Đề thi giữa học kì 1 môn Vật lý lớp 10 trường THPT Nam Trực, Nam Định năm học 2016 - 2017
Đề thi giữa học kì 1 môn Vật lý lớp 10
Đề thi giữa học kì 1 môn Vật lý lớp 10 trường THPT Nam Trực, Nam Định năm học 2016 - 2017 là đề kiểm tra giữa học kì I môn Vật lý lớp 10 dành cho các bạn học sinh và thầy cô tham khảo, làm tài liệu nghiên cứu, học tập môn Lý lớp 10 được chắc chắn nhất, đạt kết quả cao trong các bài thi sắp tới.
Đề kiểm tra 45 phút số 1 môn Vật lý lớp 10 trường THPT Đoàn Thượng, Hải Dương năm học 2016 - 2017
Đề thi giữa học kì 1 môn Vật lý lớp 10 trường THPT Thuận Thành số 3, Bắc Ninh năm học 2015 - 2016
|
SỞ GD - ĐT NAM ĐỊNH TRƯỜNG THPT NAM TRỰC |
ĐỀ KIỂM TRA CHẤT LƯỢNG GIỮA HỌC KỲ I Năm học 2016 – 2017 MÔN THI: VẬT LÝ LỚP 10 (Thời gian: 60 phút không kể thời gian giao đề) |
PHẦN 1: TRẮC NGHIỆM (5 điểm)
Câu 1. Chọn câu SAI.
A. Toạ độ của 1 điểm trên trục Ox có thể dương hoặc âm.
B. Toạ độ của 1 chất điểm trong các hệ qui chiếu khác nhau là như nhau.
C. Đồng hồ dùng để đo khoảng thời gian.
D. Giao thừa năm Mậu Thân là một thời điểm.
Câu 2: Chuyển động thẳng đều là chuyển động thẳng trong đó
A. vận tốc có độ lớn không đổi theo thời gian.
B. độ dời có độ lớn không đổi theo thời gian.
C. quãng đường đi được không đổi theo thời gian.
D. tọa độ không đổi theo thời gian.
Câu 3. Một chất điểm chuyển động thẳng đều có phương trình chuyển động là
A. x = x0 + v0t + at2/2 B. x = x0 + vt C. x = v0 + at D. x = x0 - v0t + at2/2
Câu 4. Vận tốc của một vật chuyển động thẳng đều có các tính chất nào kể sau?
A. Cho biết mức độ nhanh, chậm của chuyển động.
B. Có giá trị được tính bởi thương số giữa quảng đường và thời gian đi: s/t
C. Có đơn vị là m/s
D. Các tính chất A, B, C
Câu 5. Có 3 chuyển động với các phương trình nêu lần lượt ở A, B, C. Các phương trình nào là phương trình của chuyển động thẳng đều?
![]()
Câu 6. Trong chuyển động thẳng biến đổi đều, véc tơ gia tốc tức thời có đặc điểm
A. Hướng thay đổi, độ lớn không đổi B. Hướng không đổi, độ lớn thay đổi
C. Hướng thay đổi, độ lớn thay đổi D. Hướng không đổi, độ lớn không đổi
Câu 7. Công thức liên hệ vận tốc và gia tốc trong chuyển động thẳng biến đổi đều
A. v = v0 + at2 B. v = v0 + at C. v = v0 – at D. v = - v0 + at
Câu 8. Trong công thức liên hệ giữ vận và gia tốc trong chuyển động thẳng biến đổi đều được xác định
A. Chuyển động nhanh dần đều a và v cùng dấu. Chuyển động chậm dần đều a và v trái dấu
B. Chuyển động nhanh dần đều a và v trái dấu. Chuyển động chậm dần đều a và v trái dấu
C. Chuyển động nhanh dần đều a và v trái dấu. Chuyển động chậm dần đều a và v cùng dấu
D. Chuyển động nhanh dần đều a và v cùng dấu. Chuyển động chậm dần đều a và v cùng dấu
Câu 9. Một chất điểm chuyển động theo trục Ox theo PT x = -t2 + 5t + 4, t(s); x (m). Chất điểm chuyển động:
A. nhanh dần đều rồi chậm dần đều theo chiều dương của trục Ox.
B. chậm dần đều rồi nhanh dần đều theo chiều dương của trục Ox.
C. chậm dần đều rồi nhanh dần đều theo chiều âm của trục Ox.
D. chậm dần đều theo chiều dương rồi nhanh dần đều theo chiều âm của trục Ox.
Câu 10. Chọn câu sai
Chất điểm chuyển động theo một chiều với gia tốc a = 4m/s2 có nghĩa là
A. Lúc đầu vận tốc bằng 0 thì sau 1s vận tốc của nó bằng 4m/s
B. Lúc vận tốc bằng 2m/s thì sau 1s vận tốc của nó bằng 6m/s
C. Lúc vận tốc bằng 2/s thì sau 2s vận tốc của nó bằng 8m/s
D. Lúc vận tốc bằng 4m/s thì sau 2s vận tốc của nó bằng 12m/s
Câu 11. Kết quả đo đạc khi một đứa bé trượt xuống một cầu tuột như sau:
|
Thời điểm (s) |
0 | 1 | 2 | 3 | 4 | 5 | 6 |
|
Vận tốc tức thời (m/s) |
0,0 | 1,0 | 2,0 | 3,0 | 3,5 | 4,0 | 4,5 |
Dạng cầu tuột nào phù hợp với các thông số trên?

A. Hình (1). B. Hình (2). C. Hình (3). D. Hình (4).
Câu 12. Điều nào sau đây là không đúng khi nói về chuyển động rơi tự do của các vật?
A. Sự rơi tự do là sự rơi của một vật chỉ dưới tác dụng của trọng lực.
B. Các vật rơi tự do ở cùng một nơi trên Trái Đất và ở gần mặt đất đều có cùng một gia tốc.
C. Trong quá trình rơi tự do, vận tốc của vật giảm dần theo thời gian.
D. Trong quá trình rơi tự do, gia tốc của vật không đổi cả về hướng và độ lớn.
Câu 13. Chọn câu SAI
A. Khi rơi tự do mọi vật chuyển động hoàn toàn như nhau
B. Vật rơi tự do không chịu sức cản của không khí
C. Chuyển động của người nhảy dù là rơi tự do
D. Mọi vật chuyển động gần mặt đất đều chịu gia tốc rơi tự do
Câu 14. Gia tốc hướng tâm của chuyển động tròn đều:
![]()
Câu 15. Chuyển động tròn đều là chuyển động:
A. Có quỹ đạo là một đường tròn.
B. Vật đi được những cung tròn bằng nhau trong những khoảng thời gian bằng nhau bất kì.
C. Có chu kì T là thời gian vật chuyển động đi được một vòng quỹ đạo bằng hằng số.
D. Cả A, B và C đều đúng.
Câu 16. Trong các chuyển động tròn đều
A. Có cùng bán kính thì chuyển động nào có chu kì lớn hơn sẽ có tốc độ dài lớn hơn.
B. Chuyển động nào có chu kì nhỏ hơn thì tốc độ góc nhỏ hơn.
C. Chuyển động nào có tần số lớn hơn thì có chu kì nhỏ hơn.
D. Có cùng chu kì thì chuyển động nào có bán kính nhỏ hơn sẽ có tốc độ góc nhỏ hơn
Câu 17. Trạng thái đứng yên hay trạng thái chuyển động của vật có tính tương đối vì
A. Chuyển động của vật được quan sát ở những thời điểm khác nhau.
B. Chuyển động của vật được quan sát trong các hệ qui chiếc khác nhau.
C. Chuyển động của vật được quan sát ở những người quan sát khác nhau.
D. Chuyển động của vật được quan sát đối với các vật làm mốc khác nhau.
Câu 18. Một ô tô chạy với vận tốc 50 km/h trong trời mưa. Mưa rơi theo phương thẳng đứng. Trên cửa kính bên xe, các vệt nước mưa rơi hợp với phương thẳng đứng một góc 600. Vận tốc của giọt mưa đối với xe ô tô là
A. 62,25 km/h. B. 57,73 km/h. C. 28,87 km/h. D. 43,3 km/h.
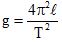
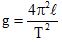
Câu 19. Khi đo gia tốc trọng trường bằng cách sử dụng con lắc đơn, người ta đo chiều dài con lắc và chu kì dao động của con lắc và tính gia tốc trọng trường theo công thức
. Sai số gián tiếp của phép đo được xác định theo công thức

Câu 20. Biểu thức nào sau đây là đúng khi ghi kết quả xác định gia tốc rơi tự do

PHẦN II: TỰ LUẬN (5 điểm)
Bài 1 (3 điểm): Từ điểm A cách mặt đất 15m, người ta ném một viên đá theo phương thẳng đứng hướng lên với vận tốc v0 = 20m/s. Bỏ qua sức cản không khí và lấy g = 10m/s2. Chọn chiều dương là chiều thẳng đứng hướng lên trên, gốc tọa độ tại mặt đất và gốc thời gian là lúc ném viên đá.
a. Viết phương trình chuyển động và công thức vận tốc của viên đá?
b. Tính thời gian từ lúc viên được ném đi đến khi nó chạm mặt đất? Xác định vectơ vận tốc của vật khi đó?
Bài 2 (2 điểm):
1. Một bánh xe có bán kính 500mm quay 100 vòng trong thời gian 2s. Tính:
a. Chu kì, tần số quay của bánh xe?
b. Tốc độ góc, tốc độ dài của một điểm trên vành bánh xe?
2. Một người đi bộ và một người đi xe đạp cùng khởi hành ở một địa điểm, và đi cùng chiều trên một đường tròn bán kính R = 900/π (m). Vận tốc của người đi xe đạp là v1 = 6,25 m/s, của người đi bộ là v2 = 1,25 m/s. Hỏi khi người đi bộ đi được một vòng thì gặp người đi xe đạp mấy lần?