Lý thuyết tổng hợp chương Các định luật bảo toàn
Chương Các định luật bảo toàn
Lý thuyết tổng hợp chương Các định luật bảo toàn nằm trong chuyên đề Vật lý 10 được VnDoc biên soạn chi tiết nhằm hỗ trợ học sinh nắm bắt kiến thức trọng tâm, nâng cao kết quả học tập môn Lý 10.
Lý thuyết tổng hợp chương Các định luật bảo toàn
TÓM TẮT LÍ THUYẾT
I. ĐỘNG LƯỢNG – ĐỊNH LUẬT BẢO TOÀN ĐỘNG LƯỢNG
1. Động lượng
a) Xung lượng của lực
Khi một lực F→ không đổi tác dụng lên một vật trong khoảng thời gian Δt thì tích F→.Δt được định nghĩa là xung lượng của lực F→ trong khoảng thời gian Δt ấy.
b) Động lượng
* Tác dụng của xung lượng của lực
Theo định luật II Newton ta có:

* Động lượng
Động lượng p→ của một vật là một vectơ cùng hướng với vận tốc và được xác định bởi công thức: p→ = m.v→
Đơn vị động lượng là kg.m/s hoặc N.s
* Mối liên hệ giữa động lượng và xung lượng của lực
Ta có: p2→ - p1→ = F→.Δt hay Δp→ = F→.Δt
Độ biến thiên động lượng của một vật trong khoảng thời gian Δt bằng xung lượng của tổng các lực tác dụng lên vật trong khoảng thời gian đó.
Ý nghĩa: Khi lực đủ mạnh tác dụng lên vật trong một khoảng thời gian hữu hạn sẽ làm động lượng của vật biến thiên.
2. Định luật bảo toàn động lượng
- Hệ cô lập (hệ kín)
- Một hệ nhiều vật được gọi là cô lập khi không có ngoại lực tác dụng lên hệ hoặc nếu có thì các ngoại lực ấy cân bằng nhau.
- Trong hệ cô lập chỉ có nội lực tương tác giữa các vật trong hệ trực đối nhau từng đôi một.

- Động lượng của một hệ cô lập là một đại lượng được bảo toàn
p1→ + p2→ + ... + pn→ = không đổi
- Chuyển động bằng phản lực
Trong một hệ kín đứng yên, nếu có một phần của hệ chuyển động theo một hướng thì phần còn lại của hệ phải chuyển động theo hướng ngược lại. Chuyển động theo nguyên tắc như trên được gọi là chuyển động bằng phản lực.
II. CÔNG VÀ CÔNG SUẤT
1. Công
- Nếu lực không đổi F→ tác dụng lên một vật và điểm đặt của lực đó chuyển dời một đoạn s theo hướng hợp với hướng của lực góc α thì công của lực F→ được tính theo công thức:
A = F.s.cosα

- Biện luận
+ Khi 0 ≤ α < 900 thì cosα > 0 ⇒ A > 0
⇒ Lực thực hiện công dương hay công phát động.

+ Khi α = 900 thì A = 0
⇒ Lực F→ không thực hiện công khi lực F→ vuông góc với hướng chuyển động.

+ Khi 900 < α ≤ 1800 thì cosα < 0 ⇒ A < 0
⇒ Lực thực hiện công âm hay công cản lại chuyển động.

Trong hệ SI, đơn vị của công là jun (kí hiệu là J): 1 J = 1N.m
2. Công suất
Công suất là công thực hiện được trong một đơn vị thời gian. Kí hiệu là P

Trong đó: A là công thực hiện (J)
t là thời gian thực hiện công A (s)
P là công suất (W)
1 W = 1 J/s
Chú ý:
- Trong thực tế người ta còn dùng:
+ Đơn vị công suất là mã lực hay ngựa (HP)
1 HP = 736 W
+ Đơn vị thực hành của công là oátgiờ (W.h)
1 W.h = 3600 J
1 kW.h = 3600000 J
- Khái niệm công suất cũng được mở rộng cho các nguồn phát năng lượng không phải dưới dạng sinh công cơ học.
Ví dụ: Động cơ, đèn, đài phát sóng, lò nung...
- Cũng định nghĩa công suất tiêu thụ của một thiết bị tiêu thụ năng lượng là đại lượng đo bằng năng lượng tiêu thụ của thiết bị đó trong một đơn vị thời gian.
III. ĐỘNG NĂNG
1. Động năng
- Năng lượng là một đại lượng vật lí đặc trưng cho khả năng sinh công của vật.
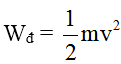
- Động năng là dạng năng lượng của một vật có được do nó đang chuyển động và được xác định theo công thức:

Trong đó: m là khối lượng của vật (kg)
v là vận tốc của vật (m/s)
Wđ là động năng (J)
- Tính chất
- Chỉ phụ thuộc độ lớn vận tốc, không phụ thuộc hướng vận tốc.
- Là đại lượng vô hướng, có giá trị dương.
- Mang tính tương đối.
- Đơn vị của động năng là jun (J)
2. Công của lực tác dụng và độ biến thiên động năng
Khi lực tác dụng lên vật sinh công dương thì động năng của vật tăng (tức là vật thu thêm công hay vật sinh công âm). Ngược lại, khi lực tác dụng lên vật sinh công âm thì động năng của vật giảm (tức là vật sinh công dương).

Trong đó:
là động năng lúc sau của vật.
là động năng ban đầu của vật.
A là công của các ngoại lực tác dụng vào vật.
IV. THẾ NĂNG
1. Thế năng trọng trường
Thế năng trọng trường của một vật là dạng năng lượng tương tác giữa Trái Đất và vật, nó phụ thuộc vào vị trí của vật trong trọng trường. Nếu chọn thế năng tại mặt đất thì thế năng trọng trường của một vật có khối lượng m đặt tại độ cao z là:
Wt = mgz
- Tính chất
- Là đại lượng vô hướng.
- Có giá trị dương, âm hoặc bằng không, phụ thuộc vào vị trí chọn làm gốc thế năng.
- Đơn vị của thế năng là jun (J)
Chú ý: Nếu chọn gốc thế năng tại mặt đất thì thế năng tại mặt đất bằng không (Wt = 0).
- Khi một vật chuyển động trong trọng trường từ vị trí M đến vị trí N thì công của trọng lực của vật có giá trị bằng hiệu thế năng trọng trường tại M và tại N.
AMN = Wt(M) – Wt(N)

Hệ quả: Trong quá trình chuyển động của một vật trong trọng trường:
- Khi vật giảm độ cao, thế năng của vật giảm thì trọng lực sinh công dương.
- Khi vật tăng độ cao, thế năng của vật tăng thì trọng lực sinh công âm.
2. Thế năng đàn hồi
- Khi đưa lò xo từ trạng thái biến dạng về trạng thái không biến dạng thì công của lực đàn hồi được xác định bằng công thức:

- Thế năng đàn hồi là dạng năng lượng của một vật chịu tác dụng của lực đàn hồi.
- Công thức tính thế năng đàn hồi của một lò xo ở trạng thái có độ biến dạng Δl là:

- Thế năng đàn hồi là một đại lượng vô hướng, dương.
- Đơn vị của thế năng đàn hồi là jun (J).
V. CƠ NĂNG
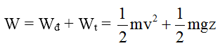
1. Cơ năng của vật chuyển động trong trọng trường
- Cơ năng của vật chuyển động dưới tác dụng của trọng lực bằng tổng động năng và thế năng của vật:

- Khi một vật chuyển động trong trọng trường chỉ chịu tác dụng của trọng lực thì cơ năng của vật là một đại lượng bảo toàn.
W = Wđ + Wt = hằng số
Hay 
- Trong quá trình chuyển động của một vật trong trọng trường:
- Nếu động năng giảm thì thế năng tăng (động năng chuyển hóa thành thế năng) và ngược lại.
- Tại vị trí nào động năng cực đại thì thế năng cực tiểu và ngược lại.
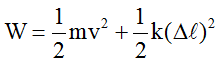
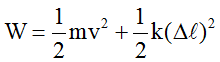
2. Cơ năng của vật chịu tác dụng của lực đàn hồi
- Cơ năng của vật chuyển động dưới tác dụng của lực đàn hồi bằng tổng động năng và thế năng đàn hồi của vật.

- Khi một vật chỉ chịu tác dụng của lực đàn hồi gây bởi sự biến dạng của một lò xo đàn hồi thì cơ năng của vật là một đại lượng bảo toàn:

Chú ý: Định luật bảo toàn cơ năng chỉ đúng khi vật chuyển động chỉ chịu tác dụng của trọng lực và lực đàn hồi. Nếu vật còn chịu tác dụng thêm các lực khác thì công của các lực khác này đúng bằng độ biến thiên cơ năng.
Mời bạn tham khảo
- Lý thuyết tổng hợp chương Chất khí
- Bài tập Các định luật bảo toàn dạng 5
- Bài tập Các định luật bảo toàn dạng 4
- Bài tập Các định luật bảo toàn dạng 3
- Bài tập Các định luật bảo toàn dạng 2
- Bài tập Các định luật bảo toàn dạng 1
Để có kết quả cao hơn trong học tập, VnDoc xin giới thiệu tới các bạn học sinh tài liệu Trắc nghiệm Vật lý 10, Giải bài tập Vật Lí 10, Giải bài tập Hóa 10 nâng cao, .... được biên soạn và đăng tải chi tiết.