Đề thi thử THPT Quốc gia môn Toán năm 2019 trường THPT Thăng Long - Hà Nội lần 1
Đề thi thử năm 2019 môn Toán
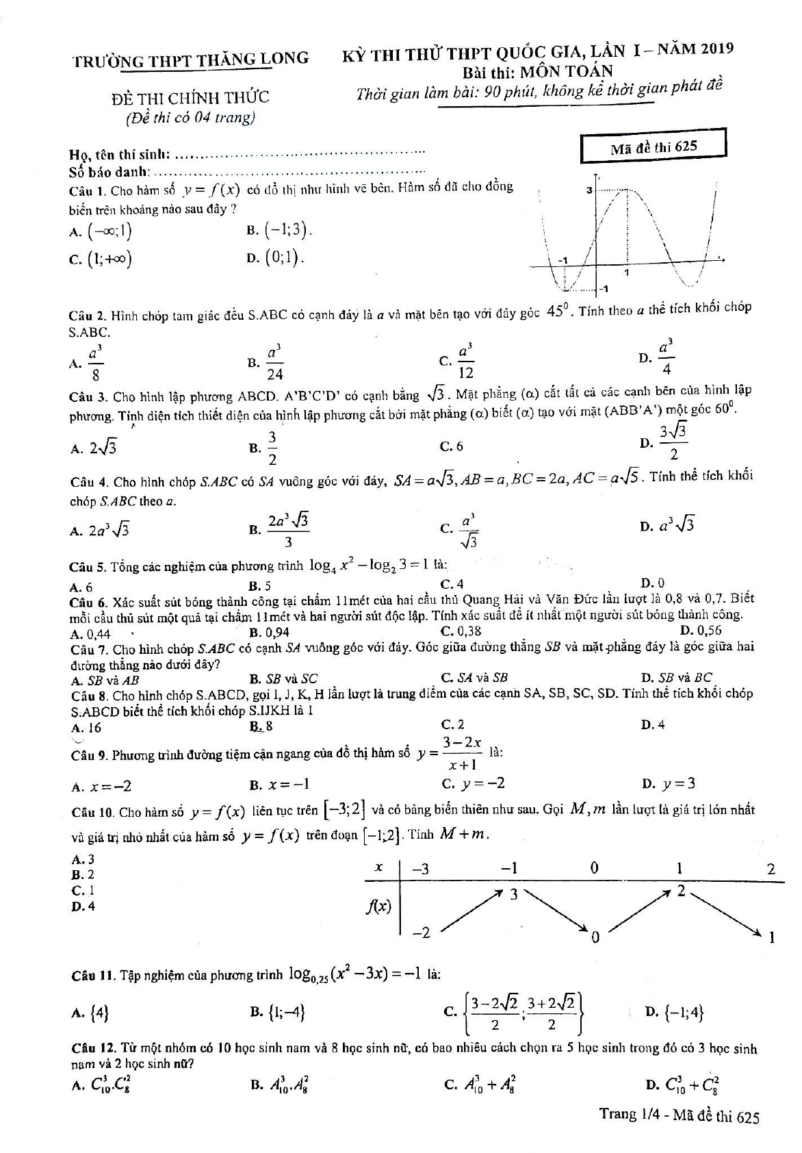
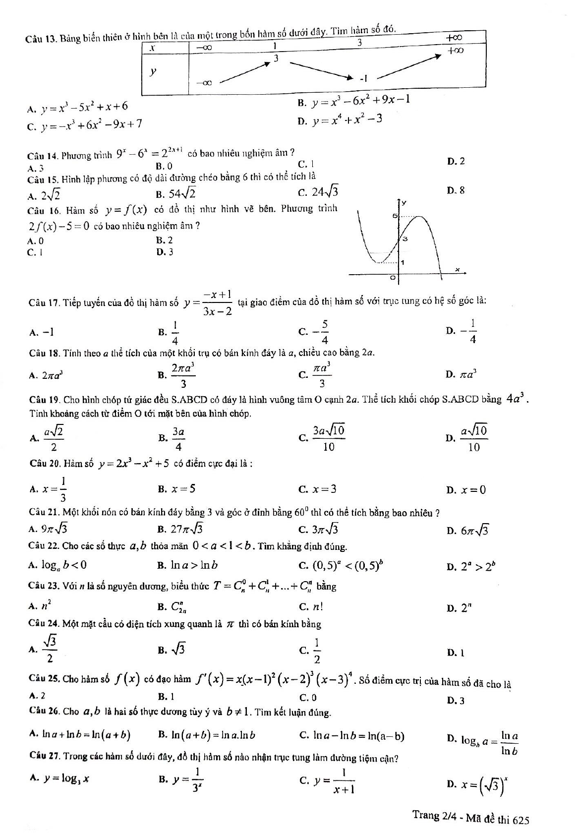
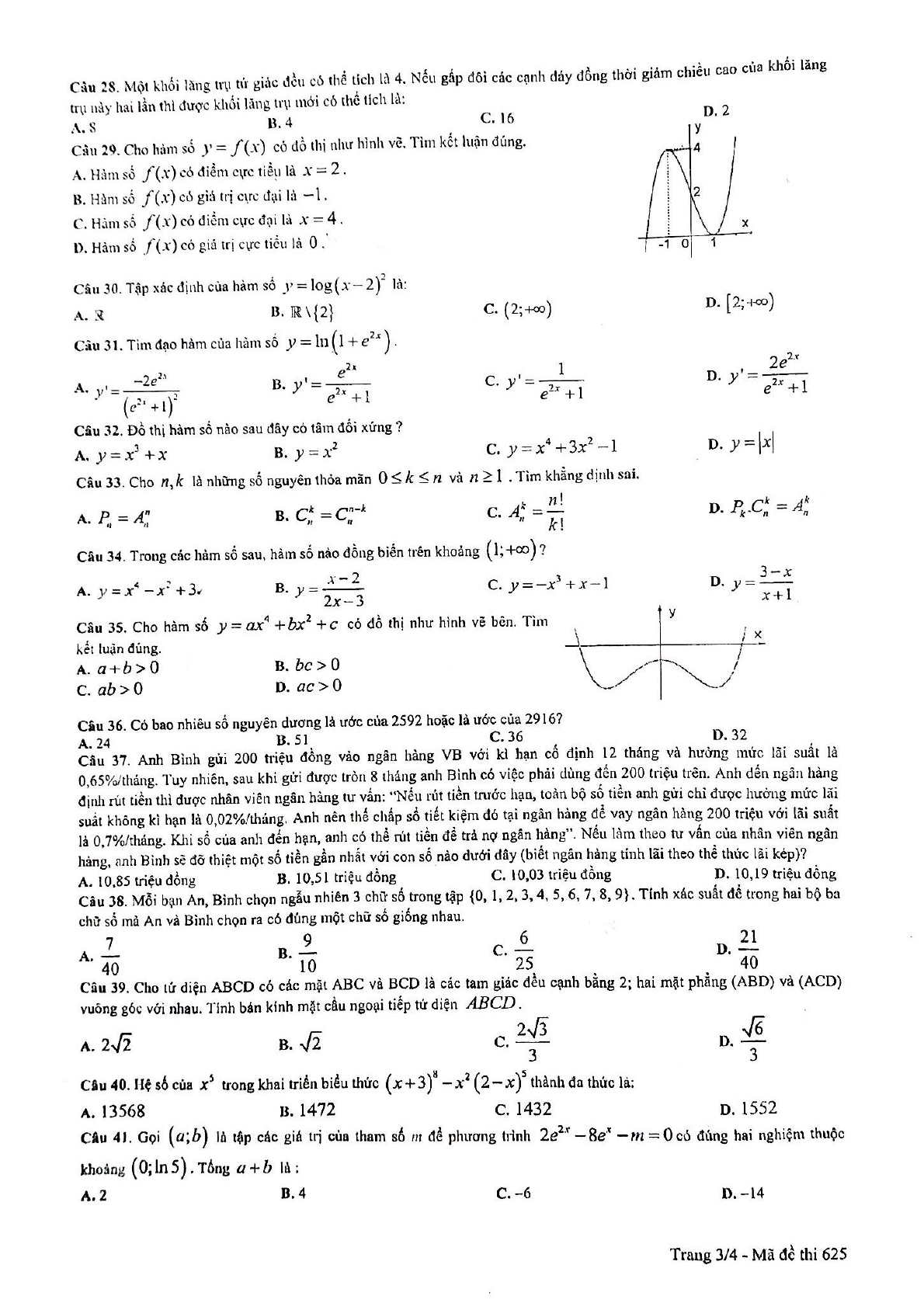
VnDoc xin giới thiệu tới bạn đọc Đề thi thử THPT Quốc gia môn Toán năm 2019 trường THPT Thăng Long - Hà Nội lần 1. Nội dung tài liệu gồm 50 câu hỏi trắc nghiệm, thời gian làm bài 90 phút. Mời các bạn học sinh tham khảo.
- Đề thi thử THPT Quốc gia môn Toán năm 2019 trường THPT Quảng Xương 1 - Thanh Hóa lần 2
- Đề thi thử THPT Quốc gia môn Toán năm 2019 trường THPT Lương Thế Vinh - Hà Nội lần 1
- Đề thi thử THPT Quốc gia môn Toán năm 2019 trường THPT Bạch Đằng - Quảng Ninh lần 1
- Đề thi thử THPT Quốc gia môn Toán năm 2019 trường THPT Kim Liên - Hà Nội lần 1
- Đề thi thử THPT Quốc gia môn Toán năm 2019 - Toán Học Tuổi Trẻ đề số 2
----------------------------
Trên đây VnDoc đã giới thiệu tới bạn đọc Đề thi thử THPT Quốc gia môn Toán năm 2019 trường THPT Thăng Long - Hà Nội lần 1. Để có kết quả cao hơn trong học tập, VnDoc xin giới thiệu tới các bạn học sinh tài liệu Thi thpt Quốc gia môn Toán, Thi thpt Quốc gia môn Hóa học, Thi thpt Quốc gia môn Vật Lý, Thi thpt Quốc gia môn Sinh học mà VnDoc tổng hợp và đăng tải.


