Bài tập Chất khí dạng 4
Chuyên đề Chất khí
Trong chuyên đề Vật lý 10 do VnDoc biên soạn và đăng tải, Bài tập Chất khí dạng 4 gồm bài tập vận dụng hỗ trợ học sinh nắm vững phương trình trạng thái của khí lí tưởng, nâng cao kết quả học tập môn Lý 10.
Dạng 4: Phương trình trạng thái của khí lí tưởng
A. Phương pháp & Ví dụ
- Phương trình trạng thái khí lí tưởng: 
Bài tập vận dụng
Bài 1: Một lượng khí đựng trong một xi lanh có pittông chuyển động được. Các thông số trạng thái của lượng khí này là: 2 atm, 300K. Khi pit tong nén khí, áp suất của khí tăng lên tới 3,5 atm, thể tích giảm còn 12l. Xác định nhiệt độ của khí nén.
Hướng dẫn:

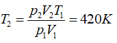
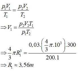
Bài 2: Một bóng thám không được chế tạo để có thể tăng bán kính lên tới 10m khi bay ở tầng khí quyển có áp suất 0,03atm và nhiệt độ 200K. Hỏi bán kímh của bóng khi bơm, biêt bóng được bơm khí ở áp suất 1 atm và nhiệt độ 300K ?
Hướng dẫn:

Bài 3: Tính khối lượng riêng của không khí ở nhiệt độ 100°C và áp suất 2.105Pa. Biết khối lượng riêng của không khí ở 0°C và 1,01.105 Pa là 1,29kg/m3.
Hướng dẫn:
Thể tích của 1 kg không khí ở điều kiện chuẩn là:

Ở 0°C và 101 kPa: po = 101 kPa
V0 = 0,78 m3
T0 = 273 K
Ở 100°C và 200 kPa: p = 200 kPa
T = 373 K
V = ?
Ta có:

Bài 4: Một bình cầu dung dịch 20l chứa oxi ở nhiệt độ 16°C và áp suất 100atm. Tính thể tích của lượng khí này ở điều kiện chuẩn. Tạo sao kết quả tìm được chỉ là gần đúng?
Hướng dẫn:
V0 = 1889 lít.
Vì áp suất quá lớn nên khí không thể coi là khí lí tưởng. Do đó kết quả tìm được chỉ mang tính gần đúng
Bài 5: Người ta bơm khí oxi ở điều kiện chuẩn vào một bình có thể tích 5000l. sau nữa giờ bình chứa đầy khí ở nhiệt độ 24°C và áp suất 765mmHg. Xác định khối lượng khí bơm vào sau mỗi giây. Coi quá trình bơm diễn ra một cách điều đặn.
Hướng dẫn:
Lượng khí bơm vào trong mỗi giây: 3,3g.
Sau t giây khối lượng khí trong bình là:

Với ρ là khối lượng riêng của khí.
ΔV là thể tích khí bơm vào sau mỗi giây.
V là thể tích khí bơm vào sau t giây.

thay V và V0 vào (1) ta được: 
Lượng khí bơm vào sau mỗi giây là:

Bài 6: Một phòng có kích thước 8m x 5m x 4m. Ban đầu không khí trong phòng ở điều kiện chuẩn, sau đó nhiệt độ của không khí tăng lên tới 10°C, trong khi áp suất là 78 cmHg. Tính thể tích của lượng khí đã ra khỏi phòng và khối lượng không khí còn lại trong phòng.
Hướng dẫn:
ΔV = 1,6m3 ; m’ = 204,84 kg
Lượng không khí trong phòng ở trạng thái ban đầu (điều kiện chuẩn)
p0 = 76 cmHg ; V0 = 5.8.4 = 160 m3 ; T0 = 273 K
Lượng không khí trong phòng ở trạng thái 2:
p2 = 78 cmHg ; V2 ; T2 = 283 K
Ta có:

Thể tích không khí thoát ra khỏi phòng:
ΔV =V2 - V0 = 161,6 - 160 = 1,6 m3
Thể tích không khí thoát ra khỏi phòng tính ở điều kiện chuẩn là:

Khối lượng không khí còn lại trong phòng:

Bài 7: Một xi lanh có pittong cách nhiệt và nằm ngang. Pittong ở vị trí chia xi lanh thành hai phần bằng nhau, chiều dài của mỗi phần là 30cm. Mỗi phần chứa một lượng khí như nhau ở nhiệt độ 17°C và áp suất 2 atm. Muốn pittong dịch chuyển 2cm thì phải đun nóng khí ở một phần lên thêm bao nhiêu ? Áp suất cuả khí pittong đã dịch chuyển là bao nhiêu.
Hướng dẫn:

Đối với phần khí bị nung nóng:
+ Trạng thái đầu: 
+ Trạng thái cuối: 
Đối với phần khí không bị nung nóng:
+ Trạng thái đầu: 
+ Trạng thái cuối: 
Ta có: 
Vì pittông ở trạng thái cân bằng nên: p'2 = p2 Do đó:

Vậy phải đun nóng khí ở một bên lên thêm ΔT độ:



B. Bài tập trắc nghiệm
Câu 1: Một bình kín chứa một mol khí Nitơ ở áp suất 105N/m2, nhiệt độ 27°C. Thể tích bình xấp xỉ bao nhiêu?
A. 2,5 lít
B. 2,8 lít
C. 25 lít
D. 27,7 lít
Chọn C
Câu 2: Một bình kín chứa một mol khí Nitơ ở áp suất 105 N/m, nhiệt độ 27°C. Nung bình đến khi áp suất khí là 5.105 N/m2. Nhiệt độ khí sau đó là:
A. 127°C
B. 60°C
C. 635°C
D. 1227°C
Chọn D
Câu 3: Nén 10 lít khí ở nhiệt độ 27°C để thể tích của nó giảm chỉ còn 4 lít, quá trình nén nhanh nên nhiệt độ tăng đến 60°C. Áp suất khí đã tăng bao nhiêu lần:
A. 2,78
B. 3,2
C. 2,24
D. 2,85
Chọn A
Câu 4: Một bình kín dung tích không đổi 50 lít chứa khí Hyđrô ở áp suất 5MPa và nhiệt độ 37°C, dùng bình này để bơm bóng bay, mỗi quả bóng bay được bơm đến áp suất 1,05.105Pa, dung tích mỗi quả là 10 lít, nhiệt độ khí nén trong bóng là 12°C. Hỏi bình đó bơm được bao nhiêu quả bóng bay?
A. 200
B. 150
C. 214
D. 188
Chọn C
Câu 5: Một xilanh kín chia làm hai phần bằng nhau bởi một pitong cách nhiệt. Mỗi phần có chiều dài 30 cm chứa một lượng khí giống nhau ở 27°C. Nung nóng một phần lên 10°C, còn phần kia làm lạnh đi 10°C thì pitong dịch chuyển một đoạn là:
A. 4cm
B. 2cm
C. 1cm
D. 0,5cm
Chọn C
Câu 6: Tích của áp suất p và thể tích V của một khối lượng khí lí tưởng xác định thì:
A. không phụ thuộc vào nhiệt độ
B. tỉ lệ thuận với nhiệt độ tuyệt đối
C. tỉ lệ thuận với nhiệt độ Xenxiut
D. tỉ lệ nghịch với nhiệt độ tuyệt đối
Chọn B
Câu 7: Khi làm lạnh đẳng tích một lượng khí lí tưởng xác định, đại lượng nào sau đây là tăng?
A. khối lượng riêng của khí
B. mật độ phân tử
C. pV
D. V/p
Chọn D
Câu 8: Khi làm nóng đẳng tích một lượng khí lí tưởng xác định, đại lượng nào sau đây không đổi?
A. n/p
B. n/T
C. p/T
D. nT
Chọn C
Câu 9: Hai bình cầu cùng dung tích chứa cùng một chất khí nối với nhau bằng một ống nằm ngang. Một giọt thủy ngân nằm đúng giữa ống ngang. Nhiệt độ trong các bình tương ứng là T1 và T2. Tăng gấp đôi nhiệt độ tuyệt đối của khí trong mỗi bình thì giọt Hg sẽ chuyển động như thế nào:

A. nằm yên không chuyển động
B. chuyển động sang phải
C. chuyển động sang trái
D. chưa đủ dữ kiện để nhận xét
Chọn A
Câu 10: Hai bình cầu cùng dung tích chứa cùng một chất khí nối với nhau bằng một ống nằm ngang. Một giọt thủy ngân nằm đúng giữa ống ngang như hình vẽ câu hỏi 9. Nhiệt độ trong các bình tương ứng là T1 và T2. Tăng nhiệt độ tuyệt đối của khí trong mỗi bình thêm một lượng ΔT như nhau thì giọt Hg sẽ chuyển động như thế nào:
A. nằm yên không chuyển động
B. chuyển động sang phải
C. chuyển động sang trái
D. chưa đủ dữ kiện để nhận xét
Chọn D
Câu 11: Một ống nghiệm tiết diện đều có chiều dài 76cm, đặt thẳng đứng chứa một khối khí đến nửa ống, phía trên của ống là một cột thủy ngân. Nhiệt độ lúc đầu của khối khí là 0°C, áp suất khí quyển là 76cmHg. Để một nửa cột thủy ngân trào ra ngoài thì phải đun nóng khối khí lên đến nhiệt độ:

A. 38,25°C
B. 58,25°C
C. 68,25°C
D. 98,25°C
Gọi h là chiều cao của cột thủy ngân lúc ban đầu, h = 38 cm.
Trạng thái khí lúc ban đầu: p1 = p0 + h, V1, T1 = 273K.
Trạng thái khí lúc sau: p2 = p0 + 0,5h, V2 = 1,5V1, T2.
Ta có:

Câu 12: Ở thời kì nén của một động cơ đốt trong 4 kì, nhiệt độ của hỗn hợp khí tăng từ 47°C đến 367°C, còn thể tích của khí giảm từ 1,8 lít đến 0,3 lít. Áp suất của khí lúc bắt đầu nén là 100kPa. Coi hỗn hợp khí như chất khí thuần nhất, áp suất cuối thời kì nén là:
A. 1,5.106Pa
B. 1,2.106Pa
C. 1,8.106Pa
D. 2,4.106Pa
Chọn B
Câu 13: Trong một động cơ điezen, khối khí có nhiệt độ ban đầu là 32°C được nén để thể tích giảm bằng 1/16 thể tích ban đầu và áp suất tăng bằng 48,5 lần áp suất ban đầu. Nhiệt độ khối khí sau khi nén sẽ bằng:
A. 97°C
B. 652°C
C. 1552°C
D. 132°C
Trạng thái khí lúc đầu: p1, V1, T1.
Trạng thái khí lúc sau: p2 = 48,5p1, V2 = 1/16 V1, T2.
PT trạng thái khí lí tưởng:

Câu 14: Một lượng 0,25 mol khí Hêli trong xi lanh có nhiệt độ T1 và thể tích V1 được biến đổi theo một chu trình khép kín: dãn đẳng áp tới thể tích V2 = 1,5 V1; rồi nén đẳng nhiệt; sau đó làm lạnh đẳng tích về trạng thái 1 ban đầu. Nhiệt độ lớn nhất trong chu trình biến đổi có giá trị nào:
A. 1,5T1
B. 2T1
C. 3T1
D. 4,5T1
Vì từ (3) ⇒ (4) là quá trình đẳng tích nên t dễ dàng suy ra V3 = V1.
PT Claperon – Mendeleev cho (2) và (3) ta được:

Câu 15: Một bình chứa khí Hyđrô nén có dung tích 20 lít ở nhiệt độ 27°C được dùng để bơm khí vào 100 quả bóng, mỗi quả bóng có dung tích 2 lít. Khí trong quả bóng phải có áp suất 1 atm và ở nhiệt độ 17°C. Bình chứa khí nén phải có áp suất bằng:
A. 10atm
B. 11atm
C. 17atm
D. 100atm
Chọn B
Mời bạn làm thêm
- Làm online: Bài tập Chất khí dạng 4
- Bài tập Chất khí dạng 1
- Bài tập Chất khí dạng 2
- Bài tập Chất khí dạng 3
- Bài tập Chất khí dạng 5
Để có kết quả cao hơn trong học tập, VnDoc xin giới thiệu tới các bạn học sinh tài liệu Trắc nghiệm Vật lý 10, Giải bài tập Vật Lí 10, Giải bài tập Hóa 10 nâng cao, .... được biên soạn và đăng tải chi tiết.