Đề thi giữa học kì 2 môn Toán lớp 3 trường Tiểu học Hòa Hưng 3, Kiên Giang năm học 2015 - 2016
Đề thi giữa học kì 2 môn Toán lớp 3
Đề thi giữa học kì 2 môn Toán lớp 3 trường Tiểu học Hòa Hưng 3, Kiên Giang năm học 2015 - 2016 có đáp án kèm theo. Đề thi giữa học kì 2 lớp 3 môn Toán này là đề kiểm tra giữa kì II lớp 3 môn Toán mà VnDoc xin được giới thiệu đến thầy cô và các em học sinh tham khảo, nhằm giúp các em ôn tập và củng cố kiến thức đã học, ôn thi cuối năm lớp 3 hiệu quả.
|
PHÒNG GD & ĐT H. GIỒNG RIỀNG TRƯỜNG TH HÒA HƯNG 3 |
ĐỀ KHẢO SÁT HỌC SINH GIỮA HK II Môn: Toán – Năm học 2015 - 2016 |
1. (1 điểm) Khoanh vào số liền trước của số: 9999?
A. 9899. B. 9989. C. 9998. D. 9889.
2. (1 điểm) Khoanh vào số bé nhất trong dãy số: 6289, 6299, 6298, 6288?
A. 6289. B. 6299. C. 6298. D. 6288.
3. (1 điểm) Khoanh vào kết quả đúng của 8m 2dm = ........ dm?
A. 82 dm. B. 802 dm. C. 820 dm. D. 10 dm.
4. (1 điểm) Ngày 8 tháng 3 là ngày thứ ba. Vậy ngày 15 tháng 3 là ngày thứ mấy? Em hãy khoanh vào kết quả đúng dưới đây:
A. thứ hai. B. thứ ba. C. thứ tư. D. thứ năm.
5. (1 điểm) Hình bên có mấy góc vuông? Hãy khoanh vào kết quả đúng dưới đây:

A. 1. B. 2. C. 3. D. 4.
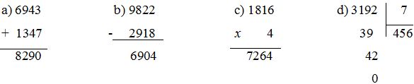
6. (2 điểm) Đặt tính rồi tính:
|
a) 6943 + 1347 ................................. |
b) 9822 – 2918 ................................. |
|
c) 1816 x 4 ................................. |
d) 3192 : 7 ................................. |
7. (1 điểm) Người ta uốn một đoạn dây thép vừa đủ thành một hình vuông có cạnh 5 cm. Tính độ dài đoạn dây đó?
Bài giải
..............................................................................
..............................................................................
..............................................................................
..............................................................................
8. (2 điểm) Một lớp học có 25 học sinh được chia đều thành 5 tổ. Hỏi 3 tổ như thế có bao nhiêu học sinh?
Bài giải
..............................................................................
..............................................................................
..............................................................................
..............................................................................
..............................................................................
Đáp án đề thi giữa học kì 2 môn Toán lớp 3
Câu 1: C (1 điểm)
Câu 2: D (1 điểm)
Câu 3: A (1 điểm)
Câu 4: B (1 điểm)
Câu 5: B (1 điểm)
Câu 6: (2 điểm – Mỗi câu đúng 0,5 điểm)

Câu 7 (1 điểm):
Bài giải
Độ dài đoạn dây thép là: (0,25 điểm)
5 x 4 = 20 (cm) (0,5 điểm)
Đáp số: 20 cm (0,25 điểm)
Câu 8 (2 điểm):
Bài giải
Mỗi tổ có số học sinh là: (0,25 điểm)
25 : 5 = 5 (học sinh) (0,5 điểm)
3 tổ như thế có số học sinh là: (0,25 điểm)
5 x 3 = 15 (học sinh) (0,5 điểm)
Đáp số: 15 học sinh (0,5 điểm)
Ngoài việc tải đề thi bên trên, các em học sinh và các thầy cô có thể tham khảo thêm các đề thi giữa kì 2 lớp 3 các môn Toán, tiếng Việt hay tiếng Anh khác mà chúng tôi sưu tầm được. Để học tốt Toán, tiếng Việt 3 và đạt thành tích cao trong kì thi giữa kì 2, chuẩn bị tốt nhất cho kì thi cuối kì, chúng tôi còn chuẩn bị thêm các đề thi học kì 2 lớp 3. Mời các thầy cô và các em tải miễn phí và sử dụng.