Đề thi thử THPT Quốc gia môn Toán năm 2016 trường THPT Chuyên Hưng Yên (Lần 1)
Đề thi thử THPT Quốc gia năm 2016 môn Toán
Đề thi thử THPT Quốc gia môn Toán năm 2016 trường THPT Chuyên Hưng Yên (Lần 1) gồm 9 câu hỏi với kiến thức trọng tâm ôn thi THPT Quốc gia, dạng bài đa dạng và phong phú, đây là đề luyện thi hữu ích dành cho các bạn thí sinh chuẩn bị bước vào kì thi THPT Quốc gia, xét tuyển Đại học, Cao đẳng 2016 hiệu quả.
Bộ đề thi thử THPT Quốc gia năm 2016 môn Toán - Số 1
Bộ đề thi thử THPT Quốc gia năm 2016 môn Toán - Số 2
Bộ đề thi thử THPT Quốc gia năm 2016 môn Toán - Số 3
Bộ đề thi thử THPT Quốc gia năm 2016 môn Toán - Số 4
Đề thi thử THPT Quốc gia môn Toán năm 2016 trường THPT Chuyên Hưng Yên (Lần 2)
| TRƯỜNG THPT CHUYÊN HƯNG YÊN |
ĐỀ THI THỬ KỲ THI THPT QUỐC GIA 2016 LẦN 1 Môn thi: TOÁN Thời gian làm bài: 180 phút, không kể thời gian phát đề |
Câu 1 (2,0 điểm). Cho hàm số y = x4 - 2(m2 - 3)x2 + m - 2 (1), với m là tham số thực.
a) Khảo sát sự biến thiên và vẽ đồ thị hàm số (1) khi m = 2.
b) Tìm tất cả các giá trị m để tiếp tuyến của đồ thị hàm số (1) tại điểm có hoành độ bằng 1 song song với đường thẳng d: 12x – y – 10 = 0.
Câu 2 (1,0 điểm).
a) Giải phương trình ![]()
b) Tìm phần thực, phần ảo của số phức z biết ![]()
Câu 3 (1,0 điểm).
a) Giải phương trình ![]()
b) Lớp học nhạc của một trường gồm 6 học sinh lớp A, 8 học sinh lớp B và 7 học sinh lớp C. Chọn ngẫu nhiên 6 học sinh của lớp học đó để biểu diễn chào mừng ngày thành lập trường. Tính xác suất sao cho lớp nào cũng có học sinh được chọn và có ít nhất 3 học sinh lớp A.
Câu 4 (1,0 điểm). Tính tích phân ![]()
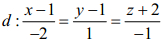
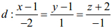
Câu 5 (1,0 điểm). Trong không gian với hệ tọa độ Oxyz, cho mặt phẳng (P) có phương trình 2x + y - 4z - 6 = 0. Tìm thuộc đường thẳng
sao cho khoảng cách từ M đến mặt phẳng (P) bằng √21.
Câu 6 (1,0 điểm). Cho hình chóp tam giác đều S.ABC có cạnh đáy bằng 2a, góc giữa cạnh bên và mặt đáy bằng 30o. Gọi M, N lần lượt là trung điểm AB, BC. Tính thể tích khối chóp S.ABC và khoảng cách từ C đến mặt phẳng (SMN).
Câu 7 (1,0 điểm). Trong mặt phẳng với hệ tọa độ Oxy, cho hình vuông ABCD tâm I, gọi G là trọng tâm tam giác ADC, điểm J(10/3;11/3) là tâm đường tròn ngoại tiếp tam giác AGB, M(11/2;7/2) là trung điểm của đoạn BI. Tìm tọa độ các đỉnh của hình vuông, biết G có hoành độ là số nguyên.
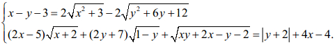
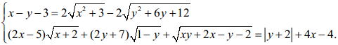
Câu 8 (1,0 điểm). Giải hệ phương trình

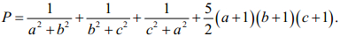
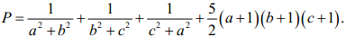
Câu 9 (1,0 điểm). Cho a, b, c là các số thực không âm thỏa mãn ab + bc + ca = 1. Tìm giá trị nhỏ nhất của biểu thức
![]()