Bài tập Lực ma sát dạng 3
Chuyên đề Động lực học chất điểm
Bài tập Lực ma sát dạng 3 bao gồm các dạng bài vận dụng trong chuyên đề Vật lý 10 được VnDoc biên soạn nhằm hỗ trợ học sinh nâng cao kết quả học tập của bản thân môn Lý 10.
Dạng 3: Tính lực kéo để xe chuyển động khi có ma sát
A. Phương pháp & Ví dụ
- Xe chuyển động thẳng đều: Fms = F ( F là ngoại lực hoặc thành phần ngoại lực song song với bề mặt tiếp xúc)
- Xe chuyển động thẳng biến đổi đều:
- Khảo sát lực tác dụng vào vật
- Viết phương trình định luật II Newton để xác định lực cần tìm
Bài tập vận dụng
Bài 1: Một ô tô khối lượng m = 1 tấn chuyển động trên mặt đường nằm ngang. Hệ số ma sát lăn giữa xe và mặt đường là μ = 0,1. Tính lực kéo của động cơ ô tô trong mỗi trường hợp sau:
a. Ô tô chuyển động thẳng đều
b. Ô tô chuyển động thẳng nhanh dần đều với gia tốc a = 2 m/s2
Hướng dẫn:

Các lực tác dụng vào ô tô bao gồm: trọng lực P→; phản lực N→ , lực ma sát Fms→, lực kéo động cơ F→
a. Ô tô chuyển động thẳng đều ⇒ các cặp lực trực đối cân bằng nhau
⇒ N = P = mg
Và Fms = F = μmg = 0,1.103.10 = 1000 N
b. Ô tô chuyển động thẳng nhanh dần đều
Áp dụng định luật II Newton, ta có:
F→ + P→ + N→ + Fms→ = m.a→
Chọn chiều dương là chiều chuyển động của xe, chiếu phương trình trên lên chiều dương, ta có:
- Fms + F = ma
⇒ F = μmg + ma = 103.(2 + 0,1.10) = 3000 N
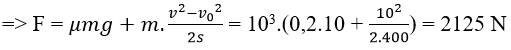
Bài 2: Một xe khối lượng m = 1 tấn chuyển động trên mặt đường ngang. Hệ số ma sát lăn giữa bánh xe và mặt đờng là μ = 0,2. Tính lực kéo của động cơ biết từ lúc bắt đầu chuyển động đến khi đạt vận tốc 36 km/h, vật đi được quãng đường 400 m
Hướng dẫn:
Áp dụng định luật II Newton, ta có:
F→ + P→ + N→ + Fms→ = m.a→ (1)
Chiếu phương trình (1) lên chiều chuyển động của vật, ta có:
- Fms + F = ma

Bài 3: Một ô tô 2 tấn khởi hành sau 10s đặt 54 km/h, chuyển động trên đường ngang co hệ số ma sát 0,05. Xác định lực kéo động cơ
Hướng dẫn:
Đổi 54 km/h = 15 m/s
Áp dụng định luật II Newton, ta có:
F→ + P→ + N→ + Fms→ = m.a→ (1)
Chiếu phương trình (1) lên chiều chuyển động của vật, ta có:
- Fms + F = ma

Bài 4: Một xe khối lượng m = 1 tấn bắt đầu chuyển động thẳng nhanh dần đều sau 10s đi được 100 m trên đường ngang. Hệ số ma sát giữa xe với đường là 0,04. Lấy g = 10 m/s2. Tìm lực kéo động cơ
Hướng dẫn:
Chọn chiều dương là chiều chuyển động của vật
Áp dụng định luật II Newton:
F→ + P→ + N→ + Fms→ = m.a→ (1)
Chiếu phương trình (1) lên chiều dương, ta có:
- Fms + F = ma

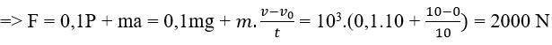
Bài 5: Một xe khối lượng m = 1 tấn bắt đầu chuyển động thẳng nhanh dần đều, sau 10s đạt vận tốc 10 m/s. Lực ma sát bằng 0,1 lần trọng lượng xe, lấy g = 10 m/s2. Tính lực kéo động cơ
Hướng dẫn:
Chọn chiều dương là chiều chuyển động của vật
Áp dụng định luật II Newton:
F→ + P→ + N→ + Fms→ = m.a→ (1)
Chiếu phương trình (1) lên chiều dương, ta có:
- Fms + F = ma

B. Bài tập trắc nghiệm
Câu 1: Xe khối lượng 2 tấn chuyển động thẳng đều trên mặt đường nằm ngang. Tính lực kéo động cơ biết hệ sô ma sát là 0,01
A. 1000 N
B. 2000 N
C. 100 N
D. 200 N
Xe chuyển động thẳng đều ⇒ Fms = F = μmg = 0,01.2.103.10 = 200 N
Câu 2: Xe khối lượng 1 tấn chuyển động thẳng đều trên mặt đường nằm ngang. Tính lực kéo động cơ biết lực ma sát có độ lớn bằng 0,2 lần trọng lượng
A. 1000 N
B. 2000 N
C. 100 N
D. 200 N
Xe chuyển động thẳng đều ⇒ Fms = F = 0,2mg = 0,2.103.10 = 2000 N
Câu 3: Xe khối lượng 1 tấn chuyển động thẳng đều lên dốc dài 200 m, cao 10 m với vận tốc 18 km/h. Biết hệ số ma sát có giá trị 0,01. Xác định lực kéo của động cơ để xe có trạng thái nêu trên
A. 600 N
B. 500 N
C. 200 N
D. 100 N
Chọn chiều dương như hình vẽ
Áp dụng định luật II Newton:
Fms→ + P1→ + P2→ + N→ + F→ = m.a→ (1)
Chiếu phương trình (1) lên Ox, Oy, ta có:
N = P2 = Pcosα = mgcosα
F – Fms – P1 = 0 (do xe chuyển động thẳng đều)
⇒ F = μN + Psinα = μmgcosα + mgsinα = 
⇒ F = 600 N
Câu 4: Phát biểu nào sau đây là không chính xác?
A. Lực ma sát nghỉ cực đại lớn hơn lực ma sát trượt.
B. Lực ma sát nghỉ luôn luôn trực đối với lực đặt vào vật.
C. Lực ma sát xuất hiện thành từng cặp trực đối đặt vào hai vật tiếp xúc.
D. Khi vật chuyển động hoặc có xu hướng chuyển động đối với mặt tiếp xúc với nó thì phát sinh lực ma sát.
Chọn B
Câu 5: Ôtô chuyển động thẳng đều mặc dù có lực kéo vì:
A. Trọng lực cân bằng với phản lực
B. Lực kéo cân bằng với lực ma sát với mặt đường
C. Các lực tác dụng vào ôtô cân bằng nhau
D. Trọng lực cân bằng với lực kéo
Chọn C
Câu 6: Chọn câu đúng. Chiều của lực ma sát nghỉ:
A. ngược chiều với vận tốc của vật.
B. ngược chiều với gia tốc của vật.
C. tiếp tuyến với mặt tiếp xúc.
D. vuông góc với mặt tiếp xúc
Chọn C
Câu 7: Một vật trượt có ma sát trên một mặt phẳng nghiêng có ma sát. Nếu diện tích tiếp xúc của vật đó với bề mặt giảm 2 lần thì hệ số ma sát trượt giữa vật và mặt tiếp xúc sẽ:
A. tăng 2 lần.
B. tăng 4 lần
C. giảm 2 lần
D. không đổi.
Chọn D
Câu 8: Xe khối lượng 1 tấn chuyển động thẳng đều trên mặt phẳng nghiêng có góc nghiêng α = 30°. Tính lực kéo của động cơ để duy trì trạng thái chuyển động biết hệ số ma sát bằng 0,2
A. 6371 N
B. 6273 N
C. 6723 N
D. 6732 N
Chọn chiều dương như hình vẽ
Áp dụng định luật II Newton:
Fms→ + P1→ + P2→ + N→ + F→ = m.a→ (1)
Chiếu phương trình (1) lên Ox, Oy, ta có:
N = P2 = Pcosα = mgcosα
F – Fms – P1 = 0 (do xe chuyển động thẳng đều)
⇒ F = μmgcosα + mgsinα = 103.10.(0,2.cos30° + sin30°) = 6732 N
Câu 9: Chọn phát biểu đúng:
A. Lực ma sát trượt phụ thuộc diện tích mặt tiếp xúc
B. Lực ma sát trượt phụ thuộc vào tính chất của các mặt tiếp xúc
C. Khi một vật chịu tác dụng của lực F mà vẫn đứng yên thì lực ma sát nghỉ lớn hơn ngoại lực
D. Vật nằm yên trên mặt sàn nằm ngang vì trọng lực và lực ma sát nghỉ tác dụng lên vật cân bằng nhau
Chọn B
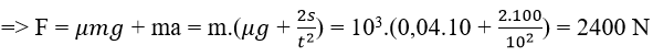
Câu 10: Một đầu máy tạo ra một lực kéo để kéo một toa xe có khối lượng m = 4 tấn chuyển động với gia tốc a = 0,4 m/s2. Biết hệ số ma sát giữa toa xe và mặt đường là k = 0,02. Hãy xác định lực kéo của đầu máy. Cho g = 10 m/s2
A. 2400 N
B. 2000 N
C. 1800 N
D. 3000 N
Áp dụng định luật II Newton rồi chiếu lên chiều dương:
F = Fms + ma = kmg + ma = 0,02.4.103.10 + 4.103.0,4 = 2400 N
Câu 11: Một ôtô có khối lượng m = 1 tấn, chuyển động trên mặt đường nằm ngang. Hệ số ma sát lăn giữa bánh xe và mặt đường là 0,1. Tính lực kéo của động cơ nếu ô tô chuyển động thẳng đều
A. 500 N
B. 5000 N
C. 3000 N
D.1000 N
Ô tô chuyển động thẳng đều trên mặt ngang ⇒ F = Fms = 0,1.103.10 = 1000 N
Câu 12: Một đầu kéo thực hiện lực 200 N nằm ngang thì xe chuyển động thẳng đều. Hỏi khi chất lên xe một kiện hàng khối lượng 50 kg thì đầu máy phải tác dụng lực bao nhiêu để xe chuyển động thẳng đều? Cho hệ số ma sát giữa xe và mặt đường là 0,02
A. 200 N
B. 100 N
C. 210 N
D. 120 N
Xe chuyển động thẳng đều trên mặt ngang ⇒ Fms→ cân bằng với F→
+ Khi chưa thêm kiện hàng:
Fms = F1 ⇒ 200 = 0,02.m.10 ⇒ m = 1000 kg
+ Khi chất thêm kiện hàng:
Fms = F2 ⇒ F2 = 0,02.(1000 + 50).10 = 210 N
Câu 13: Điều gì xảy ra đối với hệ số ma sát giữa 2 mặt tiếp xúc nếu lực pháp tuyến ép hai mặt tiếp xúc tăng lên?
A. tăng lên
B. giảm đi
C. không đổi
D. tùy trường hợp, có thể tăng lên hoặc giảm đi
Chọn C
Câu 14: Xe chuyển động thẳng đều trên mặt phẳng ngang, nếu khối lượng của xe tăng lên 4 lần mà xe giữ nguyên trạng thái di chuyển thì ddieuf gì xảy ra với độ lớn lực ma sát?
A. không thay đổi
B. tăng lên 4 lần
C. giảm 4 lần
D. giảng 2 lần
Chọn B
Câu 15: Lực ma sát nào tồn tại khi vật rắn chuyển động trên bề mặt vật rắn khác ?
A. Ma sát nghỉ
B. Ma sát lăn hoặc ma sát trượt
C. Ma sát lăn
D. Ma sát trượt
Chọn B
Mời bạn tham khảo
- Làm online: Bài tập Lực ma sát dạng 3
- Bài tập Lực ma sát dạng 1
- Bài tập Lực ma sát dạng 2
- Bài tập Lực ma sát dạng 4
Để có kết quả cao hơn trong học tập, VnDoc xin giới thiệu tới các bạn học sinh tài liệu Trắc nghiệm Vật lý 10, Giải bài tập Vật Lí 10, Giải bài tập Hóa 10 nâng cao, .... được biên soạn và đăng tải chi tiết.