Lý thuyết tổng hợp chương Cân bằng và chuyển động của vật rắn
Chương Cân bằng và chuyển động của vật rắn
VnDoc mời các bạn cùng tham khảo bài Lý thuyết tổng hợp chương Cân bằng và chuyển động của vật rắn thuộc chuyên đề Vật lý 10 với những kiến thức trọng tâm của cả chương nhằm hỗ trợ học tập môn Lý 10.
Lý thuyết tổng hợp chương Cân bằng và chuyển động của vật rắn
TÓM TẮT LÍ THUYẾT
I. CÂN BẰNG CỦA VẬT RẮN
1. Các quy tắc hợp lực
a) Quy tắc tổng hợp hai lực có giá đồng quy
Muốn tổng hợp hai lực có giá đồng quy tác dụng lên một vật rắn, trước hết ta phải trượt hai vec tơ lực đó trên giá của chúng đến điểm đồng quy, rồi áp dụng quy tắc hình bình hành để tìm hợp lực.
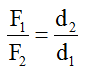
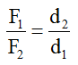
b) Quy tắc tổng hợp hai lực song song cùng chiều
- Hợp lực của hai lực song song cùng chiều là một lực song song, cùng chiều và có độ lớn bằng tổng các độ lớn của hai lực ấy.
- Giá của hợp lực chia khoảng cách giữa hai giá của hai lực song song thành những đoạn tỉ lệ nghịch với độ lớn của hai lực ấy.
F = F1 + F2
(chia trong)
Trong đó: d1 là khoảng cách từ giá của hợp lực tới giá của lực F1→
d2 là khoảng cách từ giá của hợp lực tới giá của lực F2→
2. Các điều kiện cân bằng của một vật rắn
- Điều kiện cân bằng của một vật chịu tác dụng của hai lực:
Muốn cho một vật chịu tác dụng của hai lực ở trạng thái cân bằng thì hai lực đó phải cùng giá, cùng độ lớn và ngược chiều.
- Điều kiện cân bằng của một vật chịu tác dụng của ba lực không song song:
- Ba lực đó phải đồng phẳng và đồng quy.
- Hợp lực của hai lực phải cân bằng với lực thứ ba.
- Điều kiện cân bằng của một vật có trục quay cố định là tổng các momen lực có xu hướng làm vật quay theo chiều kim đồng hồ phải bằng tổng các momen lực có xu hướng làm vật quay ngược chiều kim đồng hồ.
Biểu thức: F1.d1 = F2.d2 hay M1 = M2
- Điều kiện cân bằng của một vật có mặt chân đế là giá của trọng lực phải xuyên qua mặt chân đế (hay là trọng tâm “rơi” trên mặt chân đế).
- Momen lực đối với một trục quay là đại lượng đặc trưng cho tác dụng làm quay của lực và được đo bằng tích của lực với cánh tay đòn của nó:
M = F.d
II. CHUYỂN ĐỘNG CỦA VẬT RẮN
1. Chuyển động tịnh tiến
- Chuyển động tịnh tiến của một vật rắn là chuyển động trong đó đường thẳng nối hai điểm bất kì của vật luôn song song với chính nó.

Trong đó: F→ = F1→ + F2→ + ... + Fn→ của vật
2. Chuyển động quay quanh một trục cố định
- Momen lực tác dụng vào một vật quay quanh một trục cố định làm thay đổi tốc độ góc của vật.
- Mọi vật quay quanh một trục đều có mức quán tính. Vật có mức quán tính càng lớn thì càng khó thay đổi tốc độ góc.
- Mức quán tính của một vật quay quanh một trục phụ thuộc vào khối lượng của vật và sự phân bố khối lượng đó đối với trục quay.
3. Ngẫu lực
- Hệ hai lực song song, ngược chiều, có độ lớn bằng nhau và cùng tác dụng vào một vật gọi là ngẫu lực.
- Ngẫu lực tác dụng vào vật chỉ làm cho vật quay chứ không tịnh tiến.
- Momen ngẫu lực được tính bằng công thức: M = F.d
Trong đó:
F là độ lớn của mỗi lực (N)
d là cánh tay đòn của ngẫu lực hay khoảng cách giữa hai giá của hai lực hợp thành ngẫu lực (m)
M là momen lực (N.m)
Mời bạn tham khảo
Để có kết quả cao hơn trong học tập, VnDoc xin giới thiệu tới các bạn học sinh tài liệu Trắc nghiệm Vật lý 10, Giải bài tập Vật Lí 10, Giải bài tập Hóa 10 nâng cao, .... được biên soạn và đăng tải chi tiết.