Lý thuyết: Chuyển động tròn đều
Chủ đề Chuyển động tròn đều - Vật lý 10
VnDoc mời quý thầy cô cùng các thầy cô tham khảo bài Lý thuyết: Chuyển động tròn đều thuộc chương trình chuyên đề Vật lý 10 nhằm ôn luyện kiến thức, nâng cao kết quả học tập môn Lý 10.
Lý thuyết: Chuyển động tròn đều
1. Định nghĩa
a) Chuyển động tròn
Chuyển động tròn là chuyển động có quỹ đạo là một đường tròn.
Ví dụ: Chuyển động của một chiếc ghế trong đu quay

b) Tốc độ trung bình trong chuyển động tròn
Tốc độ trung bình trong chuyển động tròn là đại lượng đo bằng thương số giữa độ dài cung tròn mà vật đi được và thời gian đi hết cung tròn đó.

c) Chuyển động tròn đều
Chuyển động tròn đều là chuyển động có quỹ đạo tròn và có tốc độ trung bình trên mọi cung tròn là như nhau.
Ví dụ: Chuyển động của điểm đầu cánh quạt

2. Tốc độ dài và tốc độ góc
a) Tốc độ dài
Gọi Δs là độ dài của cung tròn mà vật đi được trong khoảng thời gian rất ngắn
Ta có:
là tốc độ dài của vật.
Trong chuyển động tròn đều tốc độ dài của vật có độ lớn không đổi.
b) Vectơ vận tốc trong chuyển động tròn đều

Vectơ vận tốc trong chuyển động tròn đều luôn có phương tiếp tuyến với đường tròn quỹ đạo.
Trong chuyển động tròn đều, vectơ vận tốc có phương luôn luôn thay đổi.

c) Tốc độ góc, chu kì, tần số
* Tốc độ góc
+ Tốc độ góc của chuyển động tròn đều là đại lượng đo bằng góc mà bán kính quay quét được trong một đơn vị thời gian.

+ Tốc độ góc của chuyển động tròn đều là một đại lượng không đổi.
+ Đơn vị đo tốc độ góc: rad/s.

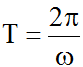
* Chu kì
+ Chu kì T của chuyển động tròn đều là thời gian để vật đi được một vòng.
+ Công thức liên hệ giữa tốc độ góc và chu kì:

+ Đơn vị chu kì là giây (s).
* Tần số
- Tần số f của chuyển động tròn đều là số vòng mà vật đi được trong 1 giây.
- Công thức liên hệ giữa chu kì và tần số: f = 1/T
- Đơn vị tần số là vòng trên giây (vòng/s) hoặc héc (Hz).
* Công thức liên hệ giữa tốc độ dài và tốc độ góc: v = r.ω
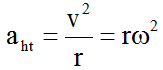
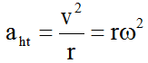
3. Gia tốc hướng tâm
a) Hướng của véctơ gia tốc trong chuyển động tròn đều
Trong chuyển động tròn đều, tuy vận tốc có độ lớn không đổi, nhưng có hướng luôn thay đổi, nên chuyển động này có gia tốc. Gia tốc trong chuyển động tròn đều luôn hướng vào tâm của quỹ đạo nên gọi là gia tốc hướng tâm.

b) Độ lớn của gia tốc hướng tâm

Mời làm thêm
- Dạng 1: Xác định tốc độ trung bình, tốc độ dài, tốc độ góc trong chuyển động tròn
- Lý thuyết: Tính tương đối của chuyển động. Công thức cộng vận tốc
Để có kết quả cao hơn trong học tập, VnDoc xin giới thiệu tới các bạn học sinh tài liệu Trắc nghiệm Vật lý 10, Giải bài tập Vật Lí 10, Giải bài tập Hóa 10 nâng cao, .... được biên soạn và đăng tải chi tiết.