Đề thi - Đáp án thi Cao đẳng năm 2013 - Khối D
Ngay sau khi kết thúc môn thi cuối cùng của kỳ thi Cao đẳng năm 2013. Chúng tôi đã cập nhật đề thi và đáp án các môn khối D do bộ GD&ĐT công bố. Mời các bạn theo dõi đề thi và đáp án dưới đây:
Đề thi - Đáp án thi Cao đẳng 2013 môn Toán:
BỘ GIÁO DỤC VÀ ĐÀO TẠOĐỀ CHÍNH THỨC |
ĐỀ THI TUYỂN SINH CAO ĐẲNG NĂM 2013MÔN THI: TOÁN; Khối A, Khối A1, Khối B và Khối D |
I. PHẦN CHUNG CHO TÂT CẢ THÍ SINH (7,0 điểm)
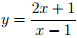
Câu 1: (2,0 điểm).
Cho hàm số: ![]()
a. Khảo sát sự biến thiên và vẽ đồ thị (C) của hàm số đã cho.
b. Gọi M là điểm thuộc (C) có tung độ bằng 5. Tiếp tuyến của (C) tại M cắt các trục tọa độ Ox và Oy lần lượt tại A và B. Tính diện tích tam giác OAB.
Câu 2: (1,0 điểm).
Giải phương trình: ![]()
Câu 3: (1,0 điểm).
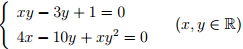
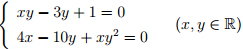
Giải hệ phương trình: ![]()
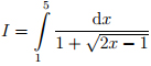
Câu 4: (1,0 điểm)
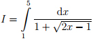
Tính tích phân: 
Câu 5: (1,0 điểm).
Cho lăng trụ đều ABC.A'B'C' có Ab = a và đường thẳng A'B' tạo với đáy một góc bằng 60o. Gọi M và N lần lượt là trung điểm của các cạnh AC và B'B'. Tính theo a thể tích của khối lăng trụ ABC.A'B'C' và độ dài đoạn thẳng MN.
Câu 6: (1,0 điểm)
Tìm m để bất phương trình
có nghiệm
II. PHẦN RIÊNG (3,0 điểm): Thí sinh chỉ được làm một trong hai phần (phần A hoặc phần B)
A. Theo chương trình chuẩn
Câu 7.a (1,0 điểm).
Trong mặt phẳng với hệ tọa độ Oxy, cho các đường thẳng d: x + y - 3 = 0, Δ: x - y + 2 = 0 và điểm M(-1; 3). Viết phương trình đường tròn đi qua M, có tâm thuộc d, cắt Δ tại hai điểm A và B sao cho AB = 3√2
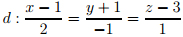
Câu 8.a (1,0 điểm)
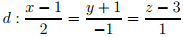
Trong không gian với hệ tọa độ Oxyz, cho điểm A(4; -1; 3) và đường thẳng
. Tìm tọa độ điểm đối xứng của A qua d.
Câu 9.a (1,0 điểm)
cho số phức z thỏa mãn điều kiện (3 + 2i)z + (2 - i)2 = 4 + i. Tìm phần thực và phần ảo của số phức ![]()
B. Theo chương trình Nâng cao
Câu 7.b (1,0 điểm).
Trong mặt phẳng với hệ tọa độ Oxy, cho tam giác ABC vuông tại A(-3; 2) và có trọng tâm là G(1/3; 1/3). Đường cao kẻ từ đỉnh A của tam giác ABC đi qua điểm P(-2; 0). Tìm tọa độ các điểm B và C.
Câu 8.b (1,0 điểm).
Trong không gian với hệ tọa độ Oxyz, cho điểm A(-1; 3; 2) và mặt phẳng (P): 2x - 5y + 4z - 36 = 0. Gọi I là hình chiếu vuông góc của A trên mặt phẳng (P). Viết phương trình mặt cầu tâm I và đi qua điểm A.
Câu 9.b (1,0 điểm).
Giải phương trình: z2 + (2 - 3i)z - 1 - 3i = 0 trên tập hợp ¢ các số phức.
Đề thi - Đáp án thi Cao đẳng 2013 môn Văn:
BỘ GIÁO DỤC VÀ ĐÀO TẠOĐỀ CHÍNH THỨC |
ĐỀ THI TUYỂN SINH CAO ĐẲNG NĂM 2013MÔN THI: NGỮ VĂN - KHỐI C và khối D |
I. PHẦN CHUNG CHO TẤT CẢ THÍ SINH (5,0 điểm)
Câu 1 (2,0 điểm)
Trong truyện ngắn Những đứa con trong gia đình của Nguyễn Thi, có lời thoại:
“Khôn! Việc nhà nó thu được gọn thì việc nước nó mở được rộng, gọn bề gia thế, đặng bề nước non”.
(Ngữ văn 12, Tập hai, NXB Giáo dục Việt Nam, 2013, tr.62)
Lời nói trên của nhân vật nào, nói về những ai, thể hiện thái độ gì với người được nói tới?
Câu 2 (3,0 điểm)
Khi có lỗi, người tử tế thì sẵn sàng nhận lỗi, kẻ ti tiện chỉ tìm cách đổ lỗi. Hãy viết một bài văn ngắn (khoảng 600 từ) trình bày suy nghĩ của anh/chị về ý kiến trên.
II. PHẦN RIÊNG (5,0 điểm)
Thí sinh chỉ được làm một trong hai câu (câu 3.a hoặc câu 3.b)
Câu 3.a. Theo chương trình Chuẩn (5,0 điểm)
Cảm nhận của anh/chị về tình yêu trong bài thơ Sóng của Xuân Quỳnh.
Câu 3.b. Theo chương trình Nâng cao (5,0 điểm)
Cảm nhận của anh/chị về nhân vật viên quản ngục trong truyện ngắn Chữ người tử tù của Nguyễn Tuân.