Bài tập Lực hấp dẫn dạng 2
Chuyên đề Động lực học chất điểm
Bài tập Lực hấp dẫn dạng 2 vừa được VnDoc.com sưu tầm và xin gửi tới bạn đọc cùng tham khảo. Bài viết giúp học sinh nắm vững chuyên đề Vật lý 10, nâng cao kết quả học tập của bản thân trong môn Lý 10. Mời các bạn cùng tham khảo chi tiết và tải về bài viết dưới đây nhé.
Dạng 2: Tính trọng lượng của vật thay đổi theo độ cao
A. Phương pháp & Ví dụ
Trọng lượng:
\(P=G\frac{mM}{\left(R+h\right)^2}\)
Trong đó, m là khối lượng của vật, h là độ cao của vật so với mặt đất, M và R là khối lượng và bán kính của Trái Đất
- Gia tốc rơi tự do của vật:
+ ở độ cao h: 
+ ở gần mặt đất 
Bài tập vận dụng
Bài 1: Cho biết Trái Đất có khối lượng là M = 6.1024 kg, bán kính 6400 km, khối lượng của một tảng đá nằm trên mặt đất là m = 2,3 kg. Hỏi tảng đá hút Trái Đất với một lực bằng bao nhiêu?
Hướng dẫn:
Gia tốc rơi tự do ở sát mặt đất là:
\(g=\frac{G.M}{R^2}=\frac{6,67.10^{-11}.6.10^{24}}{\left(64.10^5\right)^2}=9,77 m/s^2\)
Lực hút giữa tảng đá với Trái Đất là: F = P = mg (định luật III Newton)
⇒ F = 2,3. 9,77 = 22,5 N
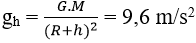
Bài 2: Tính độ cao mà ở đó gia tốc rơi tự do là 9,6 m/s2. Biết bán kính Trái Đất là 6400 km, và gia tốc rơi tự do ở sát mặt đất là 2,8 m/s2
Hướng dẫn:
Gia tốc rơi tự do ở độ cao h: 
Gia tốc rơi tự do ở sát mặt đất: 

Bài 3: Ở độ cao nào so với mặt đất thì gia tốc rơi tự do bằng một nửa gia tốc rơi tự do ở mặt đất ? Cho bán kính trái đất là R = 6400 km
Hướng dẫn:
Gia tốc rơi tự do ở độ cao h: 
Gia tốc rơi tự do ở sát mặt đất: 

Bài 4: Tính trọng lượng của một nhà du hành vũ trụ có khối lượng 75 kg khi người đó ở
a. trên Trái Đất (g = 9,8 m/s2).
b. trên Mặt Trăng (g = 1,7 m/s2).
c. trên Kim tinh (g = 8,7 m/s2).
Hướng dẫn:
a. Trọng lượng của một nhà du hành vũ trụ khi ở trên Trái Đất là:
P = mg = 75. 9,8 = 735 N
b. Trọng lượng của một nhà du hành vũ trụ khi ở trên Mặt Trăng là:
P = mg = 75.1,7 = 127,5 N
c. Trọng lượng của một nhà du hành vũ trụ khi ở trên Kim tinh là:
P = mg = 75. 8,7 = 652,5 N
Bài 5: Một vật khối lượng 1 kg, ở trên mặt đất có trọng lượng 10 N. Khi chuyển động tới một điểm cách tâm Trái Đất 2R (R là bán kính Trái Đất) thì nó có trọng lượng bằng bao nhiêu?
Hướng dẫn:
Khi chuyển động tới một điểm cách tâm Trái Đất 2R ⇒ h = R
Mà ta có tỉ số:
\(\frac{P_h}{P}=\frac{g_h}{g}=\left(\frac{R}{R+h}\right)^2=\frac{1}{4}\ =>P_h=2,5N\)
B. Bài tập trắc nghiệm
Câu 1: Hai xe tải giống nhau, mỗi xe có khối lượng 2,0.104 kg, ở cách xa nhau 40 m. Hỏi lực hấp dẫn giữa chúng bằng bao nhiêu phần trọng lượng P của mỗi xe? Lấy g = 9,8 m/s2.
A. 34.10-10 P.
B. 34.10-8 P.
C. 85.10-8 P.
D. 85.10-12 P

Câu 2: Phát biểu nào sau đây là đúng.
A. Càng lên cao thì gia tốc rơi tự do càng nhỏ.
B. Để xác định trọng lực tác dụng lên vật người ta dùng lực kế.
C. Trọng lực tác dụng lên vật tỉ lệ với trọng lượng của vật.
D. Trọng lượng của vật không phụ thuộc vào trạng thái chuyển động của vật đó.
Chọn A
Câu 3: Với các quy ước thông thường trong SGK, gia tốc rơi tự do của một vật ở gần mặt đất được tính bởi công thức:

Chọn A
Câu 4: Hai tàu thủy, mỗi chiếc có khối lượng 50000 tấn ở cách nhau 1 km. So sánh lực hấp dẫn giữa chúng với trọng lượng của một quả cân có khối lượng 20g. Lấy g = 10m/s2
A. Nhỏ hơn
B. Bằng nhau
C. Lớn hơn
D. Chưa thể biết

Câu 5: Chỉ ra kết luận sai trong các kết luận sau đây:
A. Trọng lực của một vật được xem gần đúng là lực hút của Trái Đất tác dụng lên vật đó.
B. Trọng lực có chiều hướng về phía Trái Đất.
C. Trọng lực của một vật giảm khi đưa vật lên cao hoặc đưa vật từ cực bắc trở về xích đạo.
D. Trên Mặt Trăng, nhà du hành vũ trụ có thể nhảy lên rất cao so với khi nhảy ở Trái Đất vì ở đó khối lượng và trọng lượng của nhà du hành giảm.
Câu 6: Một vật ở trên mặt đất có trọng lượng 6 N. Khi ở một điểm cách bề mặt Trái Đất một khoảng 2R (R là bán kính Trái Đất) thì nó có trọng lượng bằng bao nhiêu? Lấy gia tốc rơi tự do ở sát mặt đất g = 10 m/s2
A. 4 N
B. 0,4 N
C. 40 N
D. 6 N
Trọng lượng vật khi ở sát mặt đất: P1 = mg ⇒ m = 6/10 = 0,6 kg
Đồng thời 
Khi ở vị trí cách bề mặt Trái Đất 2R: 
\(=>\frac{P_2}{P_1}=\frac{m}{9}=>P_2=\frac{6.0,6}{9}=0,4N\)
Câu 7: Với các ký hiệu như SGK, khối lượng M của Trái Đất được tính theo công thức:

Chọn A
Câu 8: Một vật ở trên mặt đất có trọng lượng 10 N. Khi chuyển vật tới một điểm cách tâm Trái Đất 2R (R là bán kính Trái Đất) thì có trọng lượng bằng:
A. 10 N
B. 5 N
C. 2,5 N
D. 1 N
Trọng lượng của vật khi ở mặt đất: 
Trọng lượng của vật khi ở cách tâm Trái Đất một khoảng là 2R: 

Câu 9: Câu nào đúng? Một người có trọng lực 500 N đứng yên trên mặt đất. Lực mà đất tác dụng lên người đó có độ lớn:
A. nhỏ hơn 500 N
B. bằng 500 N
C. lớn hơn 500 N
D. phụ thuộc nơi mà người đó đứng trên Trái Đất
Câu 10: Một vật có khối lượng 2 kg. Nếu đặt vật trên mặt đất thì nó có trọng lượng là 20 N. Biết Trái Đất có bán kính R, để vật có trọng lượng là 5 N thì phải đặt vật ở độ cao h so với tâm Trái Đất là:
A. R
B. 2R
C. 3R
D. 4R
Trọng lượng của vật khi ở mặt đất: 
Trọng lượng của vật khi ở cách tâm Trái Đất một khoảng là 2R: 

Câu 11: Gia tốc rơi tự do của vật càng lên cao thì:
A. càng tăng
B. càng giảm
C. giảm rồi tăng
D. không thay đổi
Câu 12: Một vật có khối lượng 8 kg trượt xuống một mặt phẳng nghiêng nhẵn với gia tốc 2 m/s2. Lực gây ra gia tốc này bằng bao nhiêu? So sánh độ lớn của lực này với trọng lực của vật. Lấy g = 10 m/s2
A. 1,6 N; nhỏ hơn
B. 4 N; lớn hơn
C. 16 N; nhỏ hơn
D. 160 N; lớn hơn
Lực làm vật dịch chuyển: F = ma = 8.2 = 16 N
Trọng lực tác dụng lên vật có độ lớn: P = 8.10 = 80 N
⇒ F < P
Câu 13: Tìm lực căng T của dây khi buộc một vật có trọng lượng là 10 N di chuyển lên trên với vận tốc không đổi?
A. 3,5 N
B. 5,0 N
C. 7,1 N
D. 10 N
Vật di chuyển lên trên với vận tốc không đổi ⇒ P = T = 10 N
Câu 14: Gia tốc tự do ở bề mặt Mặt Trăng là go và bán kính Mặt trăng là 1740 km. Ở độ cao h = 3480 km so với bề mặt Mặt Trăng thì gia tốc rơi tự do bằng:
A. go/9
B. go/3
C. 3go
D. 9go
Gia tốc rơi tự do trên bề mặt Mặt Trăng: 
Gia tốc rơi tự do ở độ cao h = 2R so với bề mặt Mặt Trăng: 

Câu 15: Tỉ số giữa trọng lượng của nhà du hành trong con tàu vũ trụ đang bay quanh Trái Đất trên quỹ đạo có bán kính 2R (R là bán kính Trái Đất) và trọng lượng của người ấy khi còn ở mặt đất bằng:
A. 1
B. 2
C. 1/ 2
D. 1/ 4
Trọng lượng của vật khi ở mặt đất: 
Trọng lượng của vật khi ở trên tàu vũ trụ cách tâm Trái Đất một khoảng h:

Mời bạn tham khảo
- Làm online: Bài tập Lực hấp dẫn dạng 2
- Bài tập Lực hấp dẫn dạng 1
- Bài tập Lực đàn hồi
- Bài tập Các định luật Newton dạng 2
Trên đây VnDoc.com vừa gửi tới bạn đọc bài viết Bài tập Lực hấp dẫn dạng 2. Chắc hẳn qua bài viết bạn đọc đã nắm được những ý chính cũng như trau dồi được nội dung kiến thức của bài học rồi đúng không ạ? Hi vọng đây là tài liệu hữu ích giúp bạn đọ có thể học tập tốt hơn môn Vật lý lớp 12 nhé. Để có kết quả cao hơn trong qúa trình học tập, VnDoc xin giới thiệu tới các bạn học sinh tài liệu Trắc nghiệm Vật lý 10, Giải bài tập Vật Lí 10, Giải bài tập Hóa 10 nâng cao, .... được biên soạn và đăng tải chi tiết.