Đề kiểm tra 45 phút học kì 1 môn Vật lý lớp 10 trường THPT Phan Ngọc Hiển, Cà Mau năm học 2016 - 2017
Đề kiểm tra 45 phút học kì 1 môn Vật lý lớp 10
Đề kiểm tra 45 phút học kì 1 môn Vật lý lớp 10 trường THPT Phan Ngọc Hiển, Cà Mau năm học 2016 - 2017 gồm 2 phần: trắc nghiệm và tự luận, đã có đáp án để bạn đối chiếu kết quả. Hi vọng rằng với tài liệu này sẽ giúp bạn có được kết quả cao trong kì thi học kì 1 sắp tới. Mời các bạn tham khảo.
Làm online: Đề kiểm tra 45 phút học kì 1 môn Vật lý lớp 10 trường THPT Phan Ngọc Hiển, Cà Mau năm học 2016 - 2017
Đề thi giữa học kì 1 môn Vật lý lớp 10 trường THPT Phan Ngọc Hiển, Cà Mau năm 2015 - 2016
Đề thi giữa học kì 1 môn Vật lý lớp 10 trường THPT Nam Trực, Nam Định năm học 2016 - 2017
|
Sở GD – ĐT Cà Mau Trường THPT Phan Ngọc Hiển |
ĐỀ KIỂM TRA 1 TIẾT Môn: Vật lí – 10CB |
I. PHẦN TRẮC NGHIỆM (3 điểm)
Câu 1: Một chiếc xe khởi hành từ Năm Căn lúc 12h, lúc 16h xe đi đến Cần Thơ. Thời điểm xe bắt đầu đi và thời gian xe đi là?
A. 12h và 12h B. 12h và 16h C. 12h và 4h. D. 4h và 12h.
Câu 2: Một vật chuyển động thẳng biến đổi đều theo phương trình: x = 20 + 10t + 2t2 (km; h). Khi đó tọa độ và vận tốc ban đầu của vật là:
A. 20 (m/s); 2 (m/s2) B. 10 (m/s); 2 (m/s2)
C. 10 (m/s); 4(m/s2) D. 20 (km); 10 (km/h)
Câu 3: Một vật chuyển động theo chiều dương của trục Ox. Điều nào sau đây là ĐÚNG?
A. v > 0 B. v < 0 C. x > 0 D. x < 0
Câu 4: Chọn công thức đúng của tọa độ chất điểm chuyển động thẳng đều?
A. x + x0 = vt B. x = v + x0t C. x – x0 = vt D. x = (x0 + v)t.
Câu 5: Vật chuyển động thẳng đều có đồ thị toạ độ – thời gian như hình vẽ.

Sau 10s vận tốc của vật là:
A. v = 20m/s
B. v = 10m/s
C. v = 20cm/s
D. v = 2m/s
Câu 6: Một xe đạp đang chạy với vận tốc 3m/s bổng hãm phanh chuyển động chậm dần đều với gia tốc 0,1 (m/s2) rồi dừng lại. Quãng đường xe đi thêm được kể từ lúc hãm phanh đến lúc dừng lại là:
A. 90m B. 15m C. 45m D. 35m
Câu 7: Chuyển động nào dưới đây có thể coi như là chuyển động rơi tự do?
A. chuyển động của một hòn sỏi được ném lên cao
B. chuyển động của một hòn sỏi được thả rơi xuống
C. chuyển động của một hòn sỏi được ném theo phương xiên góc
D. chuyển đông của một hòn sỏi được ném theo phương nằm ngang
Câu 8: Một vật rơi tự do tới độ cao nào đó, khi chạm đất còn vận tốc 30m/s. Cho g = 10m/s2. Tính thời gian vật rơi vào độ cao thả vật.
A. t = 2 s; h = 20m B. t = 3s; h = 45m C. t = 3 s; h = 52m D. t = 4 s; h = 80m
Câu 9: Công thức xác định quãng đường vật rơi tự do là:
![]()
Câu 10: Một chất điểm chuyển động tròn đều thì giữa tốc độ dài và tốc độ góc, giữa gia tốc hướng tâm và tốc độ dài có số liên kết (r là bán kính quỹ đạo).

Câu 11: Chọn câu đúng.
A. Khi vật chuyển động nhanh dần thì ta có a.v < 0.
B. Khi vật chuyển động nhanh dần đều thì gia tốc của vật mang giá trị dương.
C. Vật chuyển động chậm dần đều có gia tốc âm.
D. Vật chuyển động thẳng chậm dần thì có vectơ gia tốc ngược chiều với vectơ vận tốc.
Câu 12: Câu nào đúng? Phương trình chuyển động của chuyển động chậm dần đều là:

II. PHẦN TỰ LUẬN (7 điểm)
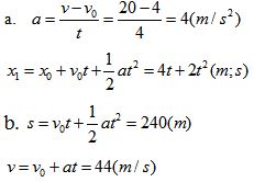
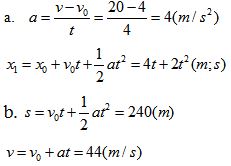
Câu 1: (5 điểm) Một ôtô đang chuyển động với tốc độ 4m/s thì tăng tốc chuyển động nhanh dần đều. Sau 4s xe đạt tốc độ là 20m/s.
a) Tính gia tốc của xe và viết phương trình chuyển động của xe kể từ lúc tăng tốc. Chọn gốc tọa độ tại vị trí ôtô bắt đầu tăng tốc, chiều dương là chiều chuyển động của ôtô, mốc thời gian lúc ôtô bắt đầu tăng tốc.
b) Tính quãng đường vật đi được và vận tốc của ôtô sau 10s kể từ lúc tăng tốc.
c) Ngay khi ôtô bắt đầu tăng tốc thì ở đằng trước cách ôtô một đoạn là 30m có một mô-tô đang chuyển động thẳng đều với tốc độ 18m/s. Hỏi sau bao lâu kể từ lúc ôtô tăng tốc thì hai xe gặp nhau.
Câu 2: (2 điểm) Một bánh xe đạp quay đều xung quanh trục với vận tốc quay 30 rad/s. Biết bán kính của bánh xe là 35cm. Hãy tính vận tốc và gia tốc của một điểm trên vành bánh xe.
Đáp án đề kiểm tra 45 phút học kì 1 môn Vật lý lớp 10
I. PHẦN TRẮC NGHIỆM
1C; 2D; 3A; 4C; 5D; 6C; 7B; 8B; 9C; 10A; 11D; 12D
II. PHẦN TỰ LUẬN
Câu 1:

c. Phương trình chuyển động của mô-tô
x2 = x0 + vt = 30 + 18t
Hai xe gặp nhau khi:
x1 = x2 ↔ 4t + 2t2 = 30 + 18t
→ t = 8,72 (s)
→ x2 ≈ 187 (m)
Câu 2:
v = rω = 10,5 (m/s)
a = rω2 = 315 (m/s2)