Bài tập Các định luật bảo toàn dạng 2
Chương Các định luật bảo toàn
VnDoc mời các bạn cùng tham khảo Bài tập Các định luật bảo toàn dạng 2 thuộc chuyên đề Vật lý 10 nhằm ôn luyện về bài tập về công và công suất cũng như các dạng bài thường gặp, nâng cao kết quả học môn Lý 10.
Dạng 2: Bài tập về công và công suất
A. Phương pháp & Ví dụ
- Công của lực F khi vật dịch chuyển được quãng đường s, lực hợp với phương dịch chuyển một góc α:
A = F.s.cosα
- Đơn vị của công là jun, kí hiệu là J.
- Công suất:

Đơn vị của công suất là oát, kí hiệu là W.
Bài tập vận dụng
Bài 1: Người ta kéo một cái thùng nặng 20 kg trượt trên sàn nhà bằng một dây hợp với phương nằm ngang một góc 60°, lực tác dụng lên dây là 300N.
a. Tính công của lực đó khi thùng trượt được 10 m.
b. Khi thùng trượt, công của trọng lực bằng bao nhiêu?
Hướng dẫn:
a) Công của lực F kéo thùng đi được 10 m là:
A = F.s.cosα = 300.10.cos60° = 1500 J
b) Vì trong quá trình vật chuyển động, trọng lực luôn vuông góc với phương chuyển động nên công của trọng lực bằng 0.
Bài 2: Một gàu nước có khối lượng 15 kg được kéo cho chuyển động thẳng đều lên độ cao 5m trong khoảng thời gian 1 phút 15 giây. Tính công suất trung bình của lực kéo. Lấy g = 10 m/s2.
Hướng dẫn:
Công để kéo gàu nước lên thẳng đều bằng công của trọng lực.
Do đó: A = m g.h.
Suy ra công suất trung bình của lực kéo:

Bài 3: Một ôtô có khối lượng m = 1,5 tấn chuyển động đều trên mặt đường nằm ngang với vận tốc v = 36 km/h. Biết công suất của động cơ ôtô là 10,5 kW. Tính lực ma sát của ôtô và mặt đường.
Hướng dẫn:
Các lực tác dụng lên xe: N→, P→, Fk→, Fms→
Theo định luật II Newwton, ta có:
N→ + P→ + Fk→ + Fms→ = m a→
Chiếu lên Oy: N – P = 0
Chiếu lên Ox: Fk - Fms = m.a = 0 (vì chuyển động đều).
Công suất của động cơ là 8kW ⇒ P = 8 kW.
Độ lớn của lực ma sát:

Bài 4: Một xe tải khối lượng 2,5 tấn, bắt đầu chuyển động nhanh dần đều sau khi đi được quãng đường 144 m thì vận tốc đạt được 12 m/s. Hệ số ma sát giữa xe và mặt đường là μ = 0,04. Tính công của các lực tác dụng lên xe trên quãng đường 144m đầu tiên. Lấy g = 10 m/s2.
Hướng dẫn:
Gia tốc của xe là: 
Các lực tác dụng lên xe bao gồm: N→, P→, Fk→, Fms→
Theo định luật II Newwton, ta có:
N→ + P→ + Fk→ + Fms→ = m a→
Chiếu lên Oy: N – P = 0
Chiếu lên Ox: Fk - Fms = m.a
Độ lớn của lực ma sát là: Fms = μmg = 1000 N.
Độ lớn của lực kéo là: Fk - Fms = ma ⇔ Fk = ma + Fms = 2250 N.
Vậy:
Công của lực ma sát: Ams = Fms.s = 1,44.105 J.
Công của lực kéo: Ak = Fk.s = 3,24.105 J.
Công của trọng lực và áp lực: AP = AN = 0.
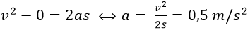
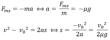
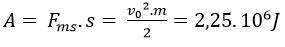
Bài 5: Một ôtô khối lượng 20 tấn chuyển động chậm dần đều trên đường nằm ngang dưới tác dụng của lực ma sát, với hệ số ma sát μ = 0,3. Vận tốc đầu của ô tô là 54 km/h, sau một khoảng thì ôtô dừng. Tính công và công suất trung bình của lực ma sát trong thời gian đó.
Hướng dẫn:
Độ lớn lực ma sát: Fms = μmg.
Công làm ôtô chuyển động chậm dần là công của lực ma sát. Do đó:

Suy ra công của lực ma sát:

Vì công cản nên A < 0 ⇒ A = -2,25.106 J
Mặt khác, để tính được công suất ta cần tính được thời gian ôtô chuyển động cho tới lúc dùng lại.
Theo đề bài ta có:
v = v0 + at ⇔ 
Vậy công suất trung bình: P = A/t = 4,5.105 W
B. Bài tập trắc nghiệm
Câu 1: Một lực F→ không đổi liên tục kéo 1 vật chuyển động với vận tốc v→ theo hướng của công suất của lực F→ là:
A. F.v.t
B. F.t
C. F.v
D. F.v2
Chọn C
Câu 2: Đơn vị nào sau đây không phải đơn vị của công?
A. kW.h
B. N.m
C. kg.m2/s2
D. kg.m2/s
Chọn D
Câu 3: Công thức tính công của một lực là
A. Fs
B. mgh
C. Fscosα
D. 0,5 mv2
Chọn C
Câu 4: Công là đại lượng:
A. Vô hướng có thể âm, dương hoặc bằng không
B. Vô hướng có thể âm hoặc dương
C. Véc-tơ có thể âm, dương hoặc bằng không
D. Véc-tơ có thể âm hoặc dương
Chọn A
Câu 5: Vật nào sau đây không có khả năng sinh công?
A. Dòng nước lũ đang chảy mạnh
B. Viên đạn đang bay
C. Búa máy đang rơi xuống
D. Hòn đá đang nằm trên mặt đất
Chọn D
Câu 6: Đơn vị nào sau đây không phải là đơn vị của công suất ?
A. HP
B. kw.h
C. Nm/s
D. J/s
Chọn B
Câu 7: kW.h là đơn vị của:
A. Công.
B. Công suất.
C. Động lượng.
D. Động năng.
Chọn A
Câu 8: Một vật có khối lượng m = 5 kg trượt từ đỉnh xuống chân một mặt phẳng nghiêng có chiều dài S = 20 m và nghiêng góc 30° so với phương ngang. Công của trọng lực tác dụng lên vật khi vật đi hết dốc có độ lớn là:
A. 5 kJ
B. 1000 J
C. 850 J
D. 500 J
Chọn D
Câu 9: Kéo một xe goòng bằng một sợi dây cáp với một lực bằng 150N. Góc giữa dây cáp và mặt phẳng ngang bằng 30°. Công của lực tác dụng lên xe để xe chạy được 200 m có giá trị
A. 51900 J
B. 30000 J
C. 15000 J
D. 25980 J
Chọn D
Câu 10: Một động cơ điện cung cấp công suất 15 KW cho 1 cần cẩu nâng vật 1000 Kg chuyển động đều lên cao 30 m. Lấy g = 10 m/s2. Thời gian để thực hiện công việc đó là:
A. 20s
B. 5s
C. 15s
D. 10s
Ta có:

Câu 11: Một chiếc ô tô sau khi tắt máy còn đi được 10 m. Biết ô tô nặng 1,5 tấn, hệ số cản bằng 0,25 ( Lấy g = 9,8 m/s2 ). Công của lực cản có giá trị:
A. - 36750 J
B. 36750 J
C. 18375 J
D. - 18375 J
Công của lực cản là: Acản = Fms.s = μmg.s = 36750 J.
Vì công cản nên A < 0 ⇒ A = - 36750 J.
Câu 12: Một vật có trọng lượng 10 N đặt trên mặt bàn nằm ngang. Tác dụng vào vật một lực 15 N theo phương ngang, lần thứ nhất trên mặt nhẵn, lần thứ hai trên mặt nhám với cùng độ dời 0,5 m. Biết rằng công toàn phần trong lần thứ hai giảm còn 2/3 so với lần thứ nhất. Lấy g = 9,8 m/s2. Hệ số ma sát giữa vật và mặt nằm ngang là:
A. 0,5
B. 0,2
C. 0,4
D. 0,3
Công thực hiện lần thứ nhất:
A1 = F.s.
Công thực hiện ở lần thứ hai:
A2 = Ak + Ams = F.s - μmgs.
Vì:

Câu 13: Một vật chịu tác dụng của lần lượt ba lực khác nhau F1 > F2 > F3 và cùng đi được quãng đường trên phương AB như hình vẽ. Có kết luận gì về quan hệ giữa các công của các lực này:

A. A1 > A2 > A3
B. A1 < A2 < A3
C. A1 = A2 = A3
D. Phụ thuộc vào vật chuyển động đều hay không
Chọn C
Câu 14: Công suất là đại lượng được tính bằng:
A. Tích của công và thời gian thực hiện công
B. Tích của lực tác dụng và vận tốc
C. Thương số của công và vận tốc
D. Thương số của lực và thời gian tác dụng lực
Chọn B
Câu 15: Công có thể biểu thị bằng tích của:
A. Năng lượng và khoảng thời gian
B. Lực, quãng đường đi được và khoảng thời gian
C. Lực và quãng đường đi được
D. Lực và vận tốc
Chọn C
Mời bạn làm thêm
- Làm online: Bài tập Các định luật bảo toàn dạng 2
- Bài tập Các định luật bảo toàn dạng 1
- Bài tập Các định luật bảo toàn dạng 3
Để có kết quả cao hơn trong học tập, VnDoc xin giới thiệu tới các bạn học sinh tài liệu Trắc nghiệm Vật lý 10, Giải bài tập Vật Lí 10, Giải bài tập Hóa 10 nâng cao, .... được biên soạn và đăng tải chi tiết.