Bài tập Tính tương đối của chuyển động. Công thức cộng vận tốc
Tính tương đối của chuyển dộng công thức cộng vận tốc
Bài tập Tính tương đối của chuyển động. Công thức cộng vận tốc thuộc chương trình chuyên đề Vật lý 10 được VnDoc sưu tầm và đăng tải, bao gồm các dạng bài vận dụng đặc trưng của bài học trong môn Lý 10. Sau đây là tài liệu, mời các bạn tải về tham khảo chi tiết bài viết dưới đây.
Xác định vận tốc tuyệt đối, vận tốc tương đối và vận tốc kéo theo
A. Phương pháp & Ví dụ
- Xác định các hệ quy chiếu:
- hệ quy chiếu tuyệt đối: là hệ quy chiếu gắn với vật đứng yên
- hệ quy chiếu tương đối: là hệ quy chiếu gắn với vật có vật khác chuyển động trong nó
- Gọi tên các vật:
- số 1: vật chuyển động
- số 2: vật chuyển động độc lập đối với hệ quy chiếu tuyệt đối
- số 3: vật đứng yên đối với hệ quy chiếu tuyệt đối.
- Xác định các đại lượng: v13; v12; v23
- Vận dụng công thức cộng vận tốc: v13→ = v12→ + v23→
Khi cùng chiều: v13 = v12 + v23
Khi ngược chiều: v13 = v12 – v23
Quãng đường: s = v13.t
Bài tập vận dụng
Bài 1: Lúc trời không gió, một máy bay bay từ địa điểm M đến N theo 1 đường thẳng với v = 120 m/s mất thời gian 2 giờ. Khi bay trở lại, gặp gió nên bay mất thời gian 2 giờ 20 phút. Xác định vận tốc gió đối với mặt đất.
Hướng dẫn:
Gọi số 1 gắn với máy bay; số 2: gió; số 3: mặt đất
Khi máy bay bay từ M đến N lúc không gió: v23 = 0; v13 = 120 m/s ⇒ v12 = 120 m/s; s = MN = v13.t = 120.7200 = 864000 m
Khi bay từ N đến M ngược gió: 
Mà v13 = v12 – v23 ⇒ v23 = v12 – v13 = 120 – 102,9 = 17,1 m/s
Bài 2: Một ca nô chuyển động thẳng đều xuôi dòng từ A đến B mất 2h và khi ngược dòng từ B về A mất 3h. Hỏi nếu ca nô tắt máy và để trôi theo dòng nước từ A đến B thì mất mấy giờ? Biết vận tốc ca nô so với nước không đổi khi đi xuôi và ngược, vận tốc của nước chảy cũng không đổi?
Hướng dẫn:
Gọi vận tốc của ca nô so với nước là v, vận tốc của nước là v0, thời gian khi xuôi là t1, thời gian khi ngược dòng là t2, thời gian ca nô trôi từ A đến B là t, quãng đường AB là s.
Ta có:
+ khi xuôi dòng: s = (v + v0).t1
+ khi ngược dòng : s = (v – v0).t2
+ khi ca nô trôi: s = v0.t
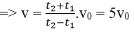
Từ đó ta có : (v + v0).t1 = (v – v0).t2 ⇒ (t2 – t1)v = (t2 + t1)v0

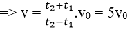
Do đó: s = v0t = (5v0 + v0)t1
⇒ t = 6t1 = 12 h
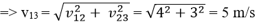
Bài 3: Một cái phà chuyển động sang một con sông rộng 1 km, thân phà luôn vuông góc với bờ sông. Thời gian để phà sang sông là 15 phút. Vì nước chảy nên phà trôi xuôi 500 m về phía hạ lưu so với vị trí ban đầu. Tính vận tốc của dòng nước, vận tốc của phà đối với nước và vận tốc của phà đối với bờ?
Hướng dẫn:
Gọi vận tốc của phà so với bờ là v13, vận tốc của phà so với nước là v12, vận tốc của nước so với bờ là v23.
Theo công thức cộng vận tốc ta có: v13→ = v12→ + v23→
Trong đó, vận tốc phà so với nước 
vận tốc của nước so với bờ 
Vì phà luôn chuyển động vuông góc với bờ sông nên v12→ vuông góc với v23→. Do đó:
vận tốc của phà so với bờ

Bài 4: Một chiếc thuyền chuyển động ngược chiều dòng nước với v = 7,5 km/h đối với dòng nước. Vận tốc chảy của dòng nước đối với bờ sông là 2,1 km/h. Vận tốc của thuyền đối với bờ sông là bao nhiêu?
Hướng dẫn:
Gọi vận tốc của thuyền so với bờ là v13, vận tốc của thuyền so với nước là v12, vận tốc của nước so với bờ là v23
Theo công thức cộng vận tốc: v13→ = v12→ + v23→
Trong bài này, thuyền đi ngược chiều dòng nước:
v13 = v12 – v23 = 7,5 – 2,1 = 5,4 km/h
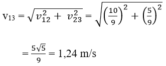
Bài 5: Một dòng sông rộng 100 m và dòng nước chảy với vận tốc 3m/s so với bờ. Một chiếc thuyền đi sang ngang sông với vận tốc 4 m/s so với dòng nước.
a. Tính vận tốc của thuyền so với bờ sông
b. Tính quãng đường mà thuyền đã chuyển động được khi sang được đến bờ bên kia
c. Thuyền bị trôi về phía hạ lưu một đoạn bao xa so với điểm dự định đến?
Hướng dẫn:
Gọi vận tốc của thuyền so với bờ là v13, vận tốc của thuyền so với nước là v12, vận tốc của nước so với bờ là v23, điểm A là điểm thuyền bắt đầu chuyển động, điểm B là điểm tàu đến theo dự định, điểm D là điểm tàu đến trong thực tế

Theo bài ra, ta có:
v23 = 3 m/s
v12 = 4 m/s
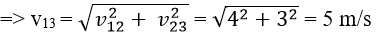
a. Theo công thức cộng vận tốc: v13→ = v12→ + v23→
Mà v12→ vuông góc với v23→

b. Thời gian thuyền đi từ A đến B bằng thời gian thuyền đi từ A đến D: t12 = t13
Ta có: 
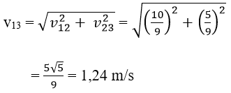
⇒ AD = t13.v13 = 25. 5 = 125 m
c. Đoạn cần tìm là đoạn BD
Ta có:

B. Bài tập trắc nghiệm
Câu 1: Người quan sát ở trên mặt đất thấy "Mặt Trời mọc đằng Đông và lặn đằng Tây", lý do là:
A. Trái Đất tự quay theo chiều từ Đông sang Tây
B. Trái Đất tự quay theo chiều từ Tây sang Đông
C. Mặt Trời chuyển động quanh Trái Đất theo chiều từ Đông sang Tây
D. Mặt Trời chuyển động quanh Trái Đất theo chiều từ Tây sang Đông
Xét sự chuyển động của Trái Đất quanh Mặt Trời và sự tự quay quanh trục của Trái Đất, trả lời câu 2, 3, 4
Câu 2: Vị trí có vận tốc tức thời lớn nhất là vị trí ứng với lúc:
A. giữa trưa
B. nửa đêm
C. bình minh
D. hoàng hôn
A. giữa trưa
B. nửa đêm
C. bình minh
D. hoàng hôn
Câu 4: Các vị trí có vận tốc tức thời bằng nhau về độ lớn là các vị trí ứng với những lúc:
A. giữa trưa và nửa đêm
B. giữa trưa và hoàng hôn
C. bình minh và hoàng hôn
D. không có các vị trí như vậy
Câu 5: Hai ô tô A và B đang chạy cúng phương ngược chiều với vận tốc không đổi v. Hỏi người quan sát đứng ở vị trí nào sẽ thấy mình đang chuyển động với vận tốc 2v?
A. ở mặt đất
B. ở một ô tô khác đang chạy trên đường
C. ở một ô tô khác đang chuyển động với vận tốc v vuông góc với hai vận tốc kia
D. Cả hai đáp án A và B đều đúng
Một tàu hoả chuyển động thẳng đều với v = 10 m/s so với mặt đất. Một người đi đều trên sàn tàu có vận tốc 1m/s so với tàu. Xác định vận tốc của người đó so với mặt đất trong các trường hợp ở các câu 6, 7, 8:
Câu 6: Người và tàu chuyển động cùng chiều:
A. 10 m/s
B. 11 m/s
C. 1 m/s
D. 9 m/s
Câu 7: Người và tàu chuyển động ngược chiều:
A. 10 m/s
B. 11 m/s
C. 1 m/s
D. 9 m/s
Câu 8: Người và tàu chuyển động vuông góc với nhau:
A. 10,5 m/s
B. 11 m/s
C. 10,05 m/s
D. 9 m/s
Câu 9: Một canô chạy thẳng đều xuôi dòng từ A đến B cách nhau 36 km mất khoảng thời gian 1,5h. Vận tốc của dòng chảy là 6 km/h. Vận tốc của canô đối với dòng chảy là:
A. 18 m/s
B. 6 km/h
C. 12 km/h
D. 18 km/h
Câu 10: Một thuyền máy chuyển động xuôi dòng từ M đến N rồi chạy ngược dòng từ N đến M với tổng cộng thời gian là 4 giờ. Biết dòng nước chảy với v = 1,25 m/s so với bờ, vận tốc của thuyền so với dòng nước là 20 km/h. Quãng đường MN là:
A. 37,9 km
B. 38,9 km
C. 40 km
D. 40,9 km
Câu 11: Hai đầu máy xe lửa đều chạy trên cùng đoạn thằng với vận tốc v1, v2. Hỏi khi hai đầu máy chạy ngược chiêu nhau thì vận tốc của đầu máy thứ nhất so với đầu máy thứ hai là bao nhiêu?
A. v12 = v1
B. v12 = v2
C. v12 = v1 + v2
D. v12 = v1 – v2
Câu 12: Một hành khách ngồi trên toa tàu A nhìn qua cửa sổ thấy toa tàu B bên cạnh và gạch lát sân ga đều chuyển động như nhau. Chọn khẳng định đúng:
A. Tàu B đứng yên, tàu A chạy
B. Cả hai tàu đều đứng yên
C. Tàu A đứng yên, tàu B chạy
D. Cả hai tàu đều chạy
Câu 13: Vật thứ nhất chuyển động với vận tốc v1→, vật thứ hai chuyển động với vận tốc v2→. Gọi v21→ là vận tốc của vật thứ hai so với vật thứ nhất. Biểu thức đúng là:
A. v21→ = v1→ - v2→
B. v21→ = v2→ - v1→
C. v21→ = v1→ + v2→
C. v21→ = | v2→ | - | v1→ |
Câu 14: Chọn khẳng định đúng. Đứng ở Trái Đất ta sẽ thấy:
A. Trái Đất đứng yên, Mặt Trăng quay quanh Trái Đất và Mặt Trời quay quanh Mặt Trăng
B. Trái Đất đứng yên, Mặt Trăng và Mặt Trời quay quanh Trái Đất
C. Mặt Trăng đứng yên, Trái Đất quay quanh Mặt Trăng và Mặt Trời quay quanh Trái Đất
D. Mặt trời đứng yên, Trái Đất quay quanh Mặt Trời và Mặt Trời quay quanh Trái Đất
Câu 15: Một canô đi từ bến sông P đến Q rồi từ Q đến P. Hai bến sông cách nhau 21 km trên một đường thẳng. Biết vận tốc của canô khi nước không chảy là 19,8 km/h và vận tốc của dòng nước so với bờ sông là 1,5 m/s. Thời gian chuyển động của canô là:
A. 4250s
B. 6250s
C. 8250s
D. 1250s
| Câu | 1 | 2 | 3 | 4 | 5 | 6 | 7 | 8 | 9 | 10 | 11 | 12 | 13 | 14 | 15 |
| Đ/án | A | B | A | C | D | B | D | C | D | A | C | A | B | B | C |
Mời tham khảo thêm:
- Làm online: Bài tập Tính tương đối của chuyển động. Công thức cộng vận tốc
- Lý thuyết: Tính tương đối của chuyển động. Công thức cộng vận tốc
....................................
Để có kết quả cao hơn trong học tập, VnDoc xin giới thiệu tới các bạn học sinh tài liệu Trắc nghiệm Vật lý 10, Giải bài tập Vật Lí 10, Giải bài tập Hóa 10 nâng cao, .... được biên soạn và đăng tải chi tiết.