Lý thuyết tổng hợp chương Động lực học chất điểm
Lý thuyết chương Động lực học chất điểm
Lý thuyết tổng hợp chương Động lực học chất điểm do VnDoc biên soạn kỹ lưỡng, tổng hợp những kiến thức trọng tâm của chương Động lực học chất điểm, hỗ trợ học sinh học tốt chuyên đề Vật lý 10.
A. TÓM TẮT LÍ THUYẾT
I. TỔNG HỢP LỰC. CÂN BẰNG CỦA CHẤT ĐIỂM
1. Lực. Cân bằng lực
- Lực là đại lượng vectơ đặc trưng cho tác dụng của vật này lên vật khác mà kết quả là gây ra gia tốc cho vật hoặc làm cho vật biến dạng.
- Các lực cân bằng là các lực khi tác dụng đồng thời vào một vật thì không gây ra gia tốc cho vật.
- Đường thẳng mang vectơ lực gọi là giá của lực.

Hai lực cân bằng là hai lực cùng tác dụng lên một vật, cùng giá, cùng độ lớn và ngược chiều.
2. Tổng hợp lực
a) Định nghĩa
Tổng hợp lực là thay thế các lực tác dụng đồng thời vào cùng một vật bằng một lực có tác dụng giống hệt các lực ấy.
Lực thay thế này gọi là hợp lực.
b) Quy tắc hình bình hành
Nếu hai lực đồng quy làm thành cạnh của một hình bình hành, thì đường chéo kể từ điểm đồng quy biểu diễn hợp lực của chúng.

Chú ý:
- Nếu hai lực cùng phương, cùng chiều thì lực tổng hợp F = F1 + F2 và có chiều cùng chiều với hai lực.
- Nếu hai lực cùng phương, ngược chiều thì lực tổng hợp F = |F1 - F2| và có chiều cùng chiều với lực có độ lớn lớn hơn.
- Nếu hai lực không cùng phương thì lực tổng hợp F2 = F12 + F22 + 2.F1.F2.cosα và có chiều theo quy tắc hình bình hành.
-Điều kiện cân bằng của chất điểm: Muốn cho một chất điểm đứng cân bằng thì hợp lực của các lực tác dụng lên nó phải bằng 0:
F→ = F1→ + F2→ + ... = 0→
II. BA ĐỊNH LUẬT NIU – TƠN
1. Định luật I Niu – Tơn
a) Định luật I Niu – Tơn
Nếu một vật không chịu tác dụng của lực nào hoặc chịu tác dụng của các lực có hợp lực bằng không, thì vật đang đứng yên sẽ tiếp tục đứng yên, đang chuyển động sẽ tiếp tục chuyển động thẳng đều.
b) Quán tính
Quán tính là tính chất của mọi vật có xu hướng bảo toàn vận tốc cả về hướng và độ lớn.
2. Định luật II Niu – Tơn
Gia tốc của một vật cùng hướng với lực tác dụng lên vật. Độ lớn của gia tốc tỉ lệ thuận với độ lớn của lực và tỉ lệ nghịch với khối lượng của vật.

Trong trường hợp vật chịu nhiều lực tác dụng F1→, F2→,..., Fn→ thì F→ là hợp lực của các lực đó: F→ = F1→ + F2→ + ... + Fn→
3. Định luật III Niu – Tơn
a) Sự tương tác giữa các vật
Khi một vật tác dụng lên vật khác một lực thì vật đó cũng bị vật kia tác dụng ngược trở lại một lực. Ta nói giữa hai vật có sự tương tác.

Hai người trượt băng đứng sát nhau. Một người dùng tay đẩy người kia cho chuyển động về phía trước thì thấy chính mình bị đẩy về phía sau
b) Định luật
Trong mọi trường hợp, khi vật A tác dụng lên vật B một lực, thì vật B cũng tác dụng lại vật A một lực. Hai lực này có cùng giá, cùng độ lớn nhưng ngược chiều.
FBA→ = -FAB→
c) Lực và phản lực
- Một trong hai lực tương tác giữa hai vật gọi là lực tác dụng còn lực kia gọi là phản lực.
- Đặc điểm của lực và phản lực:
- Lực và phản lực luôn luôn xuất hiện (hoặc mất đi) đồng thời.
- Lực và phản lực có cùng giá, cùng độ lớn nhưng ngược chiều. Hai lực có đặc điểm như vậy gọi là hai lực trực đối.
- Lực và phản lực không cân bằng nhau vì chúng đặt vào hai vật khác nhau.

Chú ý: Hai lực cân bằng cũng là hai lực trực đối nhưng ngược lại thì sẽ không đúng.
III. LỰC HẤP DẪN – ĐỊNH LUẬT VẠN VẬT HẤP DẪN
1. Lực hấp dẫn
- Mọi vật trong vũ trụ đều hút nhau với một lực gọi là lực hấp dẫn.
- Lực hấp dẫn là lực tác dụng từ xa, qua khoảng không gian giữa các vật.

Lực hấp dẫn giữa Trái Đất và Mặt Trăng giữ cho Mặt Trăng chuyển động quanh Trái Đất

Lực hấp dẫn giữa Mặt Trời và các hành tinh giữ cho các hành tinh chuyển động quanh Mặt Trời
2. Định luật vạn vật hấp dẫn
a) Định luật
Lực hấp dẫn giữa hai chất điểm bất kì tỉ lệ thuận với tích hai khối lượng của chúng và tỉ lệ nghịch với bình phương khoảng cách giữa chúng.
b) Hệ thức

Trong đó: m1 và m2 là khối lượng của hai chất điểm (kg)
r là khoảng cách giữa hai chất điểm (m)
Fhd là độ lớn lực hấp dẫn (N)
G là hằng số hấp dẫn có giá trị là 6,67.10-11 N.m2/kg2
c) Các trường hợp áp dụng định luật
- Hai vật là hai chất điểm.
- Hai vật đồng chất hình cầu với khoảng cách giữa chúng được tính từ tâm vật này đến tâm vật kia.

3. Trọng lực là trường hợp riêng của lực hấp dẫn
- Trọng lực tác dụng lên một vật là lực hấp dẫn giữa Trái Đất và vật đó.
Trọng lực đặt vào một điểm đặc biệt, gọi là trọng tâm của vật.

- Độ lớn của trọng lực (trọng lượng):
Trong đó: m là khối lượng của vật (kg)
h là độ cao của vật so với mặt đất (m)
M và R lần lượt là khối lượng và bán kính của Trái Đất
- Gia tốc rơi tự do:
Nếu vật ở gần mặt đất (h << R):
IV. LỰC ĐÀN HỒI CỦA LÒ XO – ĐỊNH LUẬT HÚC
1. Hướng và điểm đặt lực đàn hồi của lò xo
- Lực đàn hồi xuất hiện ở hai đầu của lò xo và tác dụng vào vật tiếp xúc (hay gắn) với lò xo, làm nó biến dạng.
- Khi bị dãn, lực đàn hồi của lò xo hướng vào trong.
- Khi bị nén, lực đàn hồi của lò xo hướng ra ngoài.
- Hướng của lực đàn hồi ở mỗi đầu lò xo ngược với hướng của ngoại lực gây biến dạng.
2. Độ lớn của lực đàn hồi của lò xo. Định luật Húc
a) Giới hạn đàn hồi của lò xo
Mỗi lò xo hay mỗi vật đàn hồi có một giới hạn đàn hồi nhất định. Nếu trọng lượng của tải vượt quá giới hạn đàn hồi thì lò xo sẽ không co được về chiều dài ban đầu nữa.
b) Định luật Húc
Trong giới hạn đàn hồi, độ lớn của lực đàn hồi của lò xo tỉ lệ thuận với độ biến dạng của lò xo.
Fđh = k.Δl
Trong đó: Fđh là độ lớn của lực đàn hồi (N)
k là độ cứng hay hệ số đàn hồi của lò xo (N/m)
Δl là độ biến dạng của lò xo (m)
Khi lò xo bị dãn: Δl = l - l0
Khi lò xo bị nén: Δl = l0 - l
c) Chú ý
- Đối với dây cao su hay dây thép, lực đàn hồi chỉ xuất hiện khi bị ngoại lực kéo dãn. Vì thế, lực đàn hồi trong trường hợp này gọi là lực căng.
- Đối với các mặt tiếp xúc bị biến dạng khi ép vào nhau thì lực đàn hồi có phương vuông góc với mặt tiếp xúc.
V. LỰC MA SÁT
1. Lực ma sát trượt
- Lực ma sát trượt xuất hiện ở mặt tiếp xúc khi vật chuyển động trượt trên một bề mặt.
- Lực ma sát trượt có hướng ngược hướng với vận tốc, cản trở chuyển động của vật.
- Đặc điểm của độ lớn của ma sát trượt
- Không phụ thuộc vào diện tích tiếp xúc và tốc độ của vật.
- Tỉ lệ với độ lớn của áp lực.
- Phụ thuộc vào vật liệu và tình trạng của hai mặt tiếp xúc.
- Hệ số ma sát trượt
Hệ số tỉ lệ giữa độ lớn của lực ma sát trượt và độ lớn của áp lực được gọi là hệ số ma sát trượt. Kí hiệu là 

Hệ số ma sát trượt phụ thuộc vào vật liệu và tình trạng của hai mặt tiếp xúc.
- Công thức của lực ma sát trượt

- Vai trò của lực ma sát trượt
- Có lợi: Có lợi: Mài nhẵn các bề mặt cứng như kim loại hoặc gỗ bằng đá mài, làm dây đàn dao động và phát ra âm thanh…
- Có hại: Ma sát trượt cản trở chuyển động, làm mòn các chi tiết máy.
2. Lực ma sát lăn
- Lực ma sát lăn xuất hiện khi một vật lăn trên mặt một vật khác để cản trở chuyển động lăn của vật.
- Hệ số ma sát lăn nhỏ hơn rất nhiều lần hệ số ma sát trượt.
- Vai trò của lực ma sát lăn: Giúp cho vật chuyển động dễ dàng hơn (Sử dụng con lăn để di chuyển thùng hàng; Chế tạo ổ bi, ổ trục giúp giảm thiểu sự mài mòn của trục bánh xe...)
3. Lực ma sát nghỉ
- Sự xuất hiện của lực ma sát nghỉ
Lực ma sát nghỉ xuất hiện khi một vật nằm yên trên bề mặt vật khác.
- Lực ma sát nghỉ có:
- Điểm đặt lên vật (sát bề mặt tiếp xúc).
- Phương song song với mặt tiếp xúc.
- Chiều ngược chiều với lực (hợp lực) của ngoại lực (các ngoại lực và thành phần của ngoại lực song song với bề mặt tiếp xúc) hoặc chiều chuyển động của vật.
- Khi lực tác dụng song song với mặt tiếp xúc lớn hơn một giá trị nào đó thì vật sẽ trượt. Như vậy:
Fmsn max = Fmst
Lực ma sát nghỉ cực đại xấp xỉ bằng lực ma sát trượt và có thể dùng công thức tính lực ma sát trượt để tính lực ma sát nghỉ cực đại
- Vai trò của lực ma sát nghỉ
Nhờ có ma sát nghỉ ta mới có thể cầm nắm được các vật trên tay, đinh mới giữ lại được ở tường, có thể sử dụng hệ thống bằng chuyền để đưa vật từ nơi này đến nơi khác, lực ma sát nghỉ đóng vai trò lực phát động giúp các vật chuyển động...
VI. LỰC HƯỚNG TÂM
- Lực (hay hợp lực của các lực) tác dụng vào một vật chuyển động tròn đều và gây ra cho vật gia tốc hướng tâm gọi là lực hướng tâm.
- Công thức

Trong đó: Fht là lực hướng tâm (N)
m là khối lượng của vật (kg)
aht là gia tốc hướng tâm (m/s2)
v là tốc độ dài của vật chuyển động tròn đều (m/s)
r là bán kính quỹ đạo tròn (m)
ω là tốc độ góc của vật chuyển động tròn đều (rad/s
- Chuyển động li tâm là chuyển động lệch ra khỏi quỹ đạo tròn theo phương tiếp tuyến với quỹ đạo của vật.
VII. BÀI TOÁN VỀ CHUYỂN ĐỘNG NÉM NGANG
1. Khảo sát chuyển động ném ngang
Chọn trục Ox nằm ngang, Oy thẳng đứng hướng xuống, gốc O ở vị trí ném, gốc thời gian là lúc ném.
Phân tích chuyển động thành hai thành phần:
Chuyển động theo phương ngang Ox gọi là chuyển động thẳng đều.
Chuyển động theo phương thẳng đứng Oy gọi là chuyển động rơi tự do.
- Vận tốc – Gia tốc

+ Trên trục Ox ta có: 
+ Trên trục Oy ta có:
- Phương trình chuyển động của vật:
- Phương trình quỹ đạo:
⇒ Quỹ đạo của chuyển động ném ngang có dạng Parabol
- Phương trình vận tốc:
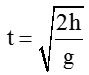
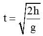
- Thời gian chuyển động bằng thời gian rơi tự do của vật được thả từ cùng độ cao:
Thời gian chuyển động bằng thời gian rơi tự do của vật được thả từ cùng độ cao:

- Tầm ném xa
Với L là tầm ném xa tính theo phương ngang.
Mời bạn tham khảo
- Bài tập Lực hấp dẫn dạng 1
- Bài tập Lực hấp dẫn dạng 2
- Bài tập Các định luật Newton dạng 1
- Bài tập Các định luật Newton dạng 2
- Bài tập Lực đàn hồi
- Bài tập Chuyển động của vật bị ném dạng 1
- Bài tập Chuyển động của vật bị ném dạng 2
- Bài tập Lực ma sát dạng 1
- Bài tập Lực ma sát dạng 2
- Bài tập Lực ma sát dạng 3
- Bài tập Lực ma sát dạng 4
- Bài tập Lực hướng tâm dạng 1
- Bài tập Lực hướng tâm dạng 2
- Bài tập Lực hướng tâm dạng 3
Để có kết quả cao hơn trong học tập, VnDoc xin giới thiệu tới các bạn học sinh tài liệu Trắc nghiệm Vật lý 10, Giải bài tập Vật Lí 10, Giải bài tập Hóa 10 nâng cao, .... được biên soạn và đăng tải chi tiết.