Bài tập Sự nở vì nhiệt của chất rắn
Chuyên đề Chất rắn và chất lỏng. Sự chuyển thể
Bài tập Sự nở vì nhiệt của chất rắn gồm các dạng bài tập đặc trưng thuộc chuyên đề Vật lý 10 được VnDoc biên soạn và đăng tải, hỗ trợ học sinh ôn luyện môn Lý 10.
Dạng 2: Sự nở vì nhiệt của chất rắn
A. Phương pháp & Ví dụ
Công thức tính độ nở dài: Δl = αl0 (t-t0) = αl0 Δt.
Công thức tính độ nở khối: ΔV = βV0 (t-t0) = βV0 Δt.
Bài tập vận dụng
Bài 1: Một thước thép ở 20°C có độ dài 1000mm. Khi nhiệt độ tăng đến 40°C, thước thép này dài thêm bao nhiêu? Hệ số nở dài của thép là α = 1,2.10-5K-1.
Hướng dẫn:
Thước thép này dài thêm là: Δl = αl0(t- t0) = 0,24mm.
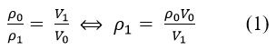
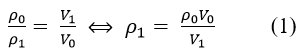
Bài 2: Tính khối lượng riêng của sắt ở 800°C, biết khối lượng riêng sắt ở 0°C là ρ0 = 7,8.103kg/m3. Hệ số nở dài của sắt là α = 11,5.10-6K-1.
Hướng dẫn:
Khối lượng riêng của sắt tỉ lệ nghịch với thể tích của của nó nên:

Độ nở khối của sắt ở 800°C là:
ΔV = βV0 Δt = 3αV0 Δt = 0,0276V0.
⇒ V1 = 1,0276 V0
Thay vào (1) ta suy ra: ρ1 = 7590,5kg/m3.
Bài 3: Một sợi dây tải điện ở 20°C có độ dài 1800m. Hãy xác định độ nở dài của dây tải điện này khi nhiệt độ tăng lên đến 50°C về mùa hè. Cho biết hệ số nở dài của dây tải điện là α = 11,5.10-6K-1.
Hướng dẫn:
Độ nở dài của dây tải điện là: Δl = αl0(t- t0) = 0,621m.
Bài 4: Một viên bi có thể tích 125mm3 ở 20°C, được làm bằng chất có hệ số nở dài là 12.10-6K-1. Độ nở khối của viên bi này khi bị nung nóng tới 820°C có độ lớn là bao nhiêu?
Hướng dẫn:
Độ nở khối của viên bi ở 820°C là:
ΔV = βV0(t- t0) = 3,6 mm3.
Bài 5: Hai thanh 1 bằng sắt và 1 bằng kẽm ở 0°C có chiều dài bằng nhau, còn ở 100°C thì chiều dài chênh lệch 1mm. Tìm chiều dài 2 thanh ở 0°C. Cho biết hệ số nở dài của sắt bằng 1,14.10-5K-1 và của kẽm bằng 3,4.10-5K-1.
Hướng dẫn:
Độ nở dài của thanh sắt ở 100°C là: Δl1 = α1 l0 (t-t0).
Độ nở dài của thanh kẽm ở 100°C là: Δl2 = α2 l0 (t-t0).
Vì ban đầu 2 thanh có chiều dài bằng nhau nên độ chênh lệch chiều dài lúc sau bằng độ chênh lệch giữa 2 độ nở dài, do đó:
Δl2 - Δl1 = 1 ⇔ α2 l0 (t- t0)- α1 l0(t-t0) = 1.
⇔ l0 = 442mm.
Bài 6: Một thước thép dài 1m ở 0°C, dùng thước để đo chiều dài một vật ở 40°C, kết quả đo được 2m. Hỏi chiều dài đúng của vật khi đo là bao nhiêu? Biết hệ số nở dài của thép là 12.10-6K-1.
Hướng dẫn:
Thước thép này dài thêm là: Δl = αl0(t- t0) = 4,8.10-4 m.
Độ dài của thước lúc sau là: l = l0 + Δl = 1,0005 m.
Vậy vật có chiều dài đúng là: l1 = 2.l = 2,001 m.
B. Bài tập trắc nghiệm
Câu 1: Một thước thép ở 10°C có độ dài là 1000 mm. Hệ số nở dài của thép là 12.10-6K-1. Khi nhiệt độ tăng đến 40°C , thước thép này dài thêm ban nhiêu?
A. 0,36 mm.
B. 36 mm.
C. 42 mm.
D. 15mm.
Chọn A
Câu 2: Một thanh ray dài 10m được lắp trên đường sắt ở nhiệt độ 20°C. Phải để hở một khe ở đầu thanh với bề rộng là bao nhiêu, nếu thanh ray nóng đến 50°C thì vẫn đủ chỗ cho thanh dãn ra. Hệ số nở dài của sắt làm thanh ray là α = 12.10-6. Chọn kết quả nào sau đây:
A. Δl = 3.6.10 m
B. Δl = 3.6.10 m
C. Δl = 3.6.10 m
D. Δl = 3.6.10 m
Chọn B
Câu 3: Với kí hiệu l0 là chiều dài ở 0°C, l là chiều dài ở t°C, α là hệ số nở dài. Biểu thức nào sau đây tính chiều dài ở t°C là:
A. l = l0 + αt
B. l = l0 - αt
C. l = l0(1+ αt)
D. l = l0/(1+ αt)
Chọn C
Câu 4: Một thanh thép ở 0°C có độ dài 0,5 m. Tìm chiều dài thanh ở 20°C. Biết hệ số nở dài của thép là 12.10-6K-1
A. 0,62 m.
B. 500,12 mm.
C. 0,512 m.
D. 501,2 m.
Chọn B
Câu 5: Một thước thép ở 0°C có độ dài 2000mm. Khi nhiệt độ tăng đến 20°C, thước thép dài thêm một đoạn là: ( biết hệ số nở dài thước thép 12.10-6K-1)
A. 0,48mm
B. 9,6mm
C. 0,96mm
D. 4,8mm
Chọn A
Câu 6: Với kí hiệu: l0 là chiều dài ở 0°C; l là chiều dài ở t°C; α là hệ số nở dài. Đâu là biểu thức tính độ nở dài?
A. Δl = αl0 + t
B. Δl= αl0 - t
C. Δl = αl0.t
D. Δl = (αl0)/t
Chọn C
Câu 7: Với ký hiệu: V0 là thể tích ở 0°C; V thể tích ở t°C ; β là hệ số nở khối. Biểu thức nào sau đây là đúng với công thức tính thể tích ở t°C?
A. V = V0 + βt
B. V = V0 - βt
C. V = V0 (1+ βt)
D. V = V0/(1+ βt)
Chọn C
Câu 8: Hai thanh kim loại, Một bằng sắt và một bằng kẽm ở 0°C có chiều dài bằng nhau, còn ở 100°C thì chiều dài chênh lệch nhau 1mm. Cho biết hệ số nở dài của sắt là α1 = 1,14.10-5k-1 và của kẽm là α2 = 3,4.10-5k-1. Chiều dài của hai thanh ở 0°C là:
A. l0 = 0,442mm
B. l0 = 4,42mm.
C. l0 = 44,2mm
D. l0 = 442mm.
Ở 100°C, thanh sắt dãn: Δl1 = α1 l0.100 (mm).
Ở 100°C, thanh kẽm dãn: Δl2= α2 l0.100 (mm).
Vì 2 thanh chênh lệch nhau 1mm nên:
l0 + Δl2 - (l0 + Δl1) = 1.
⇔ Δl2 - Δl1 = 1 ⇔ α2 l0.100 - α1 l0.100 = 1.
⇔ l0 = 442mm.
Câu 9: Một cái xà bằng thép tròn đường kính tiết diện 5cm hai đầu được chôn chặt vào tường. Cho biết hệ số nở dài của thép 1,2.10-5k-1, suất đàn hồi 20.1010N/m2. Nếu nhiệt độ tăng thêm 25°C thì độ lớn của lực do xà tác dụng vào tường là :
A. F = 11,7810 N
B. F = 117,810 N.
C. F = 1178,10 N
D. F = 117810 N
Độ nở dài của xà là: Δl = αl0 (t- t0 )= αl0.25.
Lực do xà tác dụng vào tường:
F = (E.S.Δl)/l0 = E.S.α.25 = 117810 N.
Câu 10: Một bình thuỷ tinh chứa đầy 50 cm3 thuỷ ngân ở 18°C . Biết: Hệ số nở dài của thuỷ ngân là: α1 = 9.10-6 k-1. Hệ số nở khối của thuỷ ngân là: β1 = 18.10-5k-1. Khi nhiệt độ tăng đến 38°C thì thể tích của thuỷ ngân tràn ra là:
A. ΔV = 0,015cm3
B. ΔV = 0,15cm3
C. ΔV = 1,5cm3
D. ΔV = 15cm3
Chọn B
Câu 11: Một thanh ray có chiều dài ở 0°C là 12,5 m. Hỏi khi nhiệt độ là 50°C thì nó dài thêm bao nhiêu? (biết hệ số nở dài là 12.10-6K-1)
A. 3,75mm
B. 6mm
C. 7,5mm
D. 2,5mm
Chọn B
Câu 12: Một tấm kim loại hình vuông ở 0°C có độ dài mỗi cạnh là 40cm. Khi bị nung nóng, diện tích của tấm kim loại tăng thêm 1,44cm2. Xác định nhiệt độ của tấm kim loại? Biết hệ số nở dài của kim loại này là 12.10-6K-1.
A. 2500°C
B. 3000°C
C. 37,5°C
D. 250°C
Diện tích hình vuông tăng lên: ΔS = 2αS ( t- t0 ) = 1,44
⇒ t = 37,5°C.
Câu 13: Điều nào sau đây là đúng liên quan đến sự nở dài?
A. Độ giãn nở tỉ lệ thuận với chiều dài ban đầu.
B. Chiều dài của vật tỉ lệ thuận với nhiệt độ.
C. Hệ số nở dài cho biết độ gia tăng nhiệt độ khi vật nở dài thêm 1cm.
D. Hệ số nở dài cho biết độ tăng chiều dài tỉ đối khi nhiệt độ tăng 1°C.
Chọn C
Mời bạn làm thêm
- Làm online: Bài tập Sự nở vì nhiệt của chất rắn
- Bài tập Chất rắn kết tinh, chất rắn vô định hình
- Bài tập Các hiện tượng bề mặt của chất lỏng
Để có kết quả cao hơn trong học tập, VnDoc xin giới thiệu tới các bạn học sinh tài liệu Trắc nghiệm Vật lý 10, Giải bài tập Vật Lí 10, Giải bài tập Hóa 10 nâng cao, .... được biên soạn và đăng tải chi tiết.