Bài tập Sự rơi tự do dạng 3
Chủ đề Sự rơi tự do - Vật lý 10
VnDoc mời quý thầy cô cùng các em tham khảo Bài tập Sự rơi tự do dạng 2 thuộc chương trình chuyên đề Vật lý 10 bao gồm các dạng bài tập điển hình cũng như bài tập trắc nghiệm Lý 10 vận dụng.
Dạng 3: Xác định vị trí 2 vật gặp nhau được thả rơi tại thời điểm khác nhau
A. Phương pháp & Ví dụ
- Chọn chiều dương hướng xuống, gốc toạ độ tại vị trí vật bắt đầu rơi, gốc thời gian lúc bắt đầu rơi (của vật rơi trước )
- PT chuyển động có dạng: 
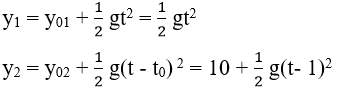
Vật 1: 
Vật 2: 
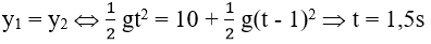
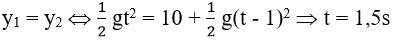
Hai vật gặp nhau khi chúng có cùng toạ độ: y1 = y2 ⇒ t
Thay t vào y1 hoặc y2 để tìm vị trí gặp nhau
Bài tập vận dụng
Bài 1: Từ tầng 9 của một tòa nhà, Minh thả rơi viên bi A. Sau 1s, Thắng thả rơi viên bi B ở tầng thấp hơn 10 m. Hai viên bi sẽ gặp nhau lúc nào ( Tính từ khi viên bi A rơi ), g = 9,8 m/s2 .
Hướng dẫn:
Chọn trục toạ độ thẳng đứng, chiều dương hướng xuống gốc toạ độ tại vị trí thả, gốc thời gian lúc bi A rơi.
Ptcđ có dạng:

Khi 2 viên bi gặp nhau:

Bài 2: Từ 1 đỉnh tháp cao 20m, người ta buông một vật. Sau 2s thì người ta lại buông vật thứ 2 ở tầng thấp hơn đỉnh tháp 5m. Chọn trục Oy thẳng đứng, gốc O ở đỉnh tháp, chiều dương hướng xuống, thời gian lúc vật 1 bắt đầu rơi, g = 10 m/s2
a. Lập phương trình chuyển động và phương trình vận tốc của 2 vật.
b. Hai vật có chạm đất cùng lúc không.
c. Vận tốc lúc chạm đất của mỗi vật là bao nhiêu?
Hướng dẫn:
a. ptcđ có dạng:
Vật 1: 
v1 = gt = 10t
Vật 2: 
v2 = g(t–2) = 10 (t-2)
b. Thời điểm vật 1 chạm đất: y1 = 20m ⇒ t1 = 2s
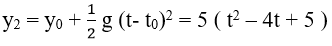
Thời điểm vật 2 chạm đất: y2 = 5 ( t2 – 4t +5 ) = 20 ⇒ t2 = 3,73s ( chọn ) hoặc t2 = 0,27s < 2 ( loại)
⇒ t1 ≠ t2 suy ra 2 vật không chạm đất cùng lúc.
c. v1 = 10 t1 = 20 m/s
v2 = 10 (t2 – 2) = 17.3 m/s
Bài 3: Một viên bi A được thả rơi từ độ cao 30m. Cùng lúc đó, một viên bi B được bắn theo phương thẳng đứng từ dưới đất lên với v = 25 m/s tới va chạm vào bi A. Chọn trục Oy thẳng đứng, gốc O ở mặt đất, chiều dương hướng lên, gốc thời gian lúc 2 viên bi bắt đầu chuyển động, g = 10 m/s2 . Bỏ qua sức cản không khí.
a. Lập phương trình chuyển động của mỗi viên bi.
b. Tính thời điểm và tọa độ 2 viên bi gặp nhau.
c. Vận tốc mỗi viên bi khi gặp nhau.
Hướng dẫn:
a. ptcđ có dạng:

Khi gặp nhau: y1 = y2 ⇔ 30 – (1/2).10.t2 = 25t – 5t2 ⇒ t = 1,2s
Vận tốc: v1 = - gt = -12 m/s ; v2 = v0 - gt = 13 m/s
Bài 4: Thả một vật rơi tự do ở độ cao 200 m so với mặt đất. Lấy g = 9.8 m/s2, một giây sau cũng tại nơi đó một vật khác được ném thẳng đứng hướng xuống với vận tốc vo. Hai vật chạm đất cùng lúc xác định vo
Hướng dẫn:
Gọi t là thời gian vật 1 thả rơi tự do chạm đất

Vậy thời gian vật 2 chạm đất là t2 = t - 1 = 5.4s
⇒ h = vot2 + 0,5gt22
⇒ vo = 10.6 m/s
Bài 5: Hai chất điểm rơi tự do từ các độ cao h1, h2. Coi gia tốc rơi tự do của chúng là như nhau. Biết vận tốc tương ứng của chúng khi chạm đất là v1 = 5v2 thì tỉ số giữa hai độ cao tương ứng là?
Hướng dẫn:
Ta có: v2 = 2gh
Suy ra h1/h2 = v12/v22
Suy ra h1/h2 = (1/5)2 = 1/25
Vậy h1 = 25h2
B. Bài tập trắc nghiệm
Câu 1: Hai viên bi được thả rơi tự do từ cùng một độ cao, nhưng bi A rơi trước bi B một khoảng thời gian Δt = 0.5 s. Ngay sau khi viên bi B rơi xuống và trước khi bi A chạm đất thì?
A. Khoảng cách giữa hai bi tăng lên.
B. Khoảng cách giữa hai bi giảm đi.
C. Khoảng cách giữa hai bi không đổi.
D. Ban đầu khoảng cách giữa hai bi tăng lên, sau đó giảm đi
Câu 2: Hai vật ở độ cao h1 và h2 = 10 m, cùng rơi tự do với vận tốc ban đầu bằng 0. Thời gian rơi của vật thứ nhất bằng nửa thời gian rơi của vật thứ hai. Độ cao h1 bằng?
A. 10√2 m.
B. 40 m.
C. 20 m.
D. 2.5 m
Câu 3: Một vật rơi từ độ cao 10 m so với một sàn thang máy đang nâng đều lên với vận tốc 0,5 m/s để hứng vật. Trong khi vật rơi để chạm sàn, sàn đã được nâng lên một đoạn bằng (g = 10 m/s2)?
A. 0.7 m.
B. 0.5 m.
C. 0.3 m.
D. 0.1 m.
Câu 4: Hai chất điểm rơi tự do từ các độ cao h1, h2. Coi gia tốc rơi tự do của chúng là như nhau. Biết vận tốc tương ứng của chúng khi chạm đất là v1 = 3v2 thì tỉ số giữa hai độ cao tương ứng là?
A. h1 = (1/9).h2.
B. h1 = (1/3).h2.
C. h1 = 9h2.
D. h1 = 3h2.
Câu 5: Từ tầng 9 của một tào nhà, Nam thả rơi viên bi A. Sau 1s, Hùng thả rơi viên bi B ở tầng thấp hơn 10m. Hai viên bi sẽ gặp nhau lúc nào (Tính từ khi viên bi A rơi), g = 9.8 m/s2.
A. 0.5s
B. 1s
C. 1.5s
D. 2s
Từ 1 đỉnh tháp cao 20 m, người ta buông một vật. Sau 2s thì người ta lại buông vật thứ 2 ở tầng thấp hơn đỉnh tháp 5 m. Chọn trục Oy thẳng đứng, gốc O ở đỉnh tháp, chiều ( + ) hướng xuống, thời gian lúc vật 1 bắt đầu rơi, g = 10 m/s2. Dựa vào đề bài trên trả lời câu hỏi 6-7 sau:
Câu 6: Hai vật có chạm đất cùng lúc không.
A. Có
B. Không
Câu 7: Vận tốc lúc chạm đất của vật 1 là bao nhiêu?
A. 10 m/s
B. 20 m/s
C. 15 m/s
D. 25 m/s
Câu 8: Vận tốc lúc chạm đất của vật 2 là bao nhiêu?
A. 13.7 m/s
B. 17.3 m/s
C. 16.8 m/s
D. 18.6 m/s
Câu 9: Thả một vật rơi tự do ở độ cao 80m so với mặt đất. Lấy g = 10 m/s2, một giây sau cũng tại nơi đó một vật khác được ném thẳng đứng hướng xuống với vận tốc vo. Hai vật chạm đất cùng lúc xác định vo
A. 27.4 m/s
B. 35.8 m/s
C. 57.3 m/s
D. 11.7 m/s
Câu 10: Thả cách nhau 0.1 giây hai vật rơi tự do ở độ cao h so với mặt đất. Biết khi vật đầu chạm đất thì vật thứ hai cách mặt đất 0,95m. Tính độ cao thả vật lấy g = 10m/s2.
A. 5 m
B. 7 m
C. 3 m
D. 9 m
Thả rơi tự do một vật từ độ cao 180 m so với mặt đất, đồng thời ném một vật từ mặt đất lên với vận tốc 80 m/s, lấy g = 10 m/s2. Dựa vào đề bài trả lời câu hỏi 11-12-13
Câu 11: Thời gian hai vật gặp nhau là.
A. 6.25s
B. 3.25s
C. 2.25s
D. 4.25s
Câu 12: Độ cao so với mặt đất mà hai vật gặp nhau là:
A. 87.6 m
B. 127.4 m
C. 138.2 m
D. 154.7 m
Câu 13: Sau bao lâu độ lớn vận tốc của hai vật bằng nhau.
A. 4s
B. 5s
C. 6s
D. 7s
Câu 14: Đặc điểm nào sau đây đúng cho chuyển động rơi tự do?
A. Chuyển động thẳng đều
B. Quỹ đạo là một nhánh parabol
C. Gia tốc tăng đều theo thời gian
D. Vận tốc biến thiên đều theo thời gian
Câu 15: Hai vật được thả rơi từ độ cao h1 và h2. Biết khoảng thời gian rơi của vật thứ nhất dài gấp đôi vật thứ hai. Tỉ số h1/h2 là bao nhiêu?
A. 4
B. √2
C. 0.5
D. 2
| Câu | 1 | 2 | 3 | 4 | 5 | 6 | 7 | 8 | 9 | 10 | 11 | 12 | 13 | 14 | 15 |
| Đ/án | A | D | A | C | C | B | B | B | D | A | C | D | A | D | A |
Mời làm thêm
Để có kết quả cao hơn trong học tập, VnDoc xin giới thiệu tới các bạn học sinh tài liệu Trắc nghiệm Vật lý 10, Giải bài tập Vật Lí 10, Giải bài tập Hóa 10 nâng cao, .... được biên soạn và đăng tải chi tiết.