Bài tập chuyển động thẳng biến đổi đều dạng 2
Chủ đề Chuyển động thẳng biến đổi đều - Vật lý 10
VnDoc mời các bạn cùng tham khảo Bài tập chuyển động thẳng biến đổi đều dạng 2 - chuyên đề Vật lý 10, với các dạng bài tập mẫu cùng với bài vận dụng hỗ trợ học sinh nâng cao kết quả môn Lý 10 cơ bản.
Dạng 2: Tính quãng đường vật đi được trong giây thứ n và trong n giây cuối (Chuyển động thẳng biến đổi đều)
A. Phương pháp & Ví dụ
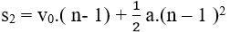
Quãng đường vật đi trong giây thứ n:
- Tính quãng đường vật đi trong n giây: 
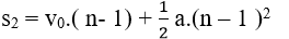
- Tính quãng đường vật đi trong (n – 1) giây: 
- Tính quãng đường vật đi trong giây thứ n: Δs = s1 – s2
Quãng đường vật đi trong n giây cuối:
- Tính quãng đường vật đi trong t giây: 
- Tính quãng đường vật đi trong (t – n) giây: 
- Tính quãng đường vật đi trong n giây cuối: Δs = s1 – s2
Bài tập vận dụng
Bài 1: Một ôtô chuyển động thẳng nhanh dần đều với v0 = 10,8 km/h. Trong giây thứ 6 xe đi được quãng đường 14 m.
a. Tính gia tốc của xe.
b. Tính quãng đường xe đi trong 20s đầu tiên.
Hướng dẫn:
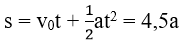
a. Quãng đường đi trong 5s đầu: 
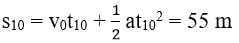
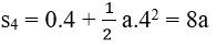
Quãng đường đi trong 6s: 
Quãng đường đi trong giây thứ 6:
s = s6 - s5 = 14 ⇒ a = 2 m/s2

Bài 2: Một xe chuyển động nhanh dần đều với v0 = 18 km/h. Trong giây thứ 5 xe đi được 5,45m.
a. Tính gia tốc của xe.
b. Tính quãng đường đi được trong giây thứ 10.
Hướng dẫn:
a. Quãng đường đi trong 5s đầu: 
Quãng đường đi trong 4s đầu: 
Quãng đường đi trong giây thứ 5: s = s5 – s4 = 5,45 ⇒ a = 0,1 m/s2
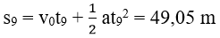
b. Quãng đường đi trong 10s đầu: 
Quãng đường đi trong 9s đầu: 
Quãng đường đi trong giây thứ 10: s = s10 – s9 = 5,45 m
Bài 3: Một vật chuyển động thẳng biến đổi đều không vận tốc đầu và đi được quãng đường s mất 3s. Tìm thời gian vật đi được 8/9 đoạn đường cuối.
Hướng dẫn:

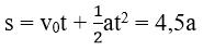
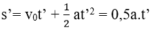
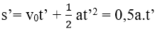
Thời gian vật đi trong 1/9 quãng đường đầu: 
⇔ 1/9 s = 0,5a.t’
⇒ t ’ = 1s
Thời gian vật đi trong 8/9 quãng đường cuối: t" = t – t ’ = 2s
Bài 4: Một vật chuyển động thẳng nhanh dần đều có vận tốc đầu là 18 km/h .Trong giây thứ 5, vật đi được quãng đường là 5,9 m.
a. Tính gia tốc của vật.
b. Tính quãng đường vật đi được sau khoảng thời gian là 10s kể từ khi vật bắt đầu chuyển động
Hướng dẫn:
Đổi 18 km/h = 5 m/s
a. Quãng đường vật đi được trong 5s đầu là:

Quãng đường đi được trong 4s đầu: 
Quãng đường vật đi được trong giây thứ 5: s = s5 – s4 = 5,9 ⇒ a = 0,2 m/s2
b. Quãng đường vật đi được trong 10s đầu:

Bài 5: Một viên bi chuyển động nhanh dần đều không vận tốc đầu trên máng nghiêng và trong giây thứ 5 nó đi được quãng đường bằng 36 cm.
a. Tính gia tốc của viên bi chuyển động trên máng nghiêng.
b. Tính quãng đường viên bi đi được sau 5 giây kể từ khi nó bắt đầu chuyển động.
Hướng dẫn:
a. Quãng đường vật đi được trong 5s đầu:

Quãng đường đi được trong 4s đầu: 
Quãng đường vật đi được trong giây thứ 5: s = s5 – s4 = 0,36 ⇒ a = 0,08 m/s2
b. Quãng đường vật đi được trong 5s đầu: 
B. Bài tập trắc nghiệm
Câu 1: Một viên bi chuyển động thẳng nhanh dần đều không vận tốc đầu trên máng nghiêng và trong giây thứ năm nó đi được quãng đường bằng 1,8m. Gia tốc của viên bi chuyển động trên máng nghiêng là:
A. 0,4 m/s2
B. 0,5 m/s2
C. 2 m/s2
D. 2,5 m/s2
Câu 2: Vật chuyển động nhanh dần đều theo chiều dương với vận tốc đầu 2 m/s, gia tốc 4m/s2
A. Vận tốc của vật sau 2s là 8 m/s
B. Đường đi sau 5s là 60 m
C. Vật đạt vận tốc 20 m/s sau 4 s
D. Sau khi đi được 10 m,vận tốc của vật là 64 m/s
Câu 3: Một tàu dời ga chuyển động nhanh dần đều, sau 1 phút tàu đạt 54 km/h. Quãng đường tàu đi được trong giây thứ 60 là: (làm tròn đến chữ số thập phân thứ nhất)
A. 14,8 m
B. 18,7 m
C. 14,5 m
D. 14,9 m
Câu 4: Một xe chuyển động chậm dần đều với v0 = 10 m/s. Thời gian vật đi đến khi dừng lại là 5s. Quãng đường vật đi được trong 2 giây cuối là:
A. 5 m
B. 5,2 m
C. 4 m
D. 4,2 m
Câu 5: Một xe chuyển động chậm dần đều với v0 = 54 km/h. Quãng đường vật đi được đến ki dừng hẳn là 30 m. Quãng đường vật đi được trong 2 giây cuối là:
A. 7 m
B. 7,5 m
C. 8 m
D. 8,5 m
Câu 6: Chọn câu đúng:
A. Trong chuyển động nhanh dần đều, vận tốc và gia tốc của vật luôn dương
B. Trong chuyển động nhanh dần đều, tích của vận tốc và gia tốc luôn dương
C. Trong chuyển động chậm dần đều, vận tốc v < 0
D. Trong chuyển động chậm dần đều, gia tốc a < 0
Câu 7: Một vật chuyển động nhanh dần đều với vận tốc ban đầu bằng 0. Trong giây thứ nhất, vật đi được quãng đường s = 3m. Trong giây thứ hai, vật đi được quãng đường bao nhiêu?
A. 9 m
B. 3 m
C. 6 m
D. Đáp án khác
Câu 8: Câu nào dưới đây nói về chuyển động thẳng biến đổi đều là không đúng?
A. Gia tốc của vật chuyển động thẳng biến đổi đều luôn cùng phương, cùng chiều với vận tốc
B. Vận tốc tức thời của vật chuyển động thẳng biến đổi đều có độ lớn tăng hoặc giảm đều theo thời gian
C. Gia tốc của vật chuyển động thẳng biến đổi đều luôn có độ lớn không đổi
D. Quãng đường đi được của vật chuyển động thẳng biến đổi đều luôn được tính bằng công thức s = vtb.t
Câu 9: Chọn phát biểu sai:
A. Vectơ gia tốc của chuyển động thẳng biến đổi đều cùng chiều với vectơ vận tốc
B. Vectơ gia tốc của chuyển động thẳng biến đổi đều có phương không đổi
C. Vectơ gia tốc của chuyển động thẳng chậm dần đều ngược chiều với vectơ vận tốc
D. Vectơ gia tốc của chuyển động thẳng biến đổi đều có độ lớn không đổi
Câu 10: Chọn câu sai: Chất điểm sẽ chuyển động thẳng nhanh dần đều nếu:
A. a < 0 và v0 = 0
B. a > 0 và v0 = 0
C. a < 0 và v0 > 0
D. a > 0 và v0 > 0
Câu 11: Một vật chuyển động thẳng nhanh dần đều không vận tốc ban đầu, trong giây thứ hai vật đi được quãng đường 1,5 m. Trong giây thứ 100, vật đi được quãng đường bao nhiêu?
A. 201,5 m
B. 100,5 m
C. 99 m
D. 99,5 m
Câu 12: Trong chuyển động chậm dần đều thì:
A. Gia tốc luôn có giá trị dương
B. Gia tốc luôn có giá trị âm
C. Gia tốc luôn có giá trị dương khi vật chuyển động ngược chiều dương
D. Cả 3 đáp án đều sai
Câu 13: Chọn đáp án sai:
Chất điểm chuyển động thẳng theo một chiều với gia tốc a = 4 m/s2 có nghĩa là:
A. Lúc đầu vận tốc là 2 m/s thì sau 2s, vận tốc bằng 8 m/s
B. Lúc đầu vận tốc là 4 m/s thì sau 2s, vận tốc bằng 12 m/s
C. Lúc đầu vận tốc là 0 m/s thì sau 1s, vận tốc bằng 4 m/s
D. Lúc đầu vận tốc là 2 m/s thì sau 1s, vận tốc bằng 6 m/s
Câu 14: Nếu chọn chiều dương là chiều chuyển động thì:
A. Vectơ gia tốc của chuyển động thẳng nhanh dần đều hướng theo chiều dương
B. Vectơ vận tốc của chuyển động thẳng chậm dần đều hướng ngược chiều dương
C. Vectơ gia tốc của chuyển động thẳng chậm dần đều hướng theo chiều dương
D. Cả A, B đều đúng
Câu 15: Công thức tính quãng đường trong n giây đầu là:

| Câu | 1 | 2 | 3 | 4 | 5 | 6 | 7 | 8 | 9 | 10 | 11 | 12 | 13 | 14 | 15 |
| Đ/án | A | B | D | C | B | B | A | A | A | C | D | C | A | A | B |
Mời bạn làm thêm
- Làm online: Bài tập chuyển động thẳng biến đổi đều dạng 2
- Lý thuyết: Chuyển động thẳng biến đổi đều
- Dạng 1: Xác định vận tốc, gia tốc, quãng đường trong chuyển động thẳng biến đổi đều
- Dạng 3: Viết phương trình chuyển động thẳng biến đổi đều
Để có kết quả cao hơn trong học tập, VnDoc xin giới thiệu tới các bạn học sinh tài liệu Trắc nghiệm Vật lý 10, Giải bài tập Vật Lí 10, Giải bài tập Hóa 10 nâng cao, .... được biên soạn và đăng tải chi tiết.