Bài tập Chất khí dạng 1
Chuyên đề Chất khí
Bài tập Chất khí dạng 1 gồm các bài tập đặc trưng hỗ trợ học sinh trong quá trình học tập chuyên đề Vật lý 10 cũng như nâng cao kết quả môn Lý 10.
Dạng 1: Cấu tạo chất và thuyết động học phân tử chất khí
A. Phương pháp & Ví dụ
- Thuyết động học phân tử:
- Chất khí được cấu tạo từ những phân tử rất nhỏ so với khoảng cách giữ chúng.
- Các phân tử khí chuyển động hỗn loạn không ngừng, chuyển động này càng nahnh thì nhiệt độ chất khí càng cao.
- Khi chuyển động hỗn loạn, các phân tử chất khí va chạm vào thành bình gây áp suất lên thành bình.
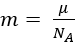
- Khối lượng phân tử - số mol – số Avogadro:
Khối lượng phân tử (hay nguyên tử): 
Trong đó: μ là khối lượng của một mol phân tử (hay nguyên tử).
NA = 6,02.1023 phân tử/mol: là số Avogadro.
Bài tập vận dụng
Bài 1: Cho biết khối lượng mol phân tử nước là 18g hãy tính khối lượng của phân tử nước. Cho số Avogadro NA = 6,02.1023 phân tử /mol.
Hướng dẫn:
Áp dụng công thức 
Trong đó khối lượng mol của phân tử nước là μ=18g, ta dễ dàng suy ra được khối lượng của phân tử nước là :

Bài 2: Biết bán kính của Trái Đất là 6400km, phân tử Oxi là một quả cầu bán kính 10-10m. Hỏi với 16g Oxi, nếu xếp các phân tử liền kề nhau dọc theo đường xích đạo thì được bao nhiêu vòng? Cho NA = 6,02.1023 phân tử /mol.
Hướng dẫn:
Số phân tử Oxi trên một vòng xích đạo là:

Trong 16g Oxi có số phân tử là: 
Vậy 16g Oxi xếp được số vòng là:
Số vòng = 
Bài 3: Tính số lượng phân tử H2O trong 1g nước.
Hướng dẫn:
1g nước có n = 1/18 mol H2O
Số phân tử H2O trong 1g nước là:

Bài 4: Một bình kín chứa N = 1,204.1024 phân tử khí Heli.
a. Tính khối lượng Heli chưa trong bình.
b. Biết nhiệt độ khí là 0°C, áp suất khí trong bình là 1 atm. Hỏi thể tích của bình là bao nhiêu?
Hướng dẫn:
a. Số mol Heli trong bình là:

Khối lượng khí Heli trong bình là: m = 2.4 = 8 (g)
b. Ở điều kiện chuẩn ( 0°C và 1atm) thì 1 mol khí có thể tích là 22,4 lít.
Vậy thể tích khí Heli trong bình là: V = 2.22,4 = 44,8 (l)
Bài 5: Tính tỉ số khối lượng phân tử nước và nguyên tử Cacbon 12.
Hướng dẫn:
Khối lượng phân tử nước: 
Khối lượng nguyeent ử Cabon 12: 
⇒ Tỉ số khối lượng phân tử nước và nguyên tử Cacbon 12 là:

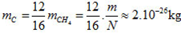
Bài 6: Một lượng khí khối lượng 15kg chứa 5,64.1026 phân tử. Phân tử khí này gồm các nguyên tử hidro và cacbon. Hãy xác định khối lượng của nguyên tử cacbon và hidro trong khí này. Biết một mol khí có NA = 6,02.1023 phân tử.
Hướng dẫn:
Số mol khí: n = N/NA (N là số phân tử khí)
Mặt khác, n = m/μ. Do đó:

Trong các khí có hiđrô và cacbon thì CH4 có:
μ = (12 + 4).10-3 kg/mol ⇒ phù hợp.
Vậy khí đã cho là CH4.
Khối lượng của nguyên tử hiđrô là:

Khối lượng của nguyên tử cacbon là:

B. Bài tập trắc nghiệm
Câu 1: Trong các câu sau đây, câu nào sai?
A. Các chất được cấu tạo một cách gián đoạn.
B. Các nguyên tử, phân tử đứng sát nhau và giữa chúng không có khoảng cách.
C. Lực tương tác giữa các phân tử ở thể rắn lớn hơn lực tương tác giữa các phân tử ở thể lỏng và thể khí.
D. Các nguyên tử, phân tử chất lỏng dao động xung quanh các vị trí cân bằng không cố định.
Chọn B
Câu 2: Tính chất nào sau đây không phải là tính chất của các phân tử khí?
A. Có vận tốc trung bình phụ thuộc vào nhiệt độ.
B. Gây áp suất lên thành bình.
C. Chuyển động xung quanh vị trí cân bằng.
D. Chuyển động nhiệt hỗn loạn.
Chọn C
Câu 3: Chuyển động nào sau đây là chuyển động của riêng các phân tử ở thể lỏng?
A. Chuyển động hỗn loạn không ngừng.
B. Dao động xung quanh các vị trí cân bằng cố định.
C. Chuyển động hoàn toàn tự do.
D. Dao động xung quanh các vị trí cân bằng không cố định.
Chọn D
Câu 4: Câu nào sau đây nói về khí lí tưởng là không đúng?
A. Khí lí tưởng là khí mà thể tích của các phân tử có thể bỏ qua.
B. Khí lí tưởng là khí mà khối lượng của các phân tử có thể bỏ qua.
C. Khí lí tưởng là khí mà các phân tử chỉ tương tác khi va chạm.
D. Khí lí tưởng là khí có thể gây áp suất lên thành bình chứa.
Chọn B
Câu 5: Câu nào sau đây nói về lực tương tác phân tử là không đúng?
A. Lực tương tác phân tử đáng kể khi các phân tử ở rất gần nhau.
B. Lực hút phân tử có thể lớn hơn lực đẩy phân tữ.
C. Lực hút phân tử không thể lớn hơn lực đẩy phân tử.
D. Lực hút phân tữ có thể bằng lực đẩy phân tử.
Chọn C
Câu 6: Tính chất nào sau đây không phải là của phân tử của vật chất ở thể khí?
A. Chuyển động hỗn loạn.
B. Chuyển động hỗn loạn và không ngừng.
C. Chuyển động không ngừng.
D. Chuyển động hỗn loạn xung quanh các vị trí cân bằng cố định.
Chọn D
Câu 7: Câu nào sau đây nói về chuyển động của phân tử là không đúng?
A. Chuyển động của phân tử là do lực tương tác phân tử gây ra
B. Các phân tử chuyển động không ngừng.
C. Các phân tử chuyển động càng nhanh thì nhiệt độ càng cao.
D. Các phân tử khí không dao động quanh vị trí cân bằng.
Chọn A
Câu 8: Câu nào sau đây nói về lực tương tác phân tử là không đúng?
A. Lực phân tử chỉ đáng kể khi các phân tử ở rất gần nhau.
B. Lực hút phân tử có thể lớn hơn lực đẩy phân tử.
C. Lực hút phân tử không thể lớn hơn lực đẩy phân tử.
D. Lực hút phân tử có thể bằng lực đẩy phân tử.
Chọn C
Câu 9: Câu nào sau đây nói về các phân tử khí lí tưởng là không đúng?
A. Có thể tích riêng không đáng kể.
B. Có lực tương tác không đáng kể.
C. Có khối lượng không đáng kể.
D. Có khối lượng đáng kể.
Chọn C
Câu 10: Tìm câu sai.
A. Khí lí tưởng là khí mà thể tích của các phân tử có thể bỏ qua
B. Khí lí tưởng là khí mà khối lượng của các phân tử có thể bỏ qua
C. Khí lí tưởng là khí mà các phân tử chỉ tương tác với nhau khi va chạm.
D. Khí lí tưởng gây áp suất lên thành bình.
Chọn B
Câu 11: Tìm câu sai.
A. Các chất được cấu tạo từ các hạt riêng gọi là nguyên tử, phân tử.
B. Các nguyên tử, phân tử đứng sát nhau và giữa chúng không có khoảng cách.
C. Lực tương tác giữa các phân tử ở thể rắn lớn hơn lực tương tác giữa các phân tử ở thể lỏng và thể khí.
D. Các nguyên tử, phân tử chất lỏng dao động xung quanh các vị trí cân bằng không cố định.
Chọn B
Câu 12: Biết khối lượng của một mol nước là 18 g, và 1 mol có NA = 6,02.1023 phân tử. Số phân tử trong 2 gam nước là?
A. 3,24.1024 phân tử.
B. 6,68.1022 phân tử.
C. 1,8.1020 phân tử.
D. 4.1021 phân tử.
1 mol nước có khối lượng là 18 g và chứa 6,02.1023 phân tử.
⇒ 2 g nước chứa
phân tử
Câu 13: Biết khối lượng của 1 mol không khí ôxi là 32 g. 4 g khí ôxi là khối lượng của bao nhiêu mol khí ôxi?
A. 0,125 mol.
B. 0,25 mol.
C. 1 mol.
D. 2 mol.
Số mol
= 0,125 mol.
Câu 14: Ở nhiệt độ 0°C và áp suất 760 mmHg, 22,4 lít khí ôxi chứa 6,02.1023 phân tử ôxi. Coi phân tử ôxi như một quả cầu có bán kính r = 10-10m. Thể tích riêng của các phân tử khí ôxi nhỏ hơn thể tích bình chứa:
A. 8,9.103 lần.
B. 8,9 lần.
C. 22,4.103 lần.
D. 22,4.1023 lần.
Bình chứa có thể tích là: V = 22,4 l = 22,4.10-3 m3.
Thể tích của 1 phân tử Oxi bằng: V0 = 4/3 πr3.
Thể tích riêng của các phân tử Oxi bằng: NA V0 = 4/3 πr3 NA.
Vậy thể tích riêng của phân tử Oxi nhỏ hơn thể tích bình chứa:

Câu 15: Biết khối lượng của 1 mol nước là μ = 18.10-3kg và 1 mol có NA = 6,02.1023 phân tử. Biết khối lượng riêng của nước là ρ = 103 kg/m3. Số phân tử có trong 300 cm3 là?
A. 6,7.1024 phân tử.
B. 10,03.1024 phân tử.
C. 6,7.1023 phân tử.
D. 10,03.1023 phân tử.
Khối lượng của nước là: m = ρV.
Khối lượng của một phân tử nước là : m0 = μ/NA .
Số phân tử nước bằng:

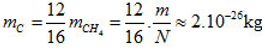
Câu 16: Một lượng khí có khối lượng là 30 kg và chứa 11,28.1026 phân tử. Phân tử khí này gồm các nguyên tử hiđrô và cacbon. Biết 1 mol khí có NA = 6,02.1023phân tử. Khối lượng của các nguyển tử cacbon và hiđrô trong khí này là?
A. mC = 2.10-26 kg ; mH = 0,66.10-26 kg.
B. mC = 4.10-26 kg ; mH = 1,32.10-26 kg.
C. mC = 2.10-6 kg ; mH = 0,66.10-6 kg.
D. mC = 4.10-6 kg ; mH = 1,32.10-6 kg.
Số mol khí: n = N/NA (N là số phân tử khí)
Mặt khác, n = m/μ. Do đó:
Trong các khí có hiđrô và cácbon thì CH4 có:
μ = (12 + 4).10-3 kg/mol ⇒ phù hợp.
Vậy khí đã cho là CH4.
Khối lượng của nguyên tử cacbon là:
Khối lượng của nguyên tử hidro là:

- Làm online: Bài tập Chất khí dạng 1
- Bài tập Chất khí dạng 2