Bài tập Các định luật bảo toàn dạng 1
Chương Các định luật bảo toàn
Bài tập Các định luật bảo toàn dạng 1 thuộc chuyên đề Vật lý 10 bao gồm lý thuyết trọng tâm cùng các dạng bài tập đặc trưng về động lượng – định luật bảo toàn động lượng môn Lý 10.
Dạng 1: Động lượng – Định luật bảo toàn động lượng
A. Phương pháp & Ví dụ
- Động lượng p→ của một vật là một vecto cùng hướng với vận tốc của vật và được xác định bởi công thức: p→ = m v→.
- Đơn vị động lượng: kg.m/s.
- Động lượng của hệ vật:
p→ = p1→ + p2→
- Định luật bảo toàn động lượng.
Bài tập vận dụng
Bài 1: Hai vật có khối lượng m1 = 5 kg, m2 = 10 kg chuyển động với các vận tốc v1 = 4 m/s và v2 = 2 m/s. Tìm tổng động lượng (phương, chiều và độ lớn) của hệ trong các trường hợp:
a. v1→ và v2→ cùng hướng.
b. v1→ và v2→ cùng hướng, ngược chiều.
c. v1→ và v2→ vuông góc nhau.
Hướng dẫn:
a. Động lượng của hệ:
p→ = p1→ + p2→
Độ lớn: p = p1 + p2 = m1 v1 + m2 v2 = 5.4 + 10.2 = 40 kg.m/s.
b. Động lượng của hệ:
p→ = p1→ + p2→
Độ lớn: p = p1 - p2 = m1 v1 - m2 v2 = 0.
c) Động lượng của hệ:
p→ = p1→ + p2→
Độ lớn:
= 28,284 kg.m/s.
Bài 2: Một khẩu súng đại bác nằm ngang khối lượng ms = 2000 kg, bắn một viên đạn khối lượng mđ = 5 kg. Vận tốc viên đạn ra khỏi nòng súng là 600 m/s. Tìm vận tốc của súng sau khi bắn.
Hướng dẫn:
Động lượng của súng khi chưa bắn là bằng 0.
Động lượng của hệ sau khi bắn súng là: ms.Vs→ + mđ.Vđ→.
Áp dụng định luật bảo toàn động lượng: ms.Vs→+ mđ.Vđ→ = 0.
Vận tốc của súng là:

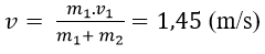
Bài 3: Một xe ôtô có khối lượng m1 = 6 tấn chuyển động thẳng với vận tốc v1 = 3 m/s, đến tông và dính vào một xe gắn máy đang đứng yên có khối lượng m2 = 200 kg. Tính vận tốc của các xe.
Hướng dẫn:
Xem hệ hai xe là hệ cô lập.
Áp dụng định luật bảo toàn động lượng của hệ:
m1 v1→ = ( m1 + m2 ).v→
v→ cùng phương với vận tốc v1→.
Vận tốc của mỗi xe là:

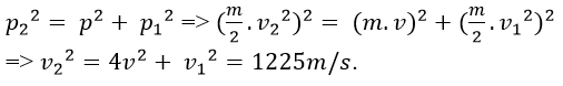
Bài 4: Một viên đạn khối lượng 1kg đang bay theo phương thẳng đứng với vận tốc 500 m/s thì nổ thành 2 mảnh có khối lượng bằng nhau. Mảnh thứ nhất bay theo phương ngang với vận tốc 500√2 m/s. Hỏi mảnh thứ hai bay theo phương nào với vận tốc bao nhiêu?
Hướng dẫn:
Xét hệ 2 mảnh đạn trong lúc nổ, đây là hệ kín do đó ta áp dụng định luật bảo toàn động lượng.
Động lượng trước khi đạn nổ:
pt→ = m v→ = p→
Động lượng sau khi đạn nổ:

Theo hình vẽ, ta có:

Góc hợp giữa v2→ và phương thẳng đứng là:

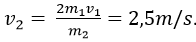
Bài 5: Một người khối lượng m1 = 50kg đang chạy với vận tốc v1 = 4m/s thì nhảy lên một chiếc xe khối lượng m2 = 80 kg chạy song song ngang với người này với vận tốc v2 = 3 m/s. Sau đó, xe và người vẫn tiếp tục chuyển đọng theo phương cũ. Tính vận tốc xe sau khi người này nhảy lên nếu ban đầu xe và người chuyển động:
a. Cùng chiều.
b. Ngược chiều.
Hướng dẫn:
Xét hệ gồm xe và người. Đây là 1 hệ kín.
Áp dụng định luật bảo toàn động lượng:
m1 v1→ + m2 v2→ = (m1 + m2).v→
a. Nếu người nhảy cùng chiều thì:

⇒ Xe chuyển động theo chiều cũ với vận tốc 3,38 m/s.
b. Nếu người nhảy ngược chiều thì:

⇒ Xe chuyển động theo chiều cũ với vận tốc 0,3 m/s
B. Bài tập trắc nghiệm
Câu 1: Đơn vị của động lượng là:
A. kg.m/s
B. kg.m.s
C. kg.m2 /s
D. kg.m/s2
Chọn A
Câu 2: Chất điểm M chuyển động không vận tốc đầu dưới tác dụng của lực F. Động lượng chất điểm ở thời điểm t là:

Chọn B
Câu 3: Phát biểu nào sau đây sai?
A. Khi không có ngoại lực tác dụng lên hệ thì động lượng của hệ được bảo toàn.
B. Vật rơi tự do không phải hệ kín vì trọng lực tác dụng lên vật là ngoại lực.
C. Hệ gồm: “Vật rơi tự do và Trái Đất” được xem là hệ kín khi bỏ qua lực tương tác giữa hệ vật với các vật khác ( Mặt trời, các hành tinh...).
D. Một hệ gọi là hệ kín khi ngoại lực tác dụng lên hệ không đổi.
Chọn D
Câu 4: Độ biến thiên động lượng của một vật trong một khoảng thời gian nào đó:
A. tỉ lệ thuận với xung lượng của lực tác dụng lên vật trong khoảng thời gian đó.
B. bằng xung lượng của lực tác dụng lên vật trong khoảng thời gian đó.
C. luôn nhỏ hơn xung lượng của lực tác dụng lên vật trong khoảng thời gian đó.
D. luôn là một hằng số.
Chọn B
Câu 5: Định luật bảo toàn động lượng phát biểu:
A. Động lượng của một hệ là đại lượng bảo toàn.
B. Động lượng của một hệ cô lập có độ lớn không đổi.
C. Động lượng của một hệ cô lập là đại lượng bảo toàn.
D. Động lượng là đại lượng bảo toàn.
Chọn C
Câu 6: Chọn phát biểu sai về động lượng:
A. Động lượng đặc trưng cho sự truyền chuyển động giữa các vật tương tác
B. Động lượng là một đại lượng động lực học liên quan đến tương tác, va chạm giữa các vật.
C. Động lượng tỷ lệ thuận với khối lượng và tốc độ của vật
D. Động lượng là một đại lượng véc-tơ, được tính bằng tích của khối lượng với véctơ vận tốc.
Chọn D
Câu 7: Hiện tượng nào dưới đây là sự va chạm đàn hồi:
A. Ném một cục đất sét vào tường.
B. Sự va chạm của mặt vợt cầu lông vào quả cầu lông
C. Bắn một hòn bi-a vào một hòn bi-a khác.
D. Bắn một đầu đạn vào một bị cát.
Chọn B
Câu 8: Một vật có khối lượng 2 kg rơi tự xuống đất trong khoảng thời gian 0,5s. Độ biến thiên động lượng của vật trong khoảng thời gian đó là bao nhiêu? Cho g = 10 m/s2.
A. 5,0 kg.m/s
B. 4,9 kg.m/s
C. 10 kg.m/s
D. 0,5 kg.m/s
Độ biến thiên động lượng bằng xung lượng của lực:
Δp = F.t = mg.t = 10 kg.m/s
Câu 9: Xét một hệ gồm súng và viên đạn nằm trong nòng súng. Khi viên đạn bắn đi với vận tốc v→ thì súng giật lùi với vận tốc V→. Giả sử động lượng của hệ được bảo toàn thì nhận xét nào sau đây là đúng ?
A. V→ có độ lớn tỉ lệ thuận với khối lượng của súng.
B. V→ cùng phương và ngược chiều với v→.
C. V→ cùng phương và cùng chiều với v→.
D. V→ cùng phương cùng chiều với v→, có độ lớn tỉ lệ thuận với khối lượng của súng.
Chọn B
Câu 10: Một tên lửa có khối lượng M = 5 tấn đang chuyển động với vận tốc v = 100 m/s thì phụt ra phía sau một lượng khí m0 = 1 tấn. Vận tốc khí đối với tên lửa lúc chưa phụt là v1 = 400 m/s. Sau khi phụt khí vận tốc tên lửa có giá trị là:
A. 200 m/s
B. 180 m/s
C. 225 m/s
D. 250 m/s
Áp dụng định luật bảo toàn cho hệ, lúc trước và sau khi phụt:
(mtên lửa + mkhí).v = mtên lửa v2 - mkhí v1.
⇔ v2 = 200 m/s.
Câu 11: Thả rơi một vật có khối lượng 1kg trong khoảng thời gian 0,2s. Độ biến thiên động lượng của vật là bao nhiêu? Cho g = 10 m/s2.
A. 2 kg.m/s
B. 1 kg.m/s
C. 20 kg.m/s
D. 10 kg.m/s
Chọn A
Câu 12: Hai viên bi có khối lượng m1 = 50g và m2 = 80g đang chuyển động ngược chiều nhau và va chạm nhau. Muốn sau va chạm m2 đứng yên còn m1 chuyển động theo chiều ngược lại với vận tốc như cũ thì vận tốc của m2 trước va chạm bằng bao nhiêu? Cho biết v1= 2 m/s.
A. 1 m/s
B. 2,5 m/s
C. 3 m/s
D. 2 m/s
Áp dụng định luật bảo toàn động lượng cho lúc trước và sau va chạm:
m1 v1→ + m2 v1→ = m1 v'1→
Chiếu lên phương Ox: - m1 v1→ + m2 v2→ = m1 v1→
⇒ 
Câu 13: Một quả bóng có khối lượng m = 300g va chạm vào tường và nảy trở lại với cùng vận tốc. Vận tốc của bóng nước va chạm là + 5m/s. Độ biến thiên động lượng của bóng là:
A. 1,5 kg.m/s
B. -3 kg.m/s
C. -1,5 kg.m/s
D. 3 kg.m/s
Độ biến thiên động lượng:
Δp = p2 - p1 = - mv - mv = -2mv = -3 kg.m/s.
Câu 14: Điều nào sau đây không đúng khi nói về động lượng :
A. Động lượng của một vật bằng tích khối lượng và bình phương vận tốc.
B. Động lượng của một vật bằng tích khối lượng và vận tốc của vật .
C. Động lượng của một vật là một đại lượng véc tơ.
D. Trong hệ kín,động lượng của hệ được bảo toàn
Chọn A
Câu 15: Một vật khối lượng m đang chuyển động theo phương ngang với vận tốc v thì va chạm vào vật khối lượng 2m đang đứng yên. Sau va chạm, hai vật dính vào nhau và chuyển động với cùng vận tốc. Bỏ qua ma sát, vận tốc của hệ sau va chạm là:
A. v/3
B. v
C. 3v
D. v/2
Chọn A
Câu 16: Một vật khối lượng 0,7 kg đang chuyển động theo phương ngang với tốc độ 5 m/s thì va chạm vào bức tường thẳng đứng. Nó nảy ngược trở lại với tốc độ 2 m/s. Chọn chiều dương là chiều bóng nảy ra. Độ thay đổi động lượng của nó là:
A. 3,5 kg.m/s
B. 24,5 kg.m/s
C. 4,9 kg.m/s
D. 1,1 kg.m/s
Độ biến thiên động lượng: Δp = p2 - p1 = mv2 - (-mv1)= 4,9 kg.m/s.
Mời bạn làm thêm
Để có kết quả cao hơn trong học tập, VnDoc xin giới thiệu tới các bạn học sinh tài liệu Trắc nghiệm Vật lý 10, Giải bài tập Vật Lí 10, Giải bài tập Hóa 10 nâng cao, .... được biên soạn và đăng tải chi tiết.