Bài tập Độ ẩm của không khí
Chuyên đề Chất rắn và chất lỏng. Sự chuyển thể
VnDoc mời các bạn cùng tham khảo Bài tập Độ ẩm của không khí, với các dạng bài tập vận dụng và câu hỏi trọng tâm thuộc chuyên đề Vật lý 10 giúp học sinh nâng cao kết quả môn Lý 10.
Dạng 5: Độ ẩm của không khí
A. Phương pháp & Ví dụ
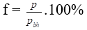
- Độ ẩm tỉ đối của không khí:
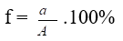
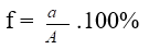
Hoặc 
- Để tìm áp suất bão hòa pbh và độ ẩm cực đại A, ta dựa vào bảng 39.1 sgk.
- Khối lượng hơi nước có trong phòng: m = a.V ( V(m3) thể tích của phòng).
Bài tập vận dụng
Bài 1: Phòng có thể tích 50m3 không khí, trong phòng có độ ẩm tỉ đối là 60%. Nếu trong phòng có 150g nước bay hơi thì độ ẩm tỉ đối của không khí là bao nhiêu? Cho biết nhiệt độ trong phòng là 25°C và khối lượng riêng của hơi nước bão hòa là 23g/m3.
Hướng dẫn:
- Độ ẩm cực đại của không khí ở 25°C là A = 23g/m3.
- Độ ẩm tuyệt đối của không khí lúc đầu a1 = f1.A = 13,8g/m3.
- Khối lượng hơi nước trong không khí tăng thêm 150g nên độ ẩm tuyệt đối tăng thêm: 
Vậy độ ẩm tỉ đối của không khí là: 
Bài 2: Phòng có thể tích 40cm3. không khí trong phòng có độ ẩm tỉ đối 40%. Muốn tăng độ ẩm lên 60% thì phải làm bay hơi bao nhiêu nước? biết nhiệt độ là 20°C và khối lượng hơi nước bão hòa là Dbh = 17,3 g/m3.
Hướng dẫn:
- Độ ẩm tuyệt đối của không khí trong phòng lúc đầu và lúc sau:
+ a1 = f1.A = f1.Dbh = 6,92 g/m3.
+ a2 = f2.A = f2.Dbh = 10,38 g/m3
- Lượng nước cần thiết là: m = (a2 – a1). V = ( 10,38 – 6,92).40 = 138,4g.
Bài 3: Một căn phòng có thể tích 60m3, ở nhiệt độ 20°C và có độ ẩm tương đối là 80%. Tính lượng hơi nước có trong phòng, biết độ ẩm cực đại ở 20°C là 17,3 g/m3.
Hướng dẫn:
Lượng hơi nước có trong 1m3 là: a = f.A = 0,8.17,3 = 13,84g
Lượng hơi nước có trong phòng là: m = a.V = 13,84.60 = 830,4g.
B. Bài tập trắc nghiệm
Câu 1: Khi nói về độ ẩm cực đại, câu nào dưới đây không đúng?
A. Độ ẩm cực đại là độ ẩm của không khí bão hòa hơi nước.
B. Khi làm lạnh không khí đến một nhiệt độ nào đó, hơi nước trong không khí trở nên bão hòa và không khí có độ ẩm cực đại.
C. Khi làm nóng không khí, lượng hơi nước trong không khí tăng và không khí có độ ẩm cực đại.
D. Độ ẩm cực đại có độ lớn bằng khối lượng riêng của hơi nước bão hòa trong không khí tính theo đơn vị g/m3.
Chọn C
Câu 2: Khi nói về độ ẩm tuyệt đối câu nào sau đây là đúng?
A. Có độ lớn bằng khối lượng hơi nước tính ra g trong 1 m3 không khí
B. Có độ lớn bằng khối lượng hơi nước tính ra kg trong 1 m3 không khí
C. Có độ lớn bằng khối lượng hơi nước bão hòa tính ra g trong 1 m3 không khí
D. Có độ lớn bằng khối lượng hơi nước tính ra g trong 1 cm3 không khí
Chọn A
Câu 3: Điểm sương là:
A. Nơi có sương
B. Lúc không khí bị hóa lỏng
C. Nhiệt độ của không khí lúc hóa lỏng
D. Nhiệt độ tại đó hơi nước trong không khí bão hòa
Chọn D
Câu 4: Công thức nào sau đây không đúng ?

Chọn D
Câu 5: Nếu nung nóng không khí thì:
A. Độ ẩm tuyệt đối và độ ẩm tương đối đều tăng.
B. Độ ẩm tuyệt đối không đổi, độ ẩm tương đối giảm.
C. Độ ẩm tuyệt đối không đổi, độ ẩm tương đối tăng.
D. Độ ẩm tuyệt đối tăng, độ ẩm tương đối không đổi.
Chọn B
Câu 6: Nếu làm lạnh không khí thì:
A. Độ ẩm tuyệt đối giảm, độ ẩm tương đối giảm.
B. Độ ẩm cực đại giảm, độ ẩm tương đối giảm.
C. Độ ẩm cực đại giảm, độ ẩm tương đối tăng.
D. Độ ẩm cực đại giảm, độ ẩm tuyệt đối giảm.
Chọn C
Câu 7: Kết luận nào sau đây là đúng?
A. Không khí càng ẩm khi nhiệt độ càng thấp.
B. Không khí càng ẩm khi lượng hơi nước trong không khí càng nhiều.
C. Không khí càng ẩm khi hơi nước chứa trong không khí càng gần trạng thái bão hoà.
D. Cả 3 kết luận trên.
Chọn C
Câu 8: Không khí ở 25°C có độ ẩm tương đối là 70% khối lượng hơi nước có trong 1m3 không khí là:
A. 23g.
B. 7g
C. 17,5g.
D. 16,1g.
Độ ẩm cực đại ở 25°C : A = 23 g/m3; Độ ẩm tương đối : f = 70% = 0,7
Độ ẩm tuyệt đối : a = f. A = 0,7. 23 = 16,1 g/m3.
Câu 9: Không khí ở một nơi có nhiệt độ 30°C, có điểm sương là 20°C. Độ ẩm tuyệt đối của không khí tại đó là:
A. 30,3g/m3
B. 17,3g/m3
C. 23,8g/m3
D. Một giá trị khác.
Chọn B
Câu 10: Không khí ở 30°C có điểm sương là 25°C, độ ẩm tương đối của không khí có giá trị:
A. 75,9%
B. 30,3%
C. 23%
D. Một đáp số khác.
Độ ẩm tuyệt đối bằng độ ẩm cực đại ở điểm sương 25°C : 23g/m3.
Độ ẩm cực đại ở 30°C: A = 30,3 g/m3.
Độ ẩm tương đối: 
Câu 11: Một căn phòng có thể tích 120m3 không khí trong phòng có nhiệt độ 25°C, điểm sương 15°C. Để làm bão hoà hơi nước trong phòng, lượng hơi nước cần có là:
A. 23.00g
B. 10.20g
C. 21.6g
D. Một giá trị khác
Độ ẩm tuyệt đối bằng độ ẩm cực đại điểm sương 15°C : a = 12,8 g/m3 . Độ ẩm cực đại ở 25°C: A = 23 g/m3.
Để làm bão hoà hơi nước trong phòng cần một lượng hơi nước là: ( 23 - 12,8 ) x 120 = 1224 g.
Câu 12: Một vùng không khí có thể tích 1,5.1010m3 chứa hơi bão hoà ở 23°C, nếu nhiệt độ hạ thấp tới 10°C thì lượng nước mưa rơi xuống là:
A. 16,8.107g
B. 16,8.1010kg
C. 8,4.1010kg
D. Một giá trị khác
Không khí chứa hơi nước bão hoà, có độ ẩm cực đại: A1 = 20,6 g/m3; ở nhiệt độ 10°C độ ẩm cực đại chỉ là: A2 = 9,4 g/m3.
Khi nhiệt độ hạ thấp tới 10°C thì khối lượng hơi nước ngưng tụ tạo thành mưa rơi xuống là:
( 20,6 - 9,4 ) x 1,5. 1010 = 16,8 . 1010g = 16,8.107kg.
Câu 13: Áp suất hơi nước trong không khí ở 25°C là 19 mmHg. Độ ẩm tương đối của không khí có giá trị:
A. 19%
B. 23,76%
C. 80%
D. 68%.
Ở 25°C: pbh = 23,76 mmHg (tra bảng đặc tính hơi nước bão hoà) p Độ ẩm tương đối của không khí

Câu 14: Hơi nước bão hoà ở 20°C được tách ra khỏi nước và đun nóng đẳng tích tới 27°C áp suất của nó có giá trị:
A. 17,36mmHg
B. 23,72mmHg
C. 15,25mmHg
D. 17,96mmHg.
Hơi nước bão hoà ở nhiệt độ t1 = 20°C có áp suất p1 = 17,54mmHg.
Hơi bão hoà tách khỏi chất lỏng nung nóng đẳng tích biến thành hơi khô tuân theo định luật Sác Lơ: áp suất tỉ lệ thuận với nhiệt độ tuyệt đối .
T1 = 20 + 273 = 279°K ; T2 = 27 + 273 = 300°K; Thay số ta có : p2 = 17,96mmHg.
Câu 15: Áp suất hơi bão hòa phụ thuộc vào:
A. nhiệt độ và thể tích của hơi.
B. nhiệt độ và bản chất của hơi.
C. thể tích và bản chất của hơi.
D. nhiệt độ, thể tích và bản chất của hơi.
Chọn D
Mời bạn làm thêm
- Làm online: Bài tập Độ ẩm của không khí
- Bài tập Sự nở vì nhiệt của chất rắn
- Bài tập Các hiện tượng bề mặt của chất lỏng
- Bài tập Sự chuyển thể của các chất
Để có kết quả cao hơn trong học tập, VnDoc xin giới thiệu tới các bạn học sinh tài liệu Trắc nghiệm Vật lý 10, Giải bài tập Vật Lí 10, Giải bài tập Hóa 10 nâng cao, .... được biên soạn và đăng tải chi tiết.