí ở phần trên cộng với áp suất do cột thuỷ ngân gây ra. Do đó đối với khí ở phần dưới, ta có:

Áp dụng ĐL Bôilơ–Maríôt cho từng lượng khí. Ta có:
+ Đối với khí ở trên:

+ Đối với khí ở dưới:

Từ (1) và (2): 
Thay giá trị P2 vào (1) ta được:

Bài 5: Một bọt nước từ đáy hồ nổi lên mặt nước thì thể tích của nó tăng lên 1,5 lần. Tính độ sâu của hồ, biết nhiệt độ của đáy hồ và mặt hồ là như nhau và áp suất khí quyển là p0 = 770 mmHg, khối lượng riêng của nước là 103 kg/m3.
Hướng dẫn:
Áp suất tác dụng lên bọt nước khi ở đáy hồ: ph = ρgh + p0, trong đó p0 là áp suất khí quyển, pM = ρgh là áp suất của nước tác dụng lên bọt nước.
Khi lên đến mặt nước, bọt khí chỉ chịu áp suất p0 của khí quyển.
Áp dụng định luật Bôi lơ – Mariot ta có:

Với p0 = 770 mmHg = 102658,248 Pa.
Thay số ta được: h = 5,24 (m).
B. Bài tập trắc nghiệm
Câu 1: Hệ thức nào sau đây là hệ thức của định luật Boyle-Marriot?
A. p1.V2 = p2.V1.
B. pV = const.
C. p/V = const.
D. V/p = connst.
Chọn B
Câu 2: Một xilanh chứa 150 cm3 khí ở 2.105 Pa. Pit-tông nén khí trong xilanh xuống còn 100 cm3. Nếu coi nhiệt độ không đổi thì áp suất trong xilanh bằng:
A. 2.105 Pa.
B. 3.105 Pa.
C. 4.105 Pa.
D. 5.105 Pa.
Áp dụng định luật Bôi lơ – Mariot ta có:

Câu 3: Một khối khí lí tưởng xác định có áp suất 1 atm được làm tăng áp suất lên 4 atm ở nhiệt độ không đổi thì thể tích biến đổi một lượng là 3 lít. Thể tích ban đầu của khối khí là:
A. 4 lít.
B. 8 lít.
C. 12 lít.
D. 16 lít.
Theo đề bài ta có: V1 - V2 = 3. (1)
Áp dụng định luật Bôi lơ – Mariot ta được:
p1. V1 = p2.V2⇔ V1 = 4V2. (2)
Từ (1) và (2) ta suy ra: V1 = 4 lít, V2 = 1 lít.
Câu 4: Trong hệ tọa độ (p,T), đường biểu diễn nào sau đây là đường đẳng nhiệt ?
A. Đường hypebol.
B. Đường thẳng kéo dài qua gốc tọa độ.
C. Đường thẳng không đi qua gốc tọa độ.
D. Đường thẳng cắt trục p tại điểm p = po.
Chọn A
Câu 5: Một khối khí lí tưởng chuyển từ trạng thái 1 (6 atm, 4l, 270K) sang trạng thái 2 (p, 3l, 270K). Giá trị của p là:
A. 8 atm.
B. 2 atm.
C. 4,5 atm.
D. 5 atm.
Chọn A
Câu 6: Nếu áp suất của một lượng khí lí tưởng tăng 2.105 Pa thì thể tích biến đổi 3 lít. Nếu áp suất của lượng khí đó tăng 5.105 Pa thì thể tích biến đổi 5 lít. Biết nhiệt độ không đổi, áp suất và thể tích ban đầu của khí là:
A. 2.105 Pa, 8 lít.
B. 4.105 Pa, 12 lít.
C. 4.105 Pa, 9 lít.
D. 2.105 Pa, 12 lít.
Gọi thể tích và áp suất của lượng khí ban đầu là V0 và p0.
Áp dụng định luật Bôi lơ – Mariot cho 2 TH ta được hệ:
Giải 2 phương trình ta tìm được: po = 4.105 Pa và Vo = 9 lít.
Câu 7: Đặc điểm nào sau đây không phải đặc điểm của quá trình đẳng nhiệt ?
A. Nhiệt độ khối khí tăng thì áp suất tăng.
B. Nhiệt độ của khối khí không đổi.
C. Khi áp suất tăng thì thể tích khối khí giảm.
D. Khi thể tích khối khí tăng thì áp suất giảm.
Chọn A
Câu 8: Khi một lượng khí dãn đẳng nhiệt thì số phân tử khí trong một đơn vị thể tích sẽ:
A. Giảm, tỉ lệ thuận với áp suất.
B. Tăng, không tỉ lệ với áp suất.
C. Không thay đổi.
D. Tăng, tỉ lệ nghịch với áp suất.
Chọn A
Câu 9: Trong hệ tọa độ (V,T), đường đẳng nhiệt là:
A. Đường thẳng có phương qua O.
B. Đường thẳng vuông góc trục V.
C. Đường thằng vuông góc trục T.
D. Đường hypebol.
Chọn C
Câu 10: Trong hệ tọa độ (p,T), đường đẳng nhiệt là:
A. Đường thẳng có phương qua O.
B. Đường thẳng vuông góc trục V.
C. Đường thằng vuông góc trục T.
D. Đường hypebol.
Chọn C
Câu 11: Một bọt khí có thể tích 1,5 cm3được tạo ra từ khoang tàu ngầm đang lặn ở độ sâu 100m dưới mực nước biển. Hỏi khi bọt khí này nổi lên mặt nước sẽ có thể tích là bao nhiêu? Giả sử nhiệt độ của bọt khí là không đổi, biết khối lượng riêng của nước biển là 103kg/m3, áp suất khí quyển là po = 105 Pa và g = 10 m/s2.
A. 15 cm3.
B. 15,5 cm3.
C. 16 cm3.
D. 16,5 cm3.
Áp suất tác dụng lên bọt nước khi ở đáy hồ: ph = ρgh + po, trong đó po là áp suất khí quyển, pM = ρgh là áp suất của nước tác dụng lên bọt nước.
Khi lên đến mặt nước, bọt khí chỉ chịu áp suất po của khí quyển.
Áp dụng định luật Bôi lơ – Mariot ta có:
Vậy V0 = 1,1Vh = 16,5 cm3.
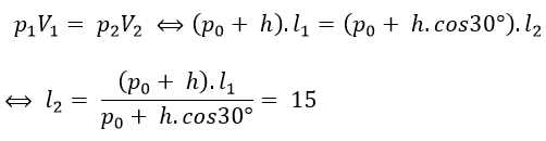
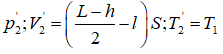
Câu 12: Một ống thủy tinh tiết diện đều S, một đầu kín một đầu hở, chứa một cột thủy ngân dài h = 16cm. Khi đặt ống thẳng đứng, đầu hở ở trên thì chiều dài của cột không khí là l1 = 15cm, áp suất khí quyển bằng po = 76 cmHg. Khi đặt ống thủy tinh nghiêng một góc α = 30° đối với phương thẳng đứng, đầu hở ở trên thì chiều cao của cột không khí trong ống bằng:
A. 14cm
B. 15cm
C. 20cm
D. 22cm
Trạng thái 1:Khi ống đặt thẳng đứng.
p1 = p0 + h,V1 = S.l1
Trạng thái 2: Khi đặt nghiêng ống:
p2 = po + h.cos30°, V2 = S.l2
Định luật Bôi lơ – Mariot:

Câu 13: Ống thủy tinh đặt thẳng đứng đầu hở ở trên, đầu kín ở dưới. Một cột không khí cao 20cm bị giam trong ống bởi một cột thủy ngân cao 40cm. Biết áp suất khí quyển là 80 cmHg, lật ngược ống lại để đầu kín ở trên, đầu hở ở dưới, coi nhiệt độ không đổi, nếu muốn lượng thủy ngân ban đầu không chảy ra ngoài thì chiều dài tối thiểu của ống phải là bao nhiêu ?
A. 80cm
B. 90cm
C. 100cm
D. 120cm
Trước khi lật ngược, trạng thái khí là: p1 = p0 + h, V1 = l1.S, T1.
Khi lật ngược, trạng thái khí là: p2 = p0 - h, V2 = l2.S, T1.
⇒ p1. V1 = p2. V2 ⇔ ( p0 + h ).l1 = ( p0 - h ).l2 ⇔ l2 = 60 cm.
⇒ Ống phải dài tối thiểu là: 40 + 60 = 100cm.
Câu 14: Một ống thủy tinh úp vào trong chậu thủy ngân như hình vẽ làm một cột không khí bị nhốt ở phần đáy trên có chiều dài l = 56mm, làm cột thủy ngân dâng lên h = 748 mmHg, áp suất khí quyển khi đó là 768 mmHg. Thay đổi áp suất khí quyển làm cột thủy ngân tụt xuống, coi nhiệt độ không đổi, tìm áp suất khí quyển khi cột thủy ngân chỉ dâng lên h’ = 734 mmHg:

A. 760mmHg
B. 756mmHg
C. 750mmHg
D. 746mmHg
Trạng thái cột khí lúc ban đầu là: p1 = p0 + h, V1 = l1.S, T1.
Trạng thái cột khí lúc sau là: p2 = p0' - h', V2 = l2.S, T1 với l2 = h - h' + l1.
⇒ p1.V1 = p2.V2 ⇔ ( p0 + h ).l1 =( p0'- h').l2.
⇒ 
Câu 15: Một lượng không khí có thể tích 240cm3 bị giam trong một xilanh có pít – tông đóng kín như hình vẽ, diện tích của pít – tông là 24cm2, áp suất khí trong xilanh bằng áp suất ngoài là 100kPa. Cần một lực bằng bao nhiêu để dịch chuyển pít – tông sang phải 2cm ? Bỏ qua mọi ma sát, coi quá trình trên đẳng nhiệt.

A. 20N
B. 60N
C. 40N
D. 80N
Khi pittong dịch chuyển được 2cm tức là thể tích khí tăng lên 1 lượng:
v = 2. 24 = 48 cm2 ⇒ V2 = 288 cm2.
Trạng thái khí lúc trước khi pittong dịch chuyển: p1 = p0, V1 , T1.
Trạng thái khí lúc sau khi pittong dịch chuyển: p2 = p0 - F/S, V2, T1.
⇒ 
Mời bạn làm thêm
Để có kết quả cao hơn trong học tập, VnDoc xin giới thiệu tới các bạn học sinh tài liệu Trắc nghiệm Vật lý 10, Giải bài tập Vật Lí 10, Giải bài tập Hóa 10 nâng cao, .... được biên soạn và đăng tải chi tiết.