Đề thi giữa học kì 1 môn Toán lớp 5 năm 2019 - 2020
Đề thi giữa học kì 1 môn Toán lớp 5 năm 2019 - 2020 có đáp án chi tiết và bảng ma trận 4 mức độ kèm theo giúp các em học sinh nắm được các dạng bài ôn tập, củng cố kiến thức chuẩn bị cho bài thi giữa học kì 1 lớp 5 đạt kết quả cao. Đồng thời đây cũng là tài liệu cho các thầy cô giáo tham khảo ra đề cho các em học sinh.
Đề thi giữa học kì 1 môn Toán lớp 5
Đề bài: Đề thi giữa học kì 1 môn Toán lớp 5
I. Trắc nghiệm: (4 điểm) Khoanh vào chữ cái đứng trước câu trả lời đúng:
Câu 1: Số thập phân gồm có: Bảy đơn vị, hai phần trăm được viết là:
![]()
Câu 2: Giá trị của chữ số 5 trong số thập phân 879,457 có giá trị là:

Câu 3: Phân số thập phân
\(\frac{806}{100}\) được viết thành số thập phân là:
a. 8,6
b. 0,806
c. 8,60
d. 8,06
Câu 4: Số lớn nhất trong các số 39,402; 39,204; 40,392; 40,293 là:
a. 40,392
b. 39,204
c. 40,293
d. 39,402
Câu 5: Số thích hợp điền vào chỗ chấm: 30g = ... kg.
a. 30 000 kg
b.0,03 kg
c. 0,3kg
d. 3kg
Câu 6: Viết số thích hợp vào chỗ chấm: 627m2 = ha
a. 627ha
b. 0, 0627ha
c. 6,027ha
d.6,27 ha
Câu 7: Một tổ gồm 5 người đắp xong một đoạn đường trong 20 ngày. Hỏi nếu tổ đó có 10 người thì đắp xong đoạn đường đó trong bao nhiêu ngày?
a. 5 ngày
b. 10 ngày
c. 2 ngày
d. 15 ngày.
II. Tự luận: (6 điểm)
Câu 8 (2 điểm) Tính:

Câu 9: (2,5 điểm)
Một thửa ruộng hình chữ nhật có chiều dài 50m, chiều rộng bằng 3/5 chiều dài. Tính chu vi và diện tích thửa ruộng đó.
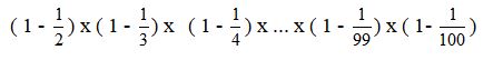
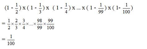
Câu 10: (1, 5 điểm) Tính theo cách hợp lí:

Đáp án: Đề thi giữa học kì 1 môn Toán lớp 5
I. Phần trắc nghiệm:
(Từ câu 1 đến câu 6 mỗi kết quả đúng cho 0,5 điểm; câu 7 cho 1 điểm)
Câu 1: Khoanh vào b
Câu 2: Khoanh vào d
Câu 3: Khoanh vào d
Câu 4: Khoanh vào a
Câu 5: Khoanh vào b
Câu 6: Khoanh vào b
Câu 7: Khoanh vào b
II. Phần tự luận:
Câu 8: ( 2 điểm) (Mỗi kết quả đúng cho 1 điểm)
Câu 9: (3 điểm) Bài giải:
Chiều rộng thửa ruộng là:
50 x
\(\frac{3}{5}\) = 30 ( m)
Chu vi thửa ruộng là :
(50 + 30) x 2 = 160 (m)
Diện tích thửa ruộng là :
50 x 30 = 1500 (m2)
Đáp số: 160 m; 1500 m2
(mỗi câu lời giải đúng cho 0,25 điểm; mỗi phép tính đúng cho 0,5 điểm; đáp số đúng cho 0,75 điểm)
Câu 10:

Đề thi giữa học kì 1 môn Toán lớp 5 bao gồm 2 phần Trắc nghiệm và Tự luận với các dạng kiến thức trong tâm, chi tiết cho từng bài học, rèn luyện kỹ năng giải Toán về phân số, hỗn số, số thập phân, bảng đơn vị đo khối lượng, độ dài, diện tích. Ngoài ra, các em học sinh hoặc quý phụ huynh còn có thể tham khảo thêm đề thi học kì 1 lớp 5 và đề thi học kì 2 lớp 5 các môn Toán, Tiếng Việt, Tiếng Anh, Khoa, Sử, Địa theo chuẩn thông tư 22 của bộ Giáo Dục. Những đề thi này được VnDoc.com sưu tầm và chọn lọc từ các trường tiểu học trên cả nước nhằm mang lại cho học sinh lớp 5 những đề ôn thi học kì chất lượng nhất. Mời các em cùng quý phụ huynh tải miễn phí đề thi về và ôn luyện.