Bài tập Phép cộng và phép nhân
Bài tập Toán lớp 6 bài 5: Phép cộng và phép nhân bao gồm 2 phần trắc nghiệm và tự luận có đáp án và hướng dẫn giải chi tiết cho các em học sinh tham khảo, củng cố rèn luyện kỹ năng giải Toán Chương 1 lớp 6. Mời các em học sinh tham khảo chi tiết.
Bài tập Phép cộng và phép nhân
Câu hỏi trắc nghiệm Phép cộng và phép nhân Toán lớp 6
Câu 1. Tính nhanh tổng 53 + 25 + 47 + 75?
A. 200
B. 201
C. 300
D. 100
Đáp án và hướng dẫn giải
Ta có: 53 + 25 + 47 + 75 = (53 + 47) + (25 + 75)
= 100 + 100 = 200
Chọn đáp án A.
Câu 2. Kết quả của phép tính 547.63 + 547.37?
A. 54700
B. 5470
C. 45700
D. 54733
Đáp án và hướng dẫn giải
Ta có: 547.63 + 547.37 = 547.(63 + 37)
= 547.100 = 54700.
Chọn đáp án A.
Câu 3. Tính tích 25.9676.4?
A. 1000.9676
B. 9676 + 100
C. 9676.100
D. 9676.10
Đáp án và hướng dẫn giải
Ta có: 25.9676.4 = 9676.(25.4)
= 9676.100
Chọn đáp án C.
Câu 4. Kết quả của phép tính 1245 + 7011?
A. 8625
B. 8526
C. 8255
D. 8256
Đáp án và hướng dẫn giải
Ta có 1245 + 7011 = 8256
Chọn đáp án D.
Câu 5. Tính nhanh 125.1975.4.8.25?
A. 1975000000
B. 1975000
C. 19750000
D. 197500000
Đáp án và hướng dẫn giải
Ta có: 125.1975.4.8.25 = 1975.(125.8).(25.4) = 1975.1000.100 = 197500000
Chọn đáp án D.
Câu 6. Tính tổng 1 + 2 + 3 + .... + 2018 bằng?
A. 4074342
B. 2037171
C. 2036162
D. 2035152
Đáp án và hướng dẫn giải
Số các số tự nhiên liên tiếp từ 1 đến 2018 là: 2018 - 1 + 1 = 2018
Như vậy từ 1 đến 2018 có số các số hạng là 2018.
Tổng 1 + 2 + 3 + .... + 2018 = (1 + 2018).2018 : 2 = 2037171
Chọn đáp án B.
Câu 7. Không tính giá trị cụ thể, hãy so sánh A = 1987657.1987655 và B = 1987656.1987656
A. A > B
B. A < B
C. A ≤ B
D. A = B
Đáp án và hướng dẫn giải
Ta có: A = 1987657.1987655 = (1987656 + 1)(1987656 - 1) = 1987656.1987656 - 1
B = 1987656.1987656
Khi đó A < B
Chọn đáp án B.
Câu 8. Tổng 1 + 3 + 5 + 7 + .... + 97 có
A. Số có chữ số tận cùng là 7.
B. Số có chữ số tận cùng là 2.
C. Số có chữ số tận cùng là 3.
D. Số có chữ số tận cùng là 1.
Đáp án và hướng dẫn giải
Số các số tự nhiên lẻ từ 1 đến 97 là (97 - 1):2 + 1 = 49 (số)
Do đó: 1 + 3 + 5 + 7 + .... + 97 = (1 + 97).49:2 = 2401
Tổng là số có chữ số tận cùng là 1
Chọn đáp án D.
Câu 9. Tìm số tự nhiên x thỏa mãn (x - 4).1000 = 0
A. x = 4
B. x = 3
C. x = 0
D. x = 1000
Đáp án và hướng dẫn giải
Ta có: (x - 4).1000 = 0 nên x - 4 = 0 (vì 1000 ≠ 0)
Suy ra ta có: x - 4 = 0 ⇔ x = 4
Chọn đáp án A.
Câu 10. Số tự nhiên nào dưới đây thỏa mãn 2018.(x - 2018) = 2018
A. x = 2017
B. x = 2018
C. x = 2019
D. x = 2020
Đáp án và hướng dẫn giải
Ta có: 2018.(x - 2018) = 2018
⇔ x - 2018 = 2018 : 2018
⇔ x - 2018 = 1
⇔ x = 2019
Chọn đáp án C.
Câu 11. Kết quả của phép tính 879.2a + 879.5a + 879.3a là
A. 8790
B. 87900a
C. 8790a
D. 879a
Đáp án và hướng dẫn giải
Ta có: 879.2a + 879.5a + 879.3a = 879.(2a + 3a + 5a)
= 87.10a = 8790a
Chọn đáp án C.
Bài tập tự luận phép cộng và phép nhân Toán lớp 6
Câu 1: Một tàu cần chở 1200 hành khách. Mỗi toa có 12 khoang, mỗi khoang có 8 chỗ ngồi. Hỏi tầu hỏa cần ít nhất bao nhiêu toa để chở hết chỗ hành khách đó?
Đáp án và hướng dẫn giải
Mỗi toa có tất cả 12.8 = 96 (chỗ ngồi)
Với 1200 hành khách cần số toa là 1200:96 = 12,5 (toa)
Vậy cần ít nhất 13 toa tàu để chở hết chỗ hành khách đó.
Câu 2: Để đánh số trang của một quyển sách dày 2746 trang, ta cần dùng bao nhiêu chữ số?
Đáp án và hướng dẫn giải
+ Để đánh số trang từ 1 đến 9 cần (9 - 1):1 + 1 = 9 (chữ số)
+ Để đánh số trang từ 10 đến 99 cần [(99 - 10):1 + 1].2 = 180 (chữ số)
+ Để đánh số trang từ 100 đến 999 cần [(999 - 100):1 + 1].3 = 2700 (chữ số)
+ Để đánh số trang từ 1000 đến 2746 cần [(2746 - 1000):1 + 1].4 = 6988 (chữ số)
Vậy để đánh số trang quyển sách 2746 trang cần 9 + 180 + 2700 + 6988 = 9877 (chữ số)
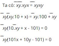
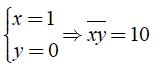
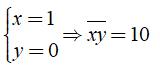
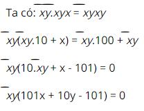
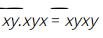
Câu 3: Tìm số xy biết
![]()
Đáp án và hướng dẫn giải
Ta có:


Ngoài các dạng bài tập Toán 6, các em học sinh tham khảo Trắc nghiệm phép cộng và phép nhân hay Lý thuyết Toán lớp 6: Phép cộng và phép nhân và các bài giải SGK môn Toán lớp 6, Môn Ngữ văn 6, Môn Vật lý 6, môn Sinh Học 6, Lịch sử 6, Địa lý 6..... chi tiết mới nhất trên VnDoc.com.