Bài tập Lực hướng tâm dạng 3
Chuyên đề Động lực học chất điểm
VnDoc mời các bạn tham khảo chuyên đề Vật lý 10 với bài Bài tập Lực hướng tâm dạng 3, bao gồm phương pháp cũng như bài tập vận dụng tính độ biến dạng của lò xo khi vật chuyển động tròn quanh 1 điểm cố định trong môn Lý 10.
Dạng 3: Tính độ biến dạng của lò xo khi vật chuyển động tròn quanh 1 điểm cố định
A. Phương pháp & Ví dụ
Lực hướng tâm đóng vai trò là lực đàn hồi
Ta áp dụng công thức
Fđh = Fht hoặc Fms = Fht
Bài tập vận dụng
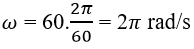
Bài 1: Vật có khối lượng 100g gắn vào đầu lò xo có chiều dài tự nhiên l = 20 cm; k = 20 N/m. Cho hệ lò xo và vật quay đều trên mặt phẳng nằm nghiêng không ma sát v = 60 vòng/phút. Bỏ qua mọi ma sát. Tính độ biến dạng của lò xo.
Hướng dẫn:
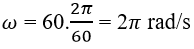
Ta có tốc độ góc:

Lực đàn hồi đóng vai trò lực hướng tâm:
Fđh = Fht
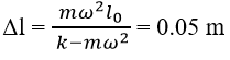
Suy ra: kΔl = m.ω2(l + Δl)
Vậy Δl = 6.3 .10-3 m
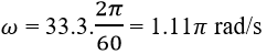
Bài 2: Hệ số ma sát nhỏ giữa đồng xu và mặt bàn là 0.3. Bàn quay quanh một trục cố định với 33.3 vòng/phút. Khoảng cách cực đại giữa trục quay của bàn và đồng xu là bao nhiêu để vật đứng yên? Lấy g = 10 m/s2
Hướng dẫn:
Ta có tốc độ góc 
Để vật có thể đứng yên thì lực ma sát phải cân bằng với lực hướng tâm nên:
Fms = Fht suy ra μmg = m.ω2.R
Vậy R = 0.86 m
Bài 3: Đặt vật có m = 1 kg lên trên một bàn tròn có r = 50 cm. Khi bàn quay đều quanh một trục thẳng đứng qua tâm bàn thì vật quay đều theo bàn với v = 0,8 m/s. Vật cách rìa bàn 10 cm. Lực ma sát nghỉ giữa vật và bàn là bao nhiêu?
Hướng dẫn:
Ta có m = 1 kg
R = 40 cm = 0.4 m
v = 0.8 m/s
Lực ma sát nghỉ đồng thời đóng vai trò làm lực hướng tâm nên ta có:

Bài 4: Một lò xo có độ cứng k, chiều dài tự nhiên l0 một đầu giữ cố định ở A, đầu kia gắn vào quả cầu khối lượng m có thể trượt không ma sát trên thanh Δ nằm ngang. Thanh Δ quay đều với vận tốc góc w xung quanh trục Δ thẳng đứng. Tính độ dãn của lò xo khi l0 = 20 cm; ω = 20 rad/s; m = 10 g; k = 200 N/m
Hướng dẫn:
Các lực tác dụng vào quả cầu: P→; N→; Fđh→
Trong đó P→ + N→ = 0 nên Fđh→ là lực hướng tâm:
k.Δl = m.ω2. (l0 + Δl)
⇒
với k > mω2
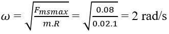
Bài 5: Một vật có khối lượng m = 20g đặt ở mép một góc bàn quay. Hỏi phải quay bàn với tần số vòng lớn nhất bằng bao nhiêu để vật không văng ra khỏi bàn? Biết mặt hình tròn có bán kính 1m và lực ma sát nghỉ cực đại bằng 0.08 N.
Hướng dẫn:
Ta có:
m = 0.02 kg
R = 1 m
Để vật không văng ra khỏi bàn thì lực hướng tâm của vật nhỏ hơn hoặc bằng lực ma sát nghỉ cực đại của vật. Mà fmax nên ωmax suy ra lực hướng tâm max.
Vậy nên: Fmsmax = Fhtmax = mω2R
Suy ra 
Vậy fmax = 1/π Hz
B. Bài tập trắc nghiệm
Câu 1: Chọn câu sai:
A. Vệ tinh nhân tạo chuyển động tròn quanh trái đất là do vệ inh chịu hai lực cân bằng
B. Một vật chuyển động thẳng đều vì các lực tác dụng lên vật cân bằng nhau
C. Vật chịu tác dụng của hai lực cân bằng thì chuyển động thẳng đều nếu vật đang chuyển động
D. Vectơ hợp lực có hướng trùng với hướng của vecto gia tốc vật thu được
Chọn A
Câu 2: Có lực hướng tâm khi:
A. Vật chuyển động thẳng đều
B. Vật đứng yên
C. Vật chuyển động thẳng
D. Vật chuyển động cong
Chọn D
Câu 3: Một vật khối lượng 200 g đặt trên mặt bàn quay và cách trục quay 40 cm. Khi bàn quay với tốc độ 72 vòng/min thì vật vẫn nằm yên so với bàn. Tính độ lớn lực ma sát nghỉ của bàn tác dụng lên vật. (ĐS: 4,55 N)
A. 4 N
B. 5 N
C. 4.55 N
D. 5.44 N
m = 0,2 kg; r = 0,4 m; ω = 72 vòng/phút = 2,4π (rad/s)
Fmsn = Fht = mω2r = 4,55 N
Câu 4: Đoàn tàu chạy qua đường vòng bán kính 560 m. Đường sắt rộng 1,4 m và đường ray ngoài cao hơn đường ray trong 10 cm. Tàu phải chạy với vận tốc bao nhiêu để gờ bánh không nén lên thành ray. Biết với α nhỏ tanα ≈ sinα
A. 20 m/s
B. 20 km/h
C. 72 m/s
D. 72 km/h
Qcosα = P ⇒ Q = P/cosα (1)
Để gờ bánh không nén lên đường ray thì
Qsinα = Fht = mv2/R (2)
từ (1) và (2) ⇒ mg.tanα = mv2/R ⇒ g.tanα = v2/R
tanα ≈ sinα = 10/140 ⇒ v = 20 m/s = 72 km/h
Câu 5: Hai quả cầu m1 = 2 m2 nối với nhau bằng dây dài l = 12 cm có thể chuyển động không ma sát trên một trục nằm ngang qua tâm của hai quả cầu. Cho hệ quay đều quanh trục thẳng đứng. Biết hai quả cầu đứng yên không trượt trên trục ngang. Tìm khoảng cách từ hai quả cầu đến trục quay.
A. r1 = 5 cm; r2 = 8 cm
B. r1 = 4 cm; r2= 8 cm
C. r1 = 4 cm; r2 = 6 cm
D. r1 = 4 cm; r2 = 10 cm
*Lò xo k = 50 N/m, lo = 36 cm treo vật m = 0.2kg có đầu trên cố định. Quay lò xo quanh một trục thẳng đứng qua đầu trên lò xo, m vạch một đường tròn nằm ngang hợp với trục lò xo góc 45°.
Gọi r1; r2 là khoảng cách từ hai quả cầu đến trục quay.
Các quả cầu chuyển động tròn đều quanh trục bán kính khác nhau nhưng vận tốc góc là như nhau, lực căng dây đóng vai trò lực hướng tâm
⇒ m1ω2r1 = m2ω2r2 ⇒ m1r1 = m2r2 (1)
r1 + r2 = l (2)
Từ (1) và (2) ⇒ r1 = 4 cm; r2 = 8 cm
Câu 6: Tính chiều dài của lò xo?
A. 0.416 m
B. 0.173 m
C. 0.238 m
D. 0.127 m
P = Fcos45° ⇒ mg = k.Δlcos45 ⇒ Δl = 0,056m ⇒ l = Δl + lo = 0,416 m
Câu 7: Số vòng quay trong 1 phút?
A. 63.7 vòng/phút
B. 55.8 vòng/giờ
C. 55.8 vòng/phút
D. 63.7 vòng/giờ
Fht = Ptan45° = mω2R = mg ⇒ ω = 5,8404 (rad/s) = 55,8 vòng/phút
Câu 8: Hai lò xo giống hệt nhau k = 250 N/m, lo = 36 cm bố trí như hình vẽ. Hai vật m kích thước nhở có thể trượt không ma sát trên một trục ngang. Quay hệ quanh trục thẳng đứng với tần số n = 2 vòng/s. Cho m = 200g. Tính chiều dài mỗi lò xo
A. l1 = 57 m; l2 = 50 m
B. l1 = 26 cm; l2 = 60 cm
C. l1 = 57 cm; l2 = 50 cm
D. l1 = 26 m; l2 = 60 m
vật 1: F1 – F’2 = ma = mω2(lo + Δl1) (1)
vật 2: F2 = mω2(2lo + Δl1 + Δl2) (2)
Ta có F2 = F’2 = kΔl2; F1 = k.Δl1 ; ω = 2π.n (rad/s);
thay vào (1) ; (2) giải hệ ⇒ Δl1 = 21 cm; Δl2 = 14 cm
⇒ l1 = 57 cn; l2 = 50 cm
Câu 9: Đĩa nằm ngang quay quanh trục thẳng đứng với tần số n = 30 vòng/phút. vật đặt trên mặt đĩa cách trục 20 cm. hệ số ma sát giữa đĩa và vật là bao nhiêu để vật không trượt trên đĩa.
A. μ bằng 0.1
B. μ lớn hơn 0.1
C. μ nhỏ hơn 0.2
D. μ lớn hơn 0.2
r = 0,2 m; ω = 30.2π/60 (rad/s)
Lực ma sát nghỉ đóng vai trò lực hướng tâm
⇒ Fmsn = mω2r; để vật không trượt Fmsn < Fmst = mω2r < μmg
⇒ µ > 0,2
Câu 10: Một đĩa tròn nằm ngang có thể quay quanh một trục thẳng đứng. Vật m = 100g đặt trên đĩa, nối với trục quay bởi một lò xo nằm ngang. Nếu số vòng quay không quá ω1 = 2 vòng/s, lò xo không biến dạng. Nếu số vòng quay tăng chậm đến ω2 = 5 vòng/s lò xo dãn gấp đôi. Tính độ cứng k của lò xo.
A. 182 N/m
B. 232 N/m
C. 419 N/m
D. 336 N/m
ω1 = 2 vòng/s = 4π (rad/s); ω2 = 5 vòng/s = 10π (rad/s)
khi lò xo chưa biến đạng: Fms = Fht = mω1lo
Khi lò xo biến dạng gấp đôi: Fht = Fđh + Fms
⇒ mω22lo = kΔl + m.ω1lo = k(2lo – lo) + mω1lo
⇒ k = m(2ω2 – ω1) = 182 N/m
Câu 11: Chọn câu sai:
A. Khi xe chạy qua cầu cong thì luôn có lực nén trên mặt cầu.
B. Khi ô tô qua khúc quanh thì hợp lực tác dụng có thành phần hướng tâm.
C. Lực hướng tâm giúp ô tô đi qua khúc quanh an toàn.
D. Lực nén của ô tô khi đi qua cầu phẳng luôn cùng hướng với trọng lực.
Chọn C
Câu 12: Ở những đoạn đường vòng mặt đường được nâng lên một bên. Việc làm này nhằm nào kể sau đây?
A. Tạo lực hướng tâm để xe chuyển hướng
B. Tăng lực ma sát để khỏi trượt
C. Giới hạn vận tốc của xe
D. Cho nước mưa thoát dễ dàng
Chọn B
Câu 13: Chọn phát biểu sai
A. Vệ tinh nhân tạo chuyển dộng ròn đều quanh trái đất do lực hấp dẫn đóng vai trò lực hướng tâm
B. Vật nằm nghiêng dưới mặt bàn nằm ngang đang quay đều quanh rục thẳng đứng thì lực ma sát nghỉ đóng vai trò lực hướng tâm
C. Xe chuyển động vào một đoạn đường cong lực đóng vai trò lực hướng tâm là lực ma sát
D. Xe chuyển động trên đỉnh một cầu hình vòng cung thì hợp lực của trọng lực và phản lực vuông góc đóng vai trò lực hướng tâm.
Chọn C
Câu 14: Điều nào sau đây là đúng khi nói về lực tác động lên vật chuyển động tròn đều:
A. Ngoài các lực cơ học vật còn chịu thêm tác dụng của lực hướng tâm.
B. Vật chỉ chịu tác dụng của một vật duy nhất.
C. Hợp lực của tất cả các lực tác dụng lên vật nằm theo phương tiếp tuyến với quỹ đạo.
D. Hợp lực của tất cả các lực tác dụng lên vật đóng vai trò là lực hướng tâm.
Chọn D
Câu 15: Khi vật chuyển động tròn đều thì lực hướng tâm là:
A. Trọng lực tác dụng lên vật
B. Hợp lực của tất cả các lực tác dụng lên vật
C. Trọng lực tác dụng lên vật
D. Lực hấp dẫn
Chọn B
Mời bạn tham khảo
- Làm online: Bài tập Lực hướng tâm dạng 3
- Bài tập Lực hướng tâm dạng 1
- Bài tập Lực hướng tâm dạng 2
- Bài tập Lực ma sát dạng 4
Để có kết quả cao hơn trong học tập, VnDoc xin giới thiệu tới các bạn học sinh tài liệu Trắc nghiệm Vật lý 10, Giải bài tập Vật Lí 10, Giải bài tập Hóa 10 nâng cao, .... được biên soạn và đăng tải chi tiết.