Các công thức lượng giác cần ghi nhớ


Các công thức lượng giác cần ghi nhớ
Lượng giác là một phần quan trọng trong phần thi THPT Quốc gia. Để làm tốt bài thi lượng giác, các bạn cần phải học thuộc các công thức lượng giác. Để giúp các bạn ghi nhớ, VnDoc.com xin giới thiệu "Các công thức lượng giác cần ghi nhớ". Hy vọng tài liệu này sẽ giúp các bạn tự ôn luyện một cách dễ dàng. Mời các bạn tham khảo chi tiết tại đây nhé.
- Tuyển tập 100 hệ phương trình luyện thi đại học
- Tuyển tập 20 đề thi thử THPT Quốc gia môn Toán năm 2021
- Đề thi thử THPT Quốc gia môn Toán lần 1 năm 2021 trường THPT Chuyên Vĩnh Phúc
- Bài tập trắc nghiệm hàm số lượng giác và phương trình lượng giác
VnDoc.com xin gửi tới bạn đọc bài viết Các công thức lượng giác cần ghi nhớ để bạn đọc cùng tham khảo. Bài viết được tổng hợp lại những công thức về lượng giác cần ghi nhớ như công thức lượng giác cơ bản, giá trị lượng giác của cung có liên quan đặc biệt, công thức cộng lượng giá, công thức nhân đôi nhân ba, công thức hạ bậc, công thức biến tích thành tổng, công thức biến đổi tổng thành tích... Mời các bạn cùng tham khảo chi tiết và tải về tại đây nhé.
Bảng công thức lượng giác đầy đủ
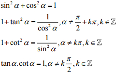
1. Công thức lượng giác cơ bản nên nhớ

sin3α + cos3α = (sinα + cosα)(1 - sinαcosα)
sin3α - cos3α = (sinα - cosα)(1 + sinαcosα)
sin4α - cos4α = sin2α - cos2α = -cos2α
sin6α + cos6α = 1 - 3sin2α cos2α
sin6α - cos6α = -cos2α(1 - sin2αcos2α)
2. Giá trị lượng giác của cung có liên quan đặc biệt
Cung đối nhau: α và -α
cos(-α) = cosα sin(-α) = sinα
tan(-α) = tanα cot(-α) = cotα
Cung bù nhau: α và π - α
sin(π - α) = sinα cos(π - α) = -cosα
tan(π - α) = -tanα cot(π - α) = -cotα
Cung hơn kém: π : α và α + π
sin(α + π) = sinsα cos(α + π) = -cosα
tan(α + π) = tanα cot(α + π) = cotα

(Còn tiếp)
Trên đây VnDoc.com vừa giới thiệu tới các bạn Các công thức lượng giác cần ghi nhớ, mong rằng qua bài viết này các bạn có thể học tập tốt hơn môn Toán lớp 12. Mời các bạn cùng tham khảo thêm các môn Ngữ văn 12, tiếng Anh 12, đề thi học kì 1 lớp 12, đề thi học kì 2 lớp 12...
Mời bạn đọc cùng tham gia nhóm Tài liệu học tập lớp 12 để có thêm tài liệu học tập nhé