Bài tập Lực ma sát dạng 4
Chuyên đề Động lực học chất điểm
Bài tập Lực ma sát dạng 4 thuộc chuyên đề Vật lý 10 bao gồm phương pháp giải cùng các bài tập vận dụng về tính vận tốc của vật ở chân mặt phẳng nghiêng có ma sát, hỗ trợ học sinh ôn luyện môn Lý 10.
Dạng 4: Tính vận tốc của vật ở chân mặt phẳng nghiêng có ma sát
A. Phương pháp & Ví dụ

- Vật đang đứng yên trên mặt phẳng nghiêng: a = 0
⇒ Fmsn = P1 = mgsinα
- Điều kiện để vật trượt xuống: a > 0
P1 > Fms ⇒ mgsinα > μmgcosα
⇒ μ < tanα
Áp dụng định luật II Newton và chiếu lên chiều dường: P1 – Fms = ma
+ Khi đó, vật trượt xuống với gia tốc

+ Vận tốc của vật ở chân mặt phẳng nghiêng:

Bài tập vận dụng
Bài 1: Vật đặt trên định dốc dài 165 m, hệ số ma sát μ = 0,2, góc nghiêng dốc là α
a. Với giá trị nào của α thì vật nằm yên không trượt?
b. Cho α = 30°. Tìm thời gian vật xuống dốc và vận tốc vật ở chân dốc
Cho tan11° = 0,2; cos30° = 0,85
Hướng dẫn:
a. Để vật nằm yên không trượt:
tanα ≤ μ ⇒ α ≤ 11°
b. Vật trượt xuống dốc:
a = gsinα - μgcosα
= 10.sin30° - 0,2.10.cos30° = 3,3 m/s2
v = 33 m/s

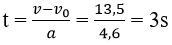
Bài 2: Vật trượt từ đỉnh mặt phẳng nghiêng có hệ số ma sát μ = 0,05 dài 10 m, góc nghiêng α = 30°. Hỏi vật tiếp tục chuyển động trên mặt phẳng ngang bao lâu kể từ khi xuống hết mặt phẳng nghiêng? Biết hệ số ma sát với mặt phẳng ngang là μ1 = 0,1
Hướng dẫn:
- Gia tốc của vật khi trượt trên mặt phẳng nghiêng: a = gsinα - μgcosα
= 10.sin30° - 0,05.10.cos30°
= 4,6 m/s2
- Vận tốc của vật ở chân mặt phẳng nghiêng:

- Gia tốc của vật trên mặt phẳng ngang:

- Thời gian vật đi trên mặt phẳng ngang đến khi dừng lại là:

Bài 3: Vật đặt trên đỉnh dốc dài 100 m, hệ số ma sát 0,1; góc nghiêng dốc là 30°. Tìm vận tốc vật ở chân mặt phẳng nghiêng
Hướng dẫn:

Bài 4: Vật khối lượng m = 100kg sẽ chuyển động đều đi lên trên mặt phẳng nghiêng độ cao h = 10 m góc α = 30°, khi chịu tác dụng của lực kéo F = 600 N dọc theo mặt phẳng nghiêng. Hỏi khi thả vật từ đỉnh mặt phẳng nghiêng, nó chuyển động xuống dưới chân mặt phẳng nghiêng với vận tốc bao nhiêu? Coi ma sát là đáng kể
Hướng dẫn:
- Khi vật trượt đều, các lực tác dụng lên vật cân bằng
⇒ N = P2 = mgcosα
Và F = Fms + P1
⇒ F = μmgcosα + mgsinα
600 = (μ.cos30° + sin30°)100.10
⇒ μ = 0,12
- Khi thả vật, vật trượt xuống với gia tốc: a = g(sinα - μcosα)
= 10(sin30° - 0,12.cos30°) = 4 m/s2

Bài 5: Do có vận tốc đầu, vật trượt lên rồi sau đó trượt xuống trên mặt phẳng nghiêng góc nghiêng α = 15°. Tìm hệ số ma sát μ biết thời gian đi xuống gấp 2 lần thời gian đi lên
Hướng dẫn:
- Khi vật trượt lên (chọn chiều dương hướng lên), chuyển động của vật là chuyển động chậm dần đều với gia tốc

+ Thời gian vật trượt lên là:

+ Quãng đường vật trượt lên là:

- Khi vật trượt xuống: a2 = g(sinα - μcosα)
+ Thời gian vật trượt xuống:


B. Bài tập trắc nghiệm
Câu 1: Vật đặt trên đỉnh dốc dài 300 m, hệ số ma sát 0,2; góc nghiêng dốc là 20°. Vận tốc vật ở chân mặt phẳng nghiêng là:
A. 30 m/s
B. 30,4 m/s
C. 34 m/s
D. 34,2 m/s

Câu 2: Một vật trượt có ma sát trên một mặt tiếp xúc nằm ngang. Nếu diện tích tiếp xúc của vật đó giảm 2 lần thì độ lớn lực ma sát trượt giữa vật và mặt tiếp xúc sẽ:
A. giảm 2 lần.
B. tăng 2 lần.
C. giảm 6 lần.
D. không thay đổi
Chọn D
Câu 3: Nêu đặc điểm của lực ma sát trượt?
A. Xuất hiện ở mặt tiếp xúc của vật đang trượt trên một bề mặt
B. Có hướng ngược hướng của vận tốc
C. Có độ lớn tỉ lệ với độ lớn của áp lực, không phụ thuộc vào diện tích tiếp xúc và tốc độ của vật
D. Tất cả đều đúng
Chọn D
Câu 4: Công thức tính vận tốc vật ở chân mặt phẳng nghiêng khi vật chuyển động xuống là:

Chọn A
Câu 5: Vật đặt trên đỉnh dốc có hệ số ma sát 0,05; góc nghiêng dốc là 30°. Gia tốc của vật là:
A. 4 m/s2
B. 5. m/s2
C. 4,6 m/s2
D. 5,4 m/s2
a = gsinα - μgcosα = 10.sin30 - 0,05.10.cos30 = 4,6 m/s2
Câu 6: Chọn câu đúng. Chiều của lực ma sát nghỉ:
A. ngược chiều với vận tốc của vật.
B. ngược chiều với gia tốc của vật.
C. tiếp tuyến với mặt tiếp xúc.
D. vuông góc với mặt tiếp xúc
Chọn C
Câu 7: Chọn phát biểu đúng:
A. Lực ma sát trượt phụ thuộc diện tích mặt tiếp xúc
B. Khi một vật chịu tác dụng của lực F mà vẫn đứng yên thì lực ma sát nghỉ lớn hơn ngoại lực
C. Lực ma sát trượt phụ thuộc vào tính chất của các mặt tiếp xúc
D. Vật nằm yên trên mặt sàn nằm ngang vì trọng lực và lực ma sát nghỉ tác dụng lên vật cân bằng nhau
Chọn C
Câu 8: Vật nằm yên trên đỉnh dốc có hệ số ma sát μ = 0,5. Với góc nghiêng dốc là bao nhiêu thì vật bắt đầu chuyển động?
A. 26°
B. 30°
C. 20°
D. 14°
Để vật trượt khỏi mặt phẳng nghiêng:
tanα > μ = 0,5 ⇒ α > 26,56°
⇒ Chỉ có phương án B thỏa mãn
Câu 9: Một vật trượt có ma sát trên một mặt tiếp xúc nằm ngang. Nếu khối lượng của vật đó giảm 2 lần thì hệ số ma sát trượt giữa vật và mặt tiếp xúc sẽ:
A. tăng 2 lần
B. tăng 4 lần
C. giảm 2 lần
D. không đổi
Chọn D
Câu 10: Vật đặt trên đỉnh dốc có hệ số ma sát 0,05; góc nghiêng dốc là 30°. Tìm thời gian vật đi hết dốc biết dốc có độ cao 10 m
A. 10s
B. 6s
C. 4s
D. 3s
Gia tốc của vật là: a = gsinα - μgcosα = 10.sin30° - 0,05.10.cos30° = 4,6 m/s2
Vận tốc của vật:
Thời gian vật đi hết dốc:

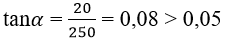
Câu 11: Vật đặt trên đỉnh dốc có hệ số ma sát 0,05. Dốc có độ cao h = 20 m, chiều dài 250 m. Vật có tự trượt xuống dốc không? Nếu có, tìm gia tốc của vật trên đoạn dốc
A. Vật không trượt trên dốc
B. Vật trượt trên dốc với a = 5 m/s2
C. Vật trượt trên dốc với a = 0,37 m/s2
D. Vật trượt trên dốc với a = 2 m/s2
Ta có: 
⇒ vật tự trượt trên đoạn dốc ⇒ α = 5°
Gia tốc của vật: a = gsinα - μgcosα = 10.sin5° - 0,05.10.cos5° = 0,37 m/s2
Câu 12: Lực ma sát nào tồn tại khi vật rắn chuyển động trên bề mặt vật rắn khác ?
A. Ma sát nghỉ
B. Ma sát lăn hoặc ma sát trượt
C. Ma sát lăn
D. Ma sát trượt
Chọn B
Câu 13: Lực nào làm vật đang đứng yên tự trượt trên mặt phẳng nghiêng?
A. Lực ma sát
B. Trọng lực của vật
C. Lực quán tính
D. Lực cản không khí
Chọn B
Câu 14: Chọn câu sai:
A. Lực ma sát trượt chỉ xuất hiện khi có sự trượt tương đối giữa hai vật rắn.
B. Hướng của lực ma sát trượt tiếp tuyến với mặt tiếp xúc và ngược chiều chuyển động tương đối.
C. Viên gạch nằm yên trên mặt phẳng nghiêng chịu tác dụng của lực ma sát nghỉ.
D. Lực ma sát lăn tỉ lệ với lực nén vuông góc với mặt tiếp xúc và hệ số ma sát lăn bằng hệ số ma sát trượt
Chọn D
Câu 15: Chọn phát biểu đúng.
A. Lực ma sát luôn ngăn cản chuyển động của vật.
B. Hệ số ma sát trượt lớn hơn hệ số ma sát nghỉ.
C. Hệ số ma sát trượt phụ thuộc diện tích tiếp xúc.
D. Lực ma sát xuất hiện thành từng cặp trực đối đặt vào hai vật tiếp xúc.
Chọn A
Mời bạn tham khảo
- Làm online: Bài tập Lực ma sát dạng 4
- Bài tập Lực ma sát dạng 1
- Bài tập Lực ma sát dạng 2
- Bài tập Lực ma sát dạng 3
- Bài tập Lực hướng tâm dạng 1
Để có kết quả cao hơn trong học tập, VnDoc xin giới thiệu tới các bạn học sinh tài liệu Trắc nghiệm Vật lý 10, Giải bài tập Vật Lí 10, Giải bài tập Hóa 10 nâng cao, .... được biên soạn và đăng tải chi tiết.