Bài tập Cơ sở của nhiệt động lực học dạng 3
Chuyên đề Cơ sở của nhiệt động lực học
Bài tập Cơ sở của nhiệt động lực học dạng 3 thuộc chuyên đề Vật lý 10 gồm các dạng bài tập đặc trưng của nguyên lí 2 nhiệt động lực học, hỗ trợ học tập môn Lý 10.
Dạng 3: Nguyên lí 2 nhiệt động lực học
A. Phương pháp & Ví dụ
- Nguyên lí II nhiệt động lực học:
+ Clau – di – út: Nhiệt không thể tự truyền từ một vật sang vật nóng hơn.
+ Các – nô: Động cơ nhiệt không thể chuyển hóa tất cả nhiệt lượng nhận được thành công cơ học.
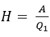
- Hiệu suất của động cơ nhiệt:

Bài tập vận dụng
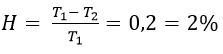
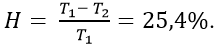
Bài 1: Một động cơ nhiệt lí tưởng hoạt động giữ 2 nguồn nhiệt từ 100°C và 24,5°C thực hiện công 2kJ.
a. Tính hiệu suất của động cơ, nhiệt lượng mà động cơ nhận từ nguồn nóng và nhiệt lượng mà nó truyền cho nguồn lạnh.
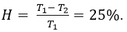
b. Phải tăng nhiệt độ của nguồn nóng lên bao nhiêu để hiệu suất động cơ đạt 25%?
Hướng dẫn:
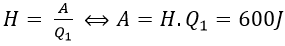
a. Hiệu suất của động cơ: 
⇒ Nhiệt lượng mà động cơ nhận từ nguồn nóng là: Q1 = A/H = 10kJ.
⇒ Nhiệt lượng mà động cơ truyền cho nguồn lạnh: Q2 = Q1 - A = 8kJ.
b. Hiệu suất động cơ đạt 25% nên:

Bài 2: Động cơ nhiệt lí tưởng làm việc giữa 2 nguồn nhiệt lí tưởng là 27°C và 127°C. Nhiệt lượng tác nhân nhận từ nguồn nóng của một chu trình là 2400J. Tính:
a. Hiệu suất của động cơ.
b. Công thực hiện 1 chu trình.
c. Nhiệt lượng truyền cho nguồn lạnh trong 1 chu trình.
Hướng dẫn:
a. Hiệu suất của động cơ là: 
b. Công thực hiện trong 1 chu trình:

c. Nhiệt lượng truyền cho nguồn lạnh trong 1 chu trình: Q2 = Q1 - A = 1800J.
Bài 3: Trong xilanh có tiết diện 200 cm2, pittong cách đáy 30cm, có khí ở 27°C và 106 N/m2. Khi nhận nhiệt lượng do 5g xăng bị cháy cung cấp, khí dãn nở đẳng áp, nhiệt độ tăng thêm 150°C.
a. Tính công do khí thực hiện.
b. Tính hiệu suất của quá trình.
Biết khi cháy 10% nhiệt lượng của xăng cung cấp cho khí. Năng suất tỏa nhiệt của xăng là 4,8.107 J/kg.
Hướng dẫn:
a. V1 = Sh = 6000 cm3.
Quá trình đẳng áp

Công do khí thực hiện: A = p(V2 - V1)= 3000J.
b. Hiệu suất:
= 12,5%.
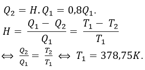
Bài 4: Động cơ nhiệt lí tưởng mỗi chu trình truyền 80% nhiệt lượng nhận được cho nguồn lạnh. Biết nhiệt độ nguồn lạnh là 30°C. Tìm nhiệt độ của nguồn nóng.
Hướng dẫn:

Bài 5: Máy hơi nước công suất 10kW tiêu thụ 10kg than đá trong 1h. Biết hơi nước vào và ra xilanh có nhiệt độ 227°C và 100°C, năng suất tỏa nhiệt của than đá là 3,6.107 J/kg. Tính hiệu suất thực của máy và của một động cơ nhiệt lí tưởng làm việc giữa 2 nhiệt độ nói trên.
Hướng dẫn:
Hiệu suất thực của máy:

Hiệu suất của động cơ nhiệt lí tưởng:

B. Bài tập trắc nghiệm
Câu 1: Chọn phát biểu đúng.
A. Trong quá trình đẳng tích, nhiệt lượng mà chất khí nhận được dùng làm tăng nội năng và thực hiện công.
B. Độ biến thiên nội năng của vật bằng tổng công và nhiệt lượng mà vật nhận được.
C. Động cơ nhiệt chuyển hóa tất cả nhiệt lượng nhận được thành công cơ học.
D. Nhiệt có thể tự truyền từ vật lạnh sang vật nóng.
Chọn B
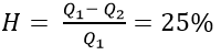
Câu 2: Trong một chu trình của động cơ nhiệt lí tưởng, chất khí thực hiện một công bằng 2.103J và truyền cho nguồn lạnh một nhiệt lượng bằng 6.103J. Hiệu suất của động cơ đó bằng
A. 33%
B. 80%
C. 65%
D. 25%
A = 2.103 J và Q2 = 6. 103 J.
Vì A = Q1 - Q2 nên Q1 = 8.103 J.
Vậy hiệu suất của động cơ là: H =
= 25%.
Câu 3: Hiệu suất của một động cơ nhiệt là 40%, nhiệt lượng nguồn nóng cung cấp là 800J. Công mà động cơ nhiệt thực hiện là
A. 2kJ
B. 320J
C. 800J
D. 480J
Chọn B
Câu 4: Một động cơ nhiệt nhận từ nguồn nóng một nhiệt lượng 1200J và truyền cho nguồn lạnh một nhiệt lượng 900J. Hiệu suất của động cơ là
A. lớn hơn 75%
B. 75%
C. 25%
D. nhỏ hơn 25%
Hiệu suất động cơ là: 
Câu 5: Định luật, nguyên lí vật lý nào cho phép giải thích hiện tượng chất khí nóng lên khi bị nén nhanh (ví dụ không khí bị nén trong chiếc bơm xe đạp)?
A. Định luật bảo toàn cơ năng.
B. Nguyên lí I nhiệt động lực học.
C. Nguyên lí II nhiệt động lực học.
D. Định luật bảo toàn động lượng.
Chọn B
Câu 6: Phát biểu nào sau đây phù hợp với nguyên lí II nhiệt động lực học?
A. Độ tăng nội năng của vật bằng tổng công và nhiệt lượng mà vật nhận được.
B. Động cơ nhiệt chuyển hoá tất cả nhiệt lượng nhận được thành công cơ học.
C. Nhiệt lượng không thể truyền từ một vật sang vật nóng hơn.
D. Nhiệt lượng truyền cho vật làm tăng nội năng của vật và biến thành công mà vật thực hiện được.
Chọn C
Câu 7: Người ta thực hiện công 100J để nén khí trong một xylanh. Biết khí truyền sang môi trường xung quanh nhiệt lượng 20J. Độ biến thiên nội năng của khí là
A. 80J
B. 120J
C. -80J
D. -120J
Chọn A
Câu 8: Chất khí trong xy lanh nhận nhiệt hay tỏa nhiệt một lượng là bao nhiêu nếu như thực hiện công 170J lên khối khí và nội năng khối khí tăng thêm 170J?
A. Khối khí nhận nhiệt 340J
B. Khối khí nhận nhiệt 170J.
C. Khối khí tỏa nhiệt 340J
D. Khối khí không trao đổi nhiệt với môi trường.
Chọn A
Câu 9: Chọn phát biểu sai.
A. Đơn vị của nhiệt lượng cũng là đơn vị của nội năng.
B. Một vật lúc nào cũng có nội năng, do đó lúc nào cũng có nhiệt lượng.
C. Nhiệt lượng là số đo độ biến thiên nội năng của vật trong quá trình truyền nhiệt.
D. Nhiệt lượng không phải là nội năng.
Chọn B
Câu 10: Cách nào sau đây không làm thay đổi nội năng của vật?
A. Cọ xát vật lên mặt bàn.
B. Đốt nóng vật.
C. Làm lạnh vật.
D. Đưa vật lên cao.
Chọn D
Câu 11: Chọn phát biểu sai.
A. Đơn vị của nhiệt lượng cũng là đơn vị của nội năng.
B. Một vật lúc nào cũng có nội năng, do đó lúc nào cũng có nhiệt lượng.
C. Nhiệt lượng là số đo độ biến thiên nội năng của vật trong quá trình truyền nhiệt.
D. Nhiệt lượng không phải là nội năng.
Chọn B
Câu 12: Một viên đạn đại bác có khối lượng 10 kg khi rơi tới đích có vận tốc 54 km/h. Nếu toàn bộ động năng của nó biến thành nội năng thì nhiệt lượng tỏa ra lúc va chạm vào khoảng
A. 1125 J.
B. 14580 J.
C. 2250 J.
D. 7290 J.
Chọn A
Mời bạn làm thêm
- Làm online: Bài tập Cơ sở của nhiệt động lực học dạng 3
- Bài tập Cơ sở của nhiệt động lực học dạng 1
- Bài tập Cơ sở của nhiệt động lực học dạng 2
- Bài tập Chất rắn kết tinh, chất rắn vô định hình
Để có kết quả cao hơn trong học tập, VnDoc xin giới thiệu tới các bạn học sinh tài liệu Trắc nghiệm Vật lý 10, Giải bài tập Vật Lí 10, Giải bài tập Hóa 10 nâng cao, .... được biên soạn và đăng tải chi tiết.