Bài tập Lực đàn hồi
Chuyên đề Động lực học chất điểm
Bài tập Lực đàn hồi là tài liệu tham khảo hữu ích được VnDoc biên soạn, giúp học sinh nắm vững chuyên đề Vật lý 10, nâng cao kết quả học tập của bản thân trong môn Lý 10.
Tính lực đàn hồi, độ biến dạng của lò xo
A. Phương pháp & Ví dụ
- Công thức định luật Húc:
Fđh = k.| Δl | = k | l - l0 |
Trong đó:
- k : độ cứng của lò xo (N/m)
- Fđh : độ lớn lực đàn hồi (N)
- Δl = l – lo : độ biến dạng của lò xo (m)
- Δl > 0 : lò xo biến dạng giãn
- Δl < 0 : lò xo biến dạng nén
- l0 : chiều dài ban đầu của lò xo (m)
- l : chiều dài của lò xo sau khi biến dạng nén hoặc giãn (m)
+ Khi lò xo treo thẳng đứng, một đầu gắn cố định, đầu còn lại treo vật m, ở trạng thái vật m nằm cân bằng:
Fđh = P ⇒ k.| Δl | = mg
+ Cắt lò xo:
Lò xo có độ cứng k0 chiều dài l0 cắt thành hai lò xo có k1; l1 và k2; l2 thì
k0l0 = k1l1 = k2l2
Hai lò xo ghép song song:
k = k1 + k2
Tương tự với nhiều lò xo ghép song song:
k = k1 + k2 + … + kn
Bài tập vận dụng
Bài 1: Trong giới hạn đàn hồi của một lò xo treo thẳng đứng đầu trên gắn cố định. Treo vật khối lượng 800g thì lò xo dài 24 cm; treo vật khối lượng 600g lò xo dài 23 cm. Lấy g = 10 m/s2. Tính chiều dài của lò xo khi treo vật có khối lượng 1,5 kg
Hướng dẫn:
+ Khi treo vật m1 = 800g = 0,8 kg:
k |l1 - lo| = m1g ⇒ k |0,24 - lo| = 8 (1)
+ Khi treo vật khối lượng m2 = 600g = 0,6 kg
k |l2 - lo| = m2g ⇒ k |0,23 - lo| = 6 (2)
Giải (1) và (2) ⇒ l0 = 20 cm hoặc l0 = 164/7 cm
Vì đầu trên gắn cố định nên khi treo vật vào, lò xo sẽ dãn ⇒ l0 > 23 cm
Vậy l0 = 20 cm = 0,2 m
⇒ k = 200 N/m
+ Khi treo vật m3 = 1,5 kg
k |l3 - lo | = m3g ⇒ 200.(l3 – 20) = 1,5.10 ⇒ l3 = 27,5 cm
Bài 2: Treo vật 200g vào lò xo có một đầu gắn cố định chiều dài 34 cm; treo thêm vật 100g thì lò xo dài 36 cm. Tính chiều dài ban đầu của lò xo và độ cứng của lò xo, lấy g = 10 m/s2
Hướng dẫn:
Vì treo thêm vật nặng mà chiều dài lò xo lớn hơn suy ra đầu trên lò xo gắn cố định và chiều dài ban đầu l0 < 34 cm
+ Khi treo vật có khối lượng m1 = 0,2 kg:
k |l1 - l0| = m1g ⇒ k |0,34 - l0| = 2 (1)
+Khi treo thêm vật có khối lượng m2 = 0,1 kg:
k |l2 - l0| = (m1 + m2 )g ⇒ k |0,36 - l0| = 3 (2)
Giải (1) và (2) ⇒ l0 = 0,3 m hoặc l0 = 0,348 m
Áp dụng điều kiện l0 < 0,34 m ⇒ l0 = 0,3 m và k = 50 N/m
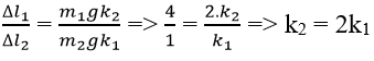
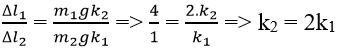
Bài 3: Có hai lò xo: một lò xo giãn 4 cm khi treo vật khối lượng m1 = 2 kg; lò xo kia dãn 1 cm khi treo vật khối lượng m2 = 1 kg. So sánh độ cứng hai lò xo.
Hướng dẫn:

Mà Fđh = P = mg

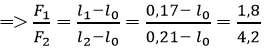
Bài 4: Một lò xo được giữ cố định một đầu. Khi tác dụng vào đầu kia của nó lực kéo F1 = 1,8 N thì nó có chiều dài l1 = 17 cm. Khi lực kéo là F2 = 4,2 N thì nó có chiều dài là l2 = 21 cm. Tính độ cứng và chiều dài tự nhiên của lò xo
Hướng dẫn:
Lực tác dụng vào lò xo là lực kéo suy ra lò xo bị dãn, l > l0. Đồng thời khi lò xo đứng yên thì lực kéo cân bằng với lực đàn hồi
Ta có: F1 = k (l1 – l0)
F2 = k (l2 – l0)

⇒ l0 = 0,14 m
⇒ k = 60 N/m
Bài 5: Một lò xo có chiều dài tự nhiên là l0 = 24 cm, độ cứng k = 100 N/m. Người ta cắt lò xo này thành hai lò xo có chiều dài là l1 = 8 cm, l2 = 16 cm. Tính độ cứng của mỗi lò xo tạo thành
Hướng dẫn:
Lò xo bị cắt: k.l0 = k1l1 = k2l2
⇒ 24.100 = k1.8 = k2.16
⇒ k1 = 300 N/m; k2 = 150 N/m
B. Bài tập trắc nghiệm
Câu 1: Điều nào sau đây là sai khi nói về đặc điểm của lực đàn hồi?
A. Lực đàn hồi xuất hiện khi vật có tính đàn hồi bị biến dạng.
B. Khi độ biến dạng của vật càng lớn thì lực đàn hồi cũng càng lớn, giá trị của lực đàn hồi là không có giới hạn.
C. Lực đàn hồi có độ lớn tỉ lệ với độ biến dạng của vật biến dạng.
D. Lực đàn hồi luôn ngược hướng với biến dạng.
Chọn B
Câu 2: Điều nào sau đây là sai khi nói về phương và độ lớn của lực đàn hồi?
A. Với cùng độ biến dạng như nhau, độ lớn của lực đàn hồi phụ thuộc vào kích thước và bản chất của vật đàn hồi.
B. Với các mặt tiếp xúc bị biến dạng, lực đàn hồi vuông góc với các mặt tiếp xúc.
C. Với các vật như lò xo, dây cao su, thanh dài, lực đàn hồi hướng dọc theo trục của vật.
D. Lực đàn hồi có độ lớn tỉ lệ nghịch với độ biến dạng của vật biến dạng.
Chọn D
Câu 3: Phải treo một vật có khối lượng bằng bao nhiêu vào lò xo có độ cứng K = 100 N/m để lò xo dãn ra được 20cm? Lấy g = 10 m/s2
A. 200 g
B. 2 g
C. 2 kg
D. 20 kg
Fđh = kΔl = mg ⇒ 100. 0,2 = m.10 ⇒ m = 2 kg
Câu 4: Cho lò xo có chiều dài tự nhiên bằng 21 cm. Lò xo được giữ cố định một đầu, còn đầu kia chịu một lực kéo bằng 5,0 N. Khi ấy lò xo dài 25 cm. Hỏi độ cứng của lò xo bằng bao nhiêu?
A. 1,25 N/m
B. 20 N/m
C. 23,8 N/m
D. 125 N/m
F = Fđh = k |l - l0|

Câu 5: Dùng một lò xo để treo một vật có khối lượng 300 g thì thấy lò xo giãn một đoạn 2 cm. Nếu treo thêm một vật có khối lượng 150 g thì độ giãn của lò xo là:
A. 1 cm
B. 2 cm
C. 3 cm
D. 4 cm
mg = kΔl
0,3g = k.0,02
(0,3 + 0,15)g = k.Δl'

Câu 6: Một lò xo khi treo vật m = 100 g sẽ dãn ra 5 cm. Khi treo vật m', lò xo dãn 3 cm. Giá trị m' là:
A. 0,5 kg
B. 6 g
C. 75 g
D. 0,06 kg
mg = kΔl
0,1g = k.0,05
m'g = k.0,03

Câu 7: Một lò xo có độ cứng k. Cắt đôi lò xo thành hai phần bằng nhau thì mỗi nửa có độ cứng là?
A. k
B. 2k
C. k/2
D. k/4
k.l = k1.(l/2) ⇒ k1 = 2k
Câu 8: Một lò xo có chiều dài tự nhiên 15 cm và có độ cứng 100 N/m. Giữ cố định một đầu và tác dụng vào đầu kia một lực 3 N để nén lò xo. Khi đó chiều dài lò xo là?
A. 12 cm
B. 0,2 m
C. 20 cm
D. 10 cm
F = Fđh = k |l - l0|
Mà lò xo bị nén ⇒ l < l0
⇒ 3 = 100.(0,15 – l)
⇒ l = 12 cm
Câu 9: Công thức tính độ lớn lực đàn hồi của lò xo là:
A. Fđh = k( l – l0)
B. Fđh = k( l + l0)
C. Fđh = k |l - l0|
D. Fđh = k |l + l0|
Chọn C
Câu 10: Cho hai lò xo ghép nối tiếp, công thức nào dưới đây đúng:
A. k.l = k1l1 = k2l2

C. k = k1 + k2
D. k = k1 – k2
Chọn B
Câu 11: Một lò xo treo thẳng đứng có độ dài tự nhiên 30 cm. Treo 150g vào đầu dưới lò xo thì thấy lò xo dài 33 cm. Hỏi nếu treo vật 0,1 kg thì lò xo dài bao nhiêu?
A. 30cm
B. 20 cm
C. 23 cm
D. 32 cm
Fđh = P ⇒ mg = k(l – l0)
0,15 g = k (0,33 – 0,3)
0,1 g = k (l2 – 0,3)

Câu 12: Một lò xo có độ dài l = 50 cm, độ cứng k = 50 N/m. Cắt lò xo làm 2 phần có chiều dài lần lượt là l1 = 20 cm, l2 = 10 cm. Tìm độ cứng của mỗi đoạn:
A. 125 N/m, 250 N/m
B. 100 N/m; 200 N/m
C. 250 N/m; 200 N/m
D. 100 N/m; 125 N/m
Chọn A
Câu 13: Một lò xo có chiều dài lo, độ cứng k0 = 100 N/m, cắt lò xo làm 3 đoạn có độ dài tỉ lệ 1:2:3. Xác định độ cứng của mỗi đoạn lần lượt 1, 2, 3 là
A. 200, 400, 600 N/m
B. 100, 200, 300 N/m
C. 200, 300, 400 N/m
D. 600, 300, 200 N/m
l0k0 = l1k1 = l2k2 = l3k3
l1 + l2 + l3 = l0; l1 : l2 : l3 = 1:2:3
Ta có:

Câu 14: Lò xo có độ cứng k1 = 400 N/m, lò xo 2 có độ cứng là k2 = 600 N/m. Hỏi nếu ghép song song 2 lò xo thì độ cứng là bao nhiêu?
A. 100 N/m
B. 1000 N/m
C. 500 N/m
D. 200 N/m
Hai lò xo ghép song song ⇒ k = k1 + k2 = 400 + 600 = 1000 N/m
Câu 15: Lò xo có độ cứng k1 = 400 N/m, lò xo 2 có độ cứng là k2 = 600 N/m. Hỏi nếu ghép nối tiếp 2 lò xo thì độ cứng là bao nhiêu?
A. 200 N/m
B. 250 N/m
C. 240 N/m
D. 300 N/m
Hai lò xo ghép nối tiếp
⇒ k = 240 N/m
Mời bạn tham khảo
- Làm online: Bài tập Lực đàn hồi
- Bài tập Lực hấp dẫn dạng 2
- Bài tập Lực hấp dẫn dạng 1
- Bài tập Chuyển động của vật bị ném dạng 1
Để có kết quả cao hơn trong học tập, VnDoc xin giới thiệu tới các bạn học sinh tài liệu Trắc nghiệm Vật lý 10, Giải bài tập Vật Lí 10, Giải bài tập Hóa 10 nâng cao, .... được biên soạn và đăng tải chi tiết.