Giải bài tập Vật lý 10 bài 29: Quá trình đẳng nhiệt. Định luật Bôi-lơ-Ma-ri-ốt
Giải bài tập Vật lý 10 bài 29
VnDoc.com xin giới thiệu tới bạn đọc tài liệu: Giải bài tập Vật lý 10 bài 29: Quá trình đẳng nhiệt. Định luật Bôi-lơ-Ma-ri-ốt, tài liệu sẽ giúp các bạn học sinh rèn luyện cách giải nhanh các bài tập Vật lý lớp 10 một cách hiệu quả nhất. Mời các bạn học sinh và thầy cô tham khảo chi tiết bài viết dưới đây nhé.
- Giải bài tập Vật lý 10 bài 25: Động năng
- Giải bài tập Vật lý 10 bài 26: Thế năng
- Giải bài tập Vật lý 10 bài 27: Cơ năng
- Giải bài tập Vật lý 10 bài 28: Cấu tạo chất. Thuyết động học phân tử chất khí
- Giải bài tập Vật lý 10 bài 30: Quá trình đẳng tích. Định luật Sác-lơ
Giải bài tập Vật lý 10 bài 29: Quá trình đẳng nhiệt. Định luật Bôi-lơ-Ma-ri-ốt
Bài 1 trang 159 SGK Vật Lý 10
Kể tên các thông số trạng thái của một lượng khí.
Lời giải:
Có 3 thông số trạng thái của một lượng khí:
+ Áp suất (P). Đơn vị áp suất: Paxcan (Pa); N/m2; atmôtphe (atm); milimet thủy ngân (mmHg).
1Pa = 1 N/m2; 1 atm = 1,013.105 Pa; 1 atm = 760 mmHg.
+ Thể tích (V). Đơn vị: cm3; lít m3.
1 cm3 = 10(-6) m3; 1 lít = 1dm3 = 10(-3)(m3)
+ Nhiệt độ tuyệt đối (T): Đơn vị: Kenvin kí hiệu K.
- Liên hệ nhiệt độ kenvin và nhiệt độ cenciut: T = t + 273
Bài 2 trang 159 SGK Vật Lý 10
Thế nào là quá trình đẳng nhiệt?
Lời giải:
Quá trình đẳng nhiệt: Là quá trình biến đổi trạng thái của một lượng khí xác định, trong đó nhiệt độ được giữ không đổi.
Bài 3 trang 159 SGK Vật Lý 10
Phát biểu và viết hệ thức của định luật Bôi-lơ-Ma-ri-ốt.
Lời giải:
Định luật Bôilơ-Mariốt: Trong quá trình đẳng nhiệt của một lượng khí nhất định, áp suất tỉ lệ nghịch với thể tích.
Công thức:
\(P_1V_1=\ P_2V_2\ =\ P_nV_n=\ const\) hay
\(P\ =\frac{1}{V}\)
Bài 4 trang 159 SGK Vật Lý 10
Đường đẳng nhiệt trong hệ tọa độ (p, V) có dạng gì?
Lời giải:
Đường biểu diễn sự biến thiên của áp suất theo thể tích khi nhiệt độ không đổi gọi là đường đẳng nhiệt.
Trong hệ tọa độ (p, V) đường này là đường hypebol.
Bài 5 trang 159 SGK Vật Lý 10
Trong các đại lượng sau đây, đại lượng nào không phải là thông số trạng thái của một lượng khí?
A. Thể tích
B. Khối lượng
C. Nhiệt độ tuyệt đối
D. Áp suất
Lời giải:
Chọn B.
Vì khối lượng có đơn vị là kilogam (kg).
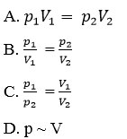
Bài 6 trang 159 SGK Vật Lý 10
Trong các hệ thức sau đây hệ thức nào không phù hợp với định luật Bôi-lơ-Ma-ri-ốt?

Lời giải:
Chọn C.
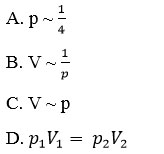
Bài 7 trang 159 SGK Vật Lý 10
Hệ thức nào sau đây phù hợp với định luật Bôi-lơ-Ma-ri-ốt?

Lời giải:
Chọn A.
Bài 8 trang 159 SGK Vật Lý 10
Một xilanh chứa 150cm3 khí ở áp suất 2.105 Pa.Pit-tông nén khí trong xilanh xuống còn 100cm3.Tính áp suất của khí trong xilanh lúc này, coi nhiệt độ như không đổi.
Lời giải:

Bài 9 trang 159 SGK Vật Lý 10
Một quả bóng có dung tích 2,5 lít. Người ta bơm không khí ở áp suất 105 Pa vào bóng. Mỗi lần bơm được 125cm3 không khí. Tính áp suất của không khí trong quả bóng sau 45 lần bơm. Coi quả bóng trước khi bơm không có không khí và trong khi bơm nhiệt độ của không khí không thay đổi.
Lời giải:
45 lần bơm đã đưa vào quả bóng một lượng khí ở bên ngoài có thể tích và áp suất tương ứng là:
V1 = 45. 125 cm3 = 5625 cm3
P1 = 105 Pa
Khi nhốt hết lượng khí trên vào quả bóng thì nó có thể tích là bằng thể tích quả bóng:
V2= 2,5 lít = 2500 cm3
và một áp suất là P2
Quá trình là đẳng nhiệt, áp dụng công thức định luật Bôi-lơ-Ma-ri-ốt:
\(P_1V_1=\ P_2V_2\) ⇒
\(P_2=\frac{P_1V_1}{V_2}=\frac{10^5.5625}{2500}=2,25.10^5\) (Pa)
Giải bài tập Vật lý 10 bài 29: Quá trình đẳng nhiệt. Định luật Bôi-lơ-Ma-ri-ốt vừa được VnDoc.com gửi tới bạn đọc. Mời bạn đọc cùng tham khảo thêm tài liệu học tập các môn Toán lớp 10, Hóa học lớp 10...