Bài tập Lực hấp dẫn dạng 1
Chuyên đề Động lực học chất điểm
Bài tập Lực hấp dẫn dạng 1 do VnDoc biên soạn giúp học sinh nắm vững chuyên đề Vật lý 10, nâng cao kết quả học tập của bản thân trong môn Lý 10. Mời các bạn cùng tham khảo chi tiết.
Dạng 1: Tính lực hấp dẫn giữa hai vật
A. Phương pháp & Ví dụ
- Lực hấp dẫn: Mọi vật trong vũ trụ đều hút nhau một lực. Lực đó gọi là lực hấp dẫn
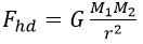
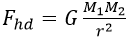
- Định luật vạn vật hấp dẫn:
+ Nội dung: (sách giáo khoa)
+ Biểu thức: 
Trong đó, G là hằng số hấp dẫn, G = 6,67.10-11 Nm2/kg2
- Điều kiện áp dụng định luật:
- Khoảng cách của 2 vật rất lớn so với kích thước của chúng, khi đó 2 vật được coi là 2 chất điểm
- Các vật đồng chất và có dạng hình cầu. Khi ấy r là khoảng cách giữa hai tâm và lực hấp dẫn nằm trên đường nối tâm.
Bài tập vận dụng
Bài 1: Hai tàu thuỷ có khối lượng 50000 tấn ở cách nhau 1 km. Tính lực hấp dẫn giữa chúng.
Hướng dẫn:
Đổi: 50000 tấn = 5.107 kg, 1 km = 1000 m
Độ lớn lực hấp dẫn giữa chúng là:

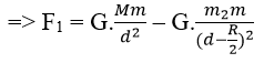
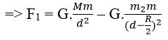
Bài 2: Khối lượng Mặt Trăng nhỏ hơn khối lượng Trái Đất 81 lần, khoảng cách giữa tâm Trái Đất và tâm Mặt Trăng gấp 60 lần bán kính Trái Đất. Lực hút của Trái Đất và của Mặt Trăng tác dụng vào cùng một vật bằng nhau tại điểm nào trên đường thẳng nối tâm của chúng?
Hướng dẫn:
Gọi khối lượng Mặt Trăng là M ⇒ khối lượng Trái Đất là 81 M
Bán kính Trái Đất là R thì khoảng cách giữa tâm Trái Đất và tâm Mặt Trăng là 60 R
Gọi h là khoảng cách điểm cần tìm đến tâm Trái Đất ⇒ khoảng cách từ điểm đó đến tâm Mặt Trăng là 60R - h (R, h > 0)
Theo bài ra: lực hút của Trái Đất tác dụng vào vật đó cân bằng với lực hút từ Mặt trăng tác dụng vào vật
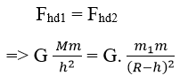
Fhd1 = Fhd2

Bài 3: Trong một quả cầu đặc đồng chất, bán kính R, người ta khoét một lỗ hình cầu có bán kính R/2. Tìm lực tác dụng đặt lên vật m nhỏ cách tâm quả cầu một khoảng d. Biết khi chưa khoét, quả cầu có khối lượng M
Hướng dẫn:

Gọi F1 là lực hấp dẫn giữa quả cầu đã bị khoét với vật m
F2 là lực hấp dẫn giữa quả cầu đã bị khoét đi với vật m
F là lực hấp dẫn giữa quả cầu đã bị khoét đi với vật m
F = F1 + F2 ⇒ F1 = F – F2

Vì khối lượng tỉ lệ với thể tích

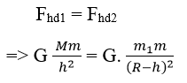
Bài 4: Trái Đất có khối lượng 6.1024 kg, Mặt Trăng có khối lượng 7,4.1022 kg. Bán kính quỹ đạo của Mặt Trăng là R = 385000 km. Tại điểm nào trên mặt phẳng nối tâm của chúng, vật bị hút về Trái Đất và Mặt Trăng với những lực bằng nhau?
Hướng dẫn:

⇒ M(R-h)2 = m1h2
⇔ MR2 – MRh + Mh2 = m1h2
⇔ h = 0,9R = 346846,8 km
Bài 5: Sao Hỏa có bán kính bằng 0,53 bán kính Trái Đất và có khối lượng bằng 0,1 lần khối lượng Trái Đất. Tính gia tốc rơi tự do trên sao Hỏa. Biết gia tốc rơi tự do của vật trên mặt đất là 0,98 m/s2
Hướng dẫn:
Ta có:

B. Bài tập trắc nghiệm
Câu 1: Hai xe tải giống nhau, mỗi xe có khối lượng 2,0.104 kg, ở cách xa nhau 40 m. Hỏi lực hấp dẫn giữa chúng bằng bao nhiêu?
A. 1,67. 10-3 N
B. 1,67.10-4 N
C. 1,67. 10-5 N
D. 1,67. 10-6 N

Câu 2: Câu nào sau đây là đúng khi nói về lực hấp dẫn do Trái Đất tác dụng lên Mặt Trời và do Mặt Trời tác dụng lên Trái Đất.
A. Hai lực này cùng phương, cùng chiều.
B. Hai lực này cùng chiều, cùng độ lớn.
C. Hai lực này cùng phương, ngược chiều, cùng độ lớn.
D. Phương của hai lực này luôn thay đổi và không trùng nhau
Câu 3: Đơn vị đo hằng số hấp dẫn:
A. kgm/s2
B. Nm2/kg2
C. m/kgs2
D. Nm/s
Câu 4: Khi khối lượng của hai vật và khoảng cách giữa chúng đều giảm đi một nửa thì lực hấp dẫn giữa chúng có độ lớn:
A. Giảm đi 8 lần
B. Giảm đi một nửa
C. Giữ nguyên như cũ
D. Tăng gấp đôi
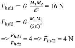
Câu 5: Hai vật có kích thước nhỏ X và Y cách nhau 1 khoảng d (m) thì X hấp dẫn Y với một lực 16 N. Nếu khoảng cách giữa X và Y bị thay đổi thành 2d thì Y sẽ hấp dẫn X với một lực bằng:
A. 1 N
B. 4 N
C. 8 N
D. 16 N

Câu 6: Hai quả cầu đồng chất đặt cách nhau một khoảng nào đó. Nếu bào mòn sao cho bán kính mỗi quả cầu giảm đi một nửa mà giữ nguyên khoảng cách thì lực hấp dẫn giữa chúng sẽ giảm đi:
A. 4 lần
B. 8 lần
C. 16 lần
D. 64 lần
Lực hấp dẫn ban đầu:
Ta có: m = D.V ( trong đó, D là khối lượng riêng của chất làm nên vật, V là thể tích của vật)
Mà thể tích hình cầu: V = (4/3)πr3
Nên bán kính giảm 2 lần thì thể tích giảm 23 = 8 lần, suy ra khối lượng 2 quả cầu lúc sau giảm 8 lần so với khối lượng ban đầu
Lực hấp dẫn lúc sau:

Câu 7: Biết bán kính của Trái Đất là R. Lực hút của Trái Đất đặt vào một vật khi vật ở mặt đất là 45 N, khi lực hút là 5N thì vật ở độ cao h bằng:
A. 2R
B. 9R
C. 2R/3
D. R/9

Câu 8: Hai quả cầu bằng chì, mỗi quả có khối lượng 45 kg, bán kính 10 cm. Lực hấp dẫn giữa chúng có thể đạt giá trị lớn nhất là bao nhiêu?
A. 3,38. 10-4 N
B. 3,38. 10-5 N
C. 3,38. 10-6 N
D. 3,38. 10-7 N

Câu 9: Mặt trăng có khối lượng 7,5.1022 kg. Trái Đất có khối lượng 6.1024kg. Khoảng cách giữa các tâm của chúng là 384000 km. Lực hấp dẫn giữa chúng có độ lớn:
A. 1020 N
B. 1022 N
C. 2.1022 N
D. 2.1020 N

Câu 10: Hai vật cách nhau một khoảng r1 thì lực hấp dẫn giữa chúng là F1. Để lực hấp dẫn giữa chúng tăng lên 9 lần thì khoảng cách r2 giữa chúng:
A. tăng lên 3 lần
B. tăng lên 9 lần
C. giảm đi 3 lần
D. giảm đi 9 lần
Câu 11: Lực hấp dẫn giữa hai vật phụ thuộc vào:
A. Khối lượng của Trái Đất
B. Môi trường giữa hai vật
C. Thể tích của hai vật
D. Khối lượng và khoảng cách giữa hai vật
Câu 12: Khối lượng hai vật được giữ không đổi, độ lớn lực hấp dẫn phụ thuộc vào khoảng cách giữa hai vật như thế nào?
A. tỉ lệ thuận
B. tỉ lệ nghịch
C. tỉ lệ với bình phương khoảng cách
D. tỉ lệ nghịch với bình phương khoảng cách
Câu 13: Tại điểm có xu hướng như thế nào trên đoạn thẳng nối tâm Trái Đất và Mặt Trăng thì lực hấp dẫn Trái Đất và Mặt Trăng tác dụng vào một vật tại điểm đó cân bằng?
A. gần Mặt Trăng hơn
B. gần Trái Đất hơn
C. nằm ở trung điểm đoạn nối tâm
D. không tồn tại điểm đó
Câu 14: Có hai quả cầu đồng chất. Để lực hấp dẫn giữa chúng tăng lên 27 lần, giữ nguyên khối lượng quả thứ nhất đồng thời tăng thể tích quả cầu thứ hai lên 3 lần. Hỏi khoảng cách giữa hai vật thay đổi như thế nào?
A. tăng 3 lần
B. giảm 3 lần
C. không thay đổi
D. giảm 9 lần
Câu 15: Chọn đáp án đúng:
A. Lực hấp dẫn không phải là lực cơ học
B. Lực hấp dẫn chỉ sinh ra ở gần bề mặt Trái Đất
C. Lực hấp dẫn là lực hút giữa mọi vật chất
D. Lực hấp dẫn càng lớn khi khoảng cách giữa hai vật càng xa
Mời bạn tham khảo
- Làm online: Bài tập Lực hấp dẫn dạng 1
- Bài tập Lực hấp dẫn dạng 2
- Bài tập Các định luật Newton dạng 2
Để có kết quả cao hơn trong học tập, VnDoc xin giới thiệu tới các bạn học sinh tài liệu Trắc nghiệm Vật lý 10, Giải bài tập Vật Lí 10, Giải bài tập Hóa 10 nâng cao, .... được biên soạn và đăng tải chi tiết.