Đề thi giữa học kì 2 lớp 10 môn Toán năm 2018 - 2019 trường THPT Yên Hòa - Hà Nội
Đề thi giữa học kì 2 môn Toán lớp 10
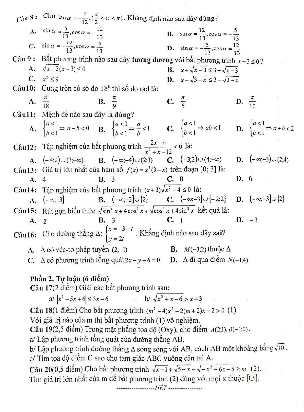
VnDoc xin giới thiệu tới bạn đọc Đề thi giữa học kì 2 lớp 10 môn Toán năm 2018 - 2019 trường THPT Yên Hòa - Hà Nội. Nội dung tài liệu gồm 16 câu hỏi trắc nghiệm, 4 câu hỏi bài tập, thời gian làm bài 90 phút. Mời các bạn tham khảo.
- Đề thi giữa học kì 2 lớp 10 môn Toán năm 2018 - 2019 trường THPT Nguyễn Tất Thành - Hà Nội
- Đề thi giữa học kì 2 lớp 10 môn Toán năm 2018 - 2019 trường THPT Tây Thạnh - TP. Hồ Chí Minh
- Đề thi giữa học kì 2 lớp 10 môn Toán năm 2018 - 2019 trường THPT Yên Lạc 2 - Vĩnh Phúc
- Đề thi giữa học kì 2 lớp 10 môn Toán năm 2018 - 2019 trường THPT C Nghĩa Hưng - Nam Định
- Đề thi giữa học kì 2 lớp 10 môn Toán năm 2018 - 2019 trường THPT Lương Thế Vinh - Hà Nội
- Đề thi giữa học kì 2 lớp 10 môn Toán năm 2018 - 2019 trường THPT Nguyễn Chí Thanh - TP. HCM
- Đề thi giữa học kì 2 lớp 10 môn Toán năm 2018 - 2019 trường THPT Nhân Chính - Hà Nội
- Đề thi giữa học kì 2 lớp 10 môn Toán năm 2018 - 2019 trường THPT Chu Văn An - Hà Nội
- Đề thi giữa học kì 2 lớp 10 môn Toán năm 2018 - 2019 trường THPT Yên Phong 2 - Bắc Ninh
-----------------------------
Trên đây VnDoc đã giới thiệu tới các bạn Đề thi giữa học kì 2 lớp 10 môn Toán năm 2018 - 2019 trường THPT Yên Hòa - Hà Nội. Để có kết quả cao hơn trong học tập, VnDoc xin giới thiệu tới các bạn học sinh tài liệu Giải bài tập Toán 10, Giải bài tập Vật Lí 10, Giải bài tập Sinh học 10, Giải bài tập Hóa học 10, Tài liệu học tập lớp 10 mà VnDoc tổng hợp và đăng tải.

