Bài tập Các định luật bảo toàn dạng 5
Chương Các định luật bảo toàn
Bài tập Các định luật bảo toàn dạng 5 thuộc chuyên đề Vật lý 10 do VnDoc biên soạn kỹ lưỡng và đăng tải nhằm hỗ trợ học sinh trong quá trình ôn luyện nâng cao kết quả học môn Lý 10.
Dạng 5: Cơ năng – Định luật bảo toàn cơ năng
A. Phương pháp & Ví dụ
- Cơ năng của vật: W = Wđ + Wt = (1/2) mv2 + mgh.
- Cơ năng của vật được bảo toàn khi vật chuyển động trong trường lực thế (lực đàn hồi, trọng lực) và không có lực ma sát, lực cản:
Wđ1 + Wt1 = Wđ2 + Wt2
Bài tập vận dụng
Bài 1: Một vật được ném thẳng đứng lên cao với vận tốc là 20 m/s từ độ cao h so với mặt đất. Khi chạm đất vận tốc của vật là 30 m/s, bỏ qua sức cản không khí. Lấy g = 10 m/s2. Hãy tính:
a. Độ cao h.
b. Độ cao cực đại mà vật đạt được so với mặt đất.
c. Vận tốc của vật khi động năng bằng 3 lần thế năng.
Hướng dẫn:

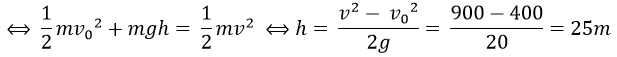
a. Chọn góc thế năng tại mặt đất (tại B).
+ Cơ năng tại O (tại vị trí ném vật): W (O) =
+ mgh
Cơ năn tại B (tại mặt đất): 
Theo định luật bảo toàn cơ năng: W (O) = W (B).

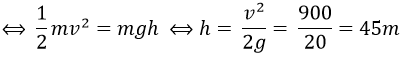
b. Độ cao cực đại mà vật đạt được so với mặt đất.
Gọi A là độ cao cực đai mà vật đạt tới.
+ Cơ năng tại A: W (A) = mgh.
+ Cơ năng tại B: W (B) = (1/2) mv2.
Theo định luật bảo toàn cơ năng: W (A) = W (B)

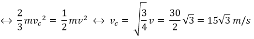
c. Gọi C là điểm mà Wđ(C) = 3Wt(C).
Cơ năng tại C:
W (C) = Wđ (C) + Wt (C)
= 
Theo định luật bảo toàn cơ năng: W(C) = W(B).

Bài 2: Từ độ cao 10 m, một vật được ném thẳng đứng lên cao với vận tốc 10 m/s, lấy g = 10 m/s2.
a. Tìm độ cao cực đại mà vật đạt được so với mặt đất.
b. Ở vị trí nào thì Wđ = 3 Wt.
c. Xác định vận tốc của vật khi Wđ = Wt.
d. Xác định vận tốc của vật trước khi chạm đất.
Hướng dẫn:

Chọn gốc thế năng tại mặt đất.
a. Cơ năng tại O: W(O) = (1/2) m v02 + mgh.
Cơ năng tại : W(A) = mgh.
Theo định luật bảo toàn cơ năng: W(O) = W(A).

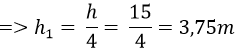
b) Tính h1 để: Wđ1 = 3 Wt3.
Gọi C là điểm có Wđ1 = 3 Wt3 .
Cơ năng tại C: W(C) = 4 Wt1 = 4 mgh1.
Theo định luật bảo toàn cơ năng:
W(C) = W(A)

c. Tìm v2 để Wđ2 = Wt2.
Gọi D là điểm có Wđ2 = Wt2.
Cơ năng tại D: W(D) = 2 Wđ2 = m v22
Theo định luật bảo toàn cơ năng: W (D) = W (A).

d. Cơ năng tại B: W (B) = (1/2) mv2.

Bài 3: Một hòn bi có khối lượng 20 g được ném thẳng đứng lên cao với vận tốc 4m/s từ độ cao 1,6 m so với mặt đất.
a. Tính trong hệ quy chiếu mặt đất các giá trị động năng, thế năng và cơ năng của hòn bi tại lúc ném vật.
b. Tìm độ cao cực đại mà bi đạt được.
c. Tìm vị trí hòn bi có thế năng bằng động năng.
d. Nếu có lực cản 5N tác dụng thì độ cao cực đại mà vật lên được là bao nhiêu?
Hướng dẫn:
a. Chọn gốc thế năng tại mặt đất.
Động năng tại lúc ném vật: Wđ = (1/2) mv2 = 0,16 J.
Thế năng tại lúc ném vật: Wt = mgh = 0,31 J.
Cơ năng của hòn bi tại lúc ném vật: W = Wđ + Wt = 0,47 J.
b. Gọi điểm B là điểm mà hòn bi đạt được.
Áp dụng định luật bảo toàn cơ năng: WA = WB ⇔ hmax = 2,42 m.
c. 2 Wt = W ⇔ h = 1,175 m.
d. Acản = W'- W ⇔ Fc ( h'- h )= mgh' ⇔ 
Bài 4: Một vật có khối lượng m = 1kg trượt từ đỉnh của mặt phẳng nghiêng cao 1 m, dài 10 m. Lấy g = 9,8 m/s2, hệ số ma sát μ = 0,05.
a. Tính vận tốc của vật tại cân mặt phẳng nghiêng.
b. Tính quãng đường mà vật đi thêm được cho đến khi dừng hẳn trên mặt phẳng ngang.
Hướng dẫn:

a. Cơ năng tại A: WA = mgh = 9,8 (J).
Trong khi vật chuyển động từ A đến B, tại B cơ năng chuyển hóa thành động năng tại B và công để thắng lực ma sát
⇒ Áp dụng định luật bảo toàn chuyển hóa năng lượng:

⇔ vB = 3,1 m/s.
b. Tại điểm C vật dừng lại thì toàn bộ động năng tại B đã chuyển thành năng lượng để thắng lực ma sát trên đoạn BC.
Do đó:
Wđ(B)= |ABC| = μ.mg.BC ⇔ BC = 10 m.
Bài 5: Từ điểm A của một mặt bàn phẳng nghiêng, người ta thả một vật có khối lượng m = 0,2 kg trượt không ma sát với vận tốc ban đầu bằng 0 rơi xuống đất. Cho AB = 50 cm, BC = 100 cm, AD = 130 cm, g = 10 m/s2 (hình vẽ). Bỏ qua lực cản không khí.
a. Tính vận tốc của vật tại điểm B và điểm chạm đất E.
b. Chứng minh rẳng quỹ đạo của vật là một parabol. Vật rơi cách chân bàn một đoạn CE là bao nhiêu?
c. Khi rơi xuống đất, vật ngập sâu vào đất 2cm. Tính lực cản trung bình của đất lên vật.
Hướng dẫn:

a. Vì bỏ qua ma sát nên cơ năng của vật được bảo toàn. Cơ năng của vật tại A là:
WA = m.g.AD
Cơ năng của vật tại B: WB = (1/2) m.vb2 + m.g.BC.
Vì cơ năng được bảo toàn nên: WA = WB.
⇔ m.g.AD = (1/2) mvB2 + m.g.BC ⇔ vB = √6 = 2,45 m/s.
Tương tự áp dụng định luật bảo toàn cơ năng tại A và E ta tính được:
vE = 5,1 m/s.
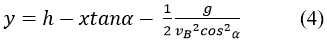
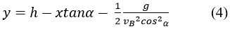
b. Chọn hệ quy chiếu (hình vẽ). Khi vật rơi khỏi B, vận tốc ban đầu vB hợp với phương ngang một góc α. Xét tam giác ABH có:

Phương trình chuyển động theo các trục x và y là:
x = vB cosα.t (2)
y = h - vB sinα.t - (1/2) gt2 (3)
Từ (2) và (3) ta rút ra được:

Đây chính là phương trình của một parabol có bề lõm quay xuống dưới. Vậy quỹ đạo cảu vật sau khi dời bàn là một parabol.
Từ (1): 
Khi vật chạm đất tại E thì y = 0. Thay giá trị của y và v_B vào phương trình (4), ta thu được phương trình: 13x2 + 0,75x - 1 = 0 (5)
Giải phương trình (5) thu được x = 0,635 m. Vậy vật rơi cách chân bàn một đoạn CE = 0,635 m.
c. Sau khi ngập sâu vào đất 2 cm vật đứng yên. Độ giảm động năng gần đúng bằng công cản.
Gọi lực cản trung bình là F, ta có:
WE - 0 = F.s ⇔ F = WE/s = 130 N.
B. Bài tập trắc nghiệm
Câu 1: Cơ năng đàn hồi của hệ vật và lò xo:
A. bằng động năng của vật.
B. bằng tổng động năng của vật và thế năng đàn hồi của lò xo.
C. bằng thế năng đàn hồi của lò xo.
D. bằng động năng của vật và cũng bằng thế năng đàn hồi của lò xo.
Chọn B
Câu 2: Chọn đáp án đúng: Cơ năng là:
A. Một đại lượng vô hướng có giá trị đại số
B. Một đại lượng véc tơ
C. Một đại lượng vô hướng luôn luôn dương
D. Một đại lượng vô hướng luôn dương hoặc có thể bằng 0
Chọn D
Câu 3: Cơ năng là đại lượng:
A. Vô hướng, có thể dương, âm hoặc bằng không
B. Vô hướng, có thể dương hoặc bằng không
C. Véc tơ, độ lớn có thể âm, dương hoặc bằng không
D. Véc tơ, độ lớn có thể dương hoặc bằng không
Chọn D
Câu 4: Trong quá trình rơi tự do của một vật thì:
A. Động năng tăng, thế năng giảm
B. Động năng tăng, thế năng tăng
C. Động năng giảm, thế năng giảm
D. Động năng giảm, thế năng tăng
Chọn A
Câu 5: Một vật được ném thẳng đứng từ dưới lên, trong quá trình chuyển động của vật thì:
A. Động năng giảm, thế năng giảm
B. Động năng giảm, thế năng tăng
C. Động năng tăng, thế năng giảm
D. Động năng tăng, thế năng tăng
Chọn B
Câu 6: Cơ năng đàn hồi là một đại lượng
A. Có thể dương, âm hoặc bằng không.
B. Luôn luôn khác không.
C. Luôn luôn dương.
D. Luôn luôn dương hoặc bằng không.
Chọn D
Câu 7: Một vật nhỏ được ném lên từ một điểm M phía trên mặt đất, vật lên tới điểm N thì dừng và rơi xuống. Bỏ qua sức cản không khí. Trong quá trình MN thì:
A. Động năng tăng
B. Thế năng giảm
C. Cơ năng cực đại tại N
D. Cơ năng không đổi
Chọn D
Câu 8: So sánh không đúng giữa thế năng hấp dẫn với thế năng đàn hồi
A. Cùng là một dạng năng lượng
B. Đều là đại lượng vô hướng, có thể dương, âm hoặc bằng không
C. Đều phụ thuộc vào điểm đầu và điểm cuối
D. Có dạng biểu thức khác nhau
Chọn C
Câu 9: Điều nào sau đây là sai khi nói về cơ năng?
A. Cơ năng bằng tổng động năng và thế năng.
B. Cơ năng của vật được bảo toàn khi vật chỉ chịu tác dụng của trọng lực hoặc lực đàn hồi.
C. Cơ năng của vật có thể dương.
D. Cơ năng của vật là đại lượng véc tơ.
Chọn D
Câu 10: Một vật nhỏ được ném thẳng đứng hướng xuống từ một điểm phía trên mặt đất. Trong quá trình vật rơi:
A. Cơ năng không đổi
B. Cơ năng cực tiểu ngay trước khi chạm đất
C. Thế năng tăng
D. Động năng giảm
Chọn A
Câu 11: Cơ năng của một vật có khối lượng 2kg rơi từ độ cao 5m xuống mặt đất là:
A. 10 J
B. 100 J
C. 5 J
D. 50 J
Vì cơ năng của hệ được bảo toàn nên cơ năng bằng thế năng lúc ban đầu, hay:
W = W( t = 0 ) = Wđ + Wt = mgh = 100 J.
Câu 12: Một vật được ném thẳng đứng lên cao với vận tốc 6 m/s. Lấy g = 10 m/s2. Tính độ cao cực đại của nó.
A. h = 1,8 m.
B. h = 3,6 m.
C. h = 2,4 m
D. h = 6 m
Khi vật lên đến độc cao cực đại thì v = 0.
Định luật bảo toàn cơ năng cho 2 vị trí bắt đâu ném vật và độ cao cực đại:
W1 = W2 ⇔ Wđ1 + Wt1 = Wđ2 + Wt2.

Câu 13: Một vật m trượt không vận tốc ban đầu từ đỉnh xuống chân một mặt phẳng nghiêng có chiều dài 5 m, và nghiêng một góc 30° so với mặt phẳng ngang. Lực ma sát giữa vật và mặt phẳng nghiêng có độ lớn bằng một phần tư trọng lượng của vật. Lấy g = 10 m/s2. Vận tốc của vật ở chân mặt phẳng nghiêng có độ lớn là
A. 4.5 m/s.
B. 5 m/s.
C. 3,25 m/s.
D. 4 m/s.
Áp định lí biến thiên động năng cho 2 vị trí vật bắt đầu chuyển động và khi vật dừng lại, ta có:

Câu 14: Một vật nhỏ m thả không vận tốc ban đầu từ H trượt không ma sát theo mặt uốn như hình vẽ. Để vật có thể trượt tới điểm P trên vành tròn thì phải thỏa mãn điều kiện nào sau đây?

A. Vận tốc của vật tại P: vP ≠ 0.
B. Phản lực của vành tròn tại P: NP >0.
C. NP < mg.
D. NP = 0.
Chọn B
Câu 15: Một vận động viên nặng 650 N nhảy với vận tốc ban đầu v0 = 2 m/s từ cầu nhảy ở độ cao 10 m xuống nước theo hướng thẳng đứng xuống dưới. Lấy g = 10 m/s2, sau khi chạm nước người đó chuyển động thêm một độ dời 3 m trong nước theo phương thẳng đứng thì dừng. Độ biến thiên cơ năng của người đó là:
A. – 8580 J
B. – 7850 J
C. – 5850 J
D. – 6850 J
Chọn gốc thế năng tại mặt phân cách giữa nước và không khí.
Cơ năng của người lúc bắt đầu nhảy là:
Wtrước = mgh + (1/2) m.v02 = 6630 J.
Tại vị trí dừng lại, có tọa độ là h’ = -3 m.
Cơ năng lúc người đó dừng lại là:
Wsau = - mgh' = -1950 J
Độ biến thiên cơ năng: ΔW = Wsau - Wtrước = - 8580 J.
Mời bạn làm thêm
- Làm online: Bài tập Các định luật bảo toàn dạng 5
- Bài tập Các định luật bảo toàn dạng 4
- Bài tập Các định luật bảo toàn dạng 3
- Bài tập Các định luật bảo toàn dạng 2
- Bài tập Các định luật bảo toàn dạng 1
- Bài tập Chất khí dạng 1
Để có kết quả cao hơn trong học tập, VnDoc xin giới thiệu tới các bạn học sinh tài liệu Trắc nghiệm Vật lý 10, Giải bài tập Vật Lí 10, Giải bài tập Hóa 10 nâng cao, .... được biên soạn và đăng tải chi tiết.