Trắc nghiệm Vật lý 10: Ôn tập cuối chương 4
Vật lý lớp 10: Ôn tập cuối chương 4
Để giúp các bạn học sinh học tập hiệu quả hơn môn Vật lý lớp 10. VnDoc.com đã tổng hợp bộ câu hỏi trắc nghiệm ôn tập cuối chương 4 kèm theo đáp án và lời giải chi tiết giúp các bạn học sinh có kết quả cao hơn trong học tập. Qua bài trắc nghiệm các bạn học sinh rèn luyện giải bài tập Vật lý 10 một cách chính xác nhất. Mời bạn đọc tham khảo tài liệu: Trắc nghiệm Vật lý 10: Ôn tập cuối chương 4.
Trắc nghiệm Vật lý 10 chương 4: Định luật bảo toàn động lượng
Trắc nghiệm Vật lý 10 chương 4: Động năng
Trắc nghiệm Vật lý 10 chương 4: Thế năng
Trắc nghiệm Vật lý 10 chương 4: Cơ năng
Trắc nghiệm Vật lý 10 chương 5: Cấu tạo chất - Thuyết động học phân tử chất khí
Trắc nghiệm Vật lý 10: Ôn tập cuối chương 4
Câu 1: Đơn vị động lượng tương đương với đơn vị?
A. N.s.
B. N/s.
C. kg.m/s2.
D. kg.m2/s.
Câu 2: Một vật khối lượng 500 g chuyển động thẳng theo chiều âm trục tọa độ x với tôc độ 43,2 km/h. Động lượng của vật có giá trị là?
A. 6 kg.m/s.
B. – 3 kg.m/s.
C. – 6 kg.m/s.
D. 3 kg.m/s.
Câu 3: Một chất điểm có khối lượng m bắt đầu trượt không ma sát từ trên mặt phẳng nghiêng xuống. Gọi α là góc của mặt phẳng nghiêng so với mặt phẳng nằm ngang. Động lượng của chất điểm ở thời điểm t là?
A. p = mg.sinα.t.
B. p = mgt.
C. p = mg.cosα.t.
D. p = g.sinα.t.
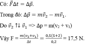
Câu 4: Một vật có khối lượng 0,5 kg trượt không ma sát trên một mặt phẳng ngang với tốc độ 5 m/s đến đập vào một bức tường thẳng đứng theo phương vuông góc với tường. Sau va chạm vật bật ngược trở lại phương cũ với tốc độ 2 m/s. Thời gian tương tác là 0,2 s. Lực F→ do tường tác dụng lên vật có độ lớn bằng?
A. 1750 N.
B. 17,5 N.
C. 175 N.
D. 1,75 N.
Câu 5: Một khẩu đại bác có khối lượng 4 tấn, bắn đi một viên đạn theo phương ngang có khối lượng 10 kg với vận tốc 400 m/s. Coi như lúc đầu, hệ đại bác và đạn đứng yên. Tốc độ giật lùi của đại bác ngay sau đó bằng?
A. 3 m/s.
B. 2 m/s.
C. 4 m/s.
D. 1 m/s.
Câu 6: Lực nào sau đây không phải lực thế?
A. Lực ma sát.
B. Trọng lực.
C. Lực đàn hồi.
D. Lực hấp dẫn.
Câu 7: Một vật có khối lượng 1 kg trượt không vận tốc đầu từ đỉnh một mặt phẳng nghiêng dài 3 m, cao 1,2 m. Vận tốc của vật ở chân mặt phẳng nghiêng bằng 2 m/s. Lấy g = 10 m/s2. Công của lực ma sát bằng?
A. – 10 J.
B. – 1 J.
C. – 20 J.
D. – 2 J.
Câu 8: Một khối hộp có khối lượng 10 kg được đẩy lên cao 3 m theo mặt phẳng nghiêng góc 30o với tốc độ không đổi bởi lực F→ dọc theo mặt phẳng nghiêng. Hệ số ma sát trượt giữa vật và mặt phẳng là 0,2. Lấy g = 10 m/s2. Công của lực F→ bằng?
A. 457 J.
B. 404 J.
C. 202 J.
D. 233 J.
Câu 9: Một ô tô chạy đều trên đường nằm ngang với vận tốc 54 km/h. Công suất của động cơ ô tô là 72 kW. Lực phát động của động cơ ô tô là?
A. 420 N.
B. 4800 N.
C. 133 N.
D. 4200 N.
Câu 10: Một động cơ điện có hiệu suất là 80%, phải kéo đều một buồng thang máy nặng 400 kg đi lên thẳng đúng 1200 m trong thời gian 2 phút theo đường thông của một mỏ thanh. Lấy g = 10 m/s2. Công suất điện cần sử dụng là?
A. 3.2 kW.
B. 5,0 kW.
C. 50 kW.
D. 32 kW.
Câu 11: Trong chuyển động bằng phản lực, cả khối lượng và vận tốc của tên lửa đều thay đổi. Nếu khối lượng của tên lửa giảm một nửa, còn vận tốc của nó tăng lên gấp đôi thì động năng của tên lửa?
A. Tăng gấp đôi.
B. Tăng gấp bốn.
C. Không đổi.
D. Giảm một nửa
Câu 12: Hai vật có cùng khối lượng, chuyển động cùng một tốc độ nhưng theo hai phương khác nhau. Tìm câu sai?
A. Hai vật có cùng động năng nhưng có động lượng khác nhau.
B. Động lượng của hệ hai vật gấp đôi động lượng của mỗi vật.
C. Độ lớn động lượng hai vật bằng nhau vì chúng có cùng khối lượng và vận tốc.
D. Động năng của hệ hai vật gấp đôi động năng của mỗi vật.
Câu 13: Công thức thể hiện đúng mối liên hệ giữa động lượng và động năng của cùng một vật là?
A. p = 2mWđ.
B. p2 = 2mWđ.
C. Wđ = 2mp.
D. Wđ2 = 2mp.
Câu 14: Một ô tô khối lượng 3 tấn đang chuyển động với vận tốc không đỏi 36 km/h trên đường nằm ngang. Người ta tác dụng một lực hãm lên ô tô và ô tô chuyển động chậm dần đều, sau khi đi được 10 thì dừng lại. Cường độ trung bình của lực hãm là?
A. 15000 N.
B. 1500 N.
C. 10000 N.
D. 1000 N.
Câu 15: Một vật khối lượng 3 kg đặt ở một vị trí trong trọng trường. Lấy g = 10 m/s2. Nếu tại mặt đất thế năng trọng trường của vật là – 900 J thì mốc thế năng được chọn có độ cao cách mặt đất là?
A. 20 m.
B. 25 m.
C. 30 m.
D. 35 m.
Câu 16: Khi bị nén 3 cm một lò xo có thế năng đàn hồi bằng 0,18 J. Độ cứng cảu lò xo bằng?
A. 200 N/m.
B. 40 N/m.
C. 500 N/m.
D. 400 N/m.
Câu 17: Một lò xo có độ dài ban đầu là 10 cm. Người ta kéo dãn để lò xo dài 14 cm. Biết k = 150 N/m. Thế năng đàn hồi lò xo khi đó là?
A. 2 J.
B. 0,2 J.
C. 1,2 J.
D. 0,12 J.
Câu 18: Một lò xo được treo thẳng đứng có độ cứng 10 N/m và chiều dài tự nhiên 10 cm. Treo vào đầu dưới của lò xo một quả cân khối lượng 100 g. Giữ quả cân ở vị trí sao cho lò xo có chiều dài 25 cm. Lấy g = 10 m/s2, bỏ qua khói lượng của lò xo, chọn mốc thế năng tại vị trí cân bằng. Thế năng tổng cộng của hệ (lò xo + quả cân) bằng?
A. 0,0125 J.
B. 0,0625 J.
C. 0,05 J.
D. 0,02 J.
Câu 19: Trong một hệ kín, đại lượng luôn được bảo toàn là?
A. Động năng.
B. Thế năng.
C. Cơ năng.
D. Động lượng.
Câu 20: Trong dao động của một con lắc đơn, tại vị trí cao nhất thì?
A. Cơ năng bằng 0.
B. Thế năng đạt giá trị cực đại.
C. Động năng đặt giá trị cực đại.
D. Thế năng bằng động năng.
Câu 21: Nhận xét nào sau đây là sai? Khi vật chỉ chịu tác dụng của các lực thế thì?
A. Cơ năng có giá trị không đổi.
B. Độ tăng động năng bằng độ giảm thế năng.
C. Đ̣ giảm động năng bằng độ tăng thế năng.
D. Động năng biến thiên tỉ lệ nghịch với thế năng.
Câu 22: Một vật có khối lượng 200 g bắt đầu rơi tự do từ điểm M cách mặt đất 10 m. Tại điểm N động năng của vật gấp 3 lần thế năng. Lấy g = 10 m/s2, bỏ qua mọi lực cản của không khí. Thời gian chuyển động của vật trên đoạn MN là?
A. 1,5 s.
B. 0,2 s.
C. 1,2 s.
D. 0,5 s.
Câu 23: Một vật nhỏ được treo vào đầu tự do của một sợi dây mảnh, không co dãn chiều dài 1 m. Ban đầu kéo cho dây treo hợp với phương thẳng đứng góc 30o rồi chuyền cho vật vận tốc 0,5 m/s hướng về vị trí cân bằng. Bỏ qua mọi ma sát, lấy g = 10 m/s2. Tại vị trí vật có vận tốc bằng một nửa vận tốc cực đại thì góc hợp giữa dây treo hợp với phương thẳng đứng là?
A. 27,13o.
B. 32,21o.
C. 15,64o.
D. 28,75o.
Câu 24: Một viên đạn khối lượng 1 kg bay với tốc độ 100 m/s đến cắm vào một toa xe chở cát có khối lượng 1 tấn đang chuyển động với tốc độ 1m/s. Nhiệt lượng tỏa ra trong trường hợp xe đi ngược chiều với đạn bằng?
A. 5906,2 J.
B. 5093,8 J.
C. 6038,5 J.
D. 5385,2 J.
Câu 25: Một vật khối lượng 1,5 kg chuyển động tới va chạm đàn hồi xuyên tâm với một vật khác lúc đầu đứng yên. Vật thứ nhất sau va chạm tiếp tục chuyển động theo phương ban đầu nhưng với vận tốc bằng một nửa vận tốc đầu của nó. Khối lượng của vật bị va chạm là?
A. 4,5 kg.
B. 1 kg.
C. 0,75 kg.
D. 0,5 kg.
Hướng dẫn giải và đáp án trắc nghiệm Vật lý 10
| Câu | 1 | 2 | 3 | 4 | 5 | 6 | 7 | 8 | 9 | 10 |
| Đáp án | A | C | A | B | D | A | A | B | B | C |
| Câu | 11 | 12 | 13 | 14 | 15 | 16 | 17 | 18 | 19 | 20 |
| Đáp án | A | B | B | A | C | D | D | A | D | B |
| Câu | 21 | 22 | 23 | 24 | 25 | |||||
| Đáp án | D | C | A | B | D |
Câu 2: C
p = - mv = -0,5.12 = -6 kg.m/s.
Câu 3: A
Gia tốc chuyển động trượt không ma sát của vật trên mặt phẳng nghiêng:
a = gsinα.
Động lượng cảu vật tại thởi điểm t: p = mv = mat = mgsinα.t
Câu 4: B

Câu 5: D
Ngay cả khi bắn, hệ (súng + đạn) là một hệ kín nên động lượng hệ không đổi:

Câu 8: B
Vật trượt lên với tốc độ không đổi bởi lực F→ dọc theo mặt phẳng nghiêng nên theo định luật II Niu-tơn có:

Câu 12: B
Động lượng là một đại lượng vectơ nên nếu hai vật chuyển động theo các phương pháp khác nhau thì tổng động lượng của hệ có độ lớn khác tổng độ lớn động lượng của hai vật.
Câu 13: B
\(W_d=\ \frac{mv^2}{2}=\ \frac{\left(mv\right)^2}{2m}\) ⇒ P2 = 2mWđ
Câu 14: A
Theo định lí biến thiên của động năng: Wđ2 - Wđ1 = AFC

Câu 22: C
Chọn gốc thế năng tại mặt đất.
Bỏ qua mọi lực cản không khí, cơ năng của vật rơi được bảo toàn: WM = WN.
⇒ WtM + 0 = WtN + WđN = 4WtN ⇒ zM = 4zN ⇒ MN = zM – zN = 3/4zM = 7,5 m.
Thời gian rơi tự do trên đoạn MN là:

Câu 24: B
Áp dụng định luật bảo toàn động lượng cho hệ (xe + đanh) ngay khi va chạm
