Đề thi thử THPT quốc gia môn Toán năm học 2017 - 2018, trường THPT Chuyên Hùng Vương, tỉnh Phú Thọ (Lần 1)
Đề thi thử THPT quốc gia môn Toán năm học 2017 - 2018
VnDoc.com xin giới thiệu tới các bạn học sinh tài liệu: Đề thi thử THPT quốc gia môn Toán năm học 2017 - 2018, trường THPT Chuyên Hùng Vương, tỉnh Phú Thọ (Lần 1), với bộ câu hỏi trăc nghiệm gồm 50 câu kèm theo đáp án chắc chắn sẽ giúp các bạn học sinh rèn luyện cách giải bài tập Toán 12 hiệu quả hơn. Mời các bạn học sính và thầy cô tham khảo.
Đề thi thử THPT quốc gia môn Toán năm 2018, trường THPT Chuyên Nguyễn Đình Chiểu, Đồng Tháp
Đề thi thử THPT quốc gia môn Toán năm 2018, sở GD&ĐT Nghệ An
Đề thi thử THPT quốc gia môn Toán năm 2018, sở GD&ĐT Hưng Yên
Đề thi thử THPT quốc gia môn Toán năm học 2017 - 2018, trường THPT Chuyên Thái Bình (Lần 1)
Đề thi thử THPT quốc gia môn Toán năm học 2017 - 2018, trường THPT Chuyên Hùng Vương, tỉnh Phú Thọ (Lần 1)
| THPT CHUYÊN HÙNG VƯƠNG – PHÚ THỌ |
Môn: Toán Thời gian làm bài: 90 phút |
Câu 1: Phát biểu nào sau đây là sai?
A. lim un = c (un = c là hằng số).
B. lim qn = 0 (q > 1).
C. lim
\(\frac{1}{n}\) = 0.
D. lim
\(\frac{1}{n_k}\) = 0 (k > 1).
Câu 2: Nghiệm của phương trình 2sin x + 1 = 0 được biểu diễn trên đường tròn lượng giác ở hình bên dưới là những điểm nào?

A. Điểm E, điểm D.
B. Điểm C, điểm F.
C. Điểm D, điểm C.
D. Điểm E, điểm F.
Câu 3: Tính số chỉnh hợp chập 4 của 7 phần tử?
A. 24.
B. 720.
C. 840.
D. 35.
Câu 4: Hình chóp tứ giác đều có bao nhiêu mặt phẳng đối xứng?
A. 3.
B. 2.
C. 4.
D. 6.
Câu 5: Cho hàm số y = f (x) xác định và liên tục trên khoảng (-oo; +oo) có bảng biến thiên như hình sau:
A. Q(3; 1).
C. P (7; -1).
B. M(1; 3).
D. N (-1; 7).
Câu 6: Phát biểu nào trong các phát biểu sau là đúng?
A. Nếu hàm số y = f (x) có đạo hàm trái tại x thì nó liên tục tại điểm đó.
B. Nếu hàm số y = f (x) có đạo hàm phải tại x thì nó liên tục tại điểm đó.
C. Nếu hàm số y = f (x) có đạo hàm tại x0 thì
D. Nếu hàm số y = f (x) có đạo hàm tại x nó liên tục tại điểm đó.
Câu 7: Khẳng định nào dưới đây là sai?
A. Hàm số y = cos x là hàm số lẻ.
B. Hàm số y = cot x là hàm số lẻ.
C. Hàm số y = sin x là hàm số lẻ.
D. Hàm số y = tan x là hàm số lẻ.
Câu 8: Tiệm cận ngang của đồ thị hàm số
\(y\ =\ \frac{5}{x-1}\) là đường thẳng có phương trình:
A. y = 5.
B. x = 0.
C. x = 1.
D. y = 0.
Câu 9: Điểm cực tiểu của đồ thị hàm số y = x3 - 3x + 5 là điểm:
A. Q(3; 1).
C. P (7; -1).
B. M(1; 3).
D. N (-1; 7).
Câu 10: Cho hàm số y = f (x) liên tục trên khoảng (a; b). Điều kiện cần và đủ để hàm số liên tục trên đoạn (a,b) là:

Câu 11: Lăng trụ tam giác đều có độ dài tất cả các cạnh bằng 3. Thể tích khối lăng trụ đã cho bằng:
A.
\(\frac{9\sqrt{3}}{4}\)
B.
\(\frac{27\sqrt{3}}{4}\)
C.
\(\frac{27\sqrt{3}}{2}\)
D.
\(\frac{9\sqrt{3}}{2}\)
Câu 12: Hình dưới là đồ thị của hàm số y = f'(x).

Hỏi đồ thị hàm số y = f (x) đồng biến trên khoảng nào dưới đây?
A. (2; +oo).
B. (1; 2).
C. (0;1).
D. (0;1) và (2; +oo).
Câu 13: Trong các phát biểu sau, phát biểu nào là sai?
A. Dãy số có tất cả các số hạng bằng nhau là một cấp số nhân.
B. Dãy số có tất cả các số hạng bằng nhau là một cấp số cộng.
C. Một cấp số cộng có công sai dương là một dãy số tăng.
D. Một cấp số cộng có công sai dương là một dãy số dương.
Câu 14: Phương trình sin2x + 3cos x = 0 nhiêu nghiệm trong khoảng (0; p).
A. 0.
B. 1.
C. 2.
D. 3.
Câu 15: Cho hàm số y = f (x) xác định trên R (-1) liên tục trên mỗi khoảng xác định và có bảng biến thiên như hình sau:

Tìm tập hợp tất cả các giá trị của tham số thực m sao cho phương trình f (x)= m có đúng ba nghiệm thực phân biệt
A. (-4; 2).
B. [-4; 2).
C. (-4; 2].
D. (-oo; 2]
Câu 16: Đường thẳng y = 2x -1 có bao nhiêu đểm chung với đồ thị hàm số
\(y\ =\ \frac{x^2-x-1}{x+1}\)
A. 3.
B. 1.
C. 0.
D. 2.
Câu 17: Tìm tất cả các giá trị thực của tham số m để hàm số (-oo; +oo).
A. m ≤ 4/3
B. m ≤ 1/3
C. m ≥ 1/3
D. m ≥ 4/3
Câu 18: Cho hàm số y = f (x) xác định và liên tục đoạn [0;7/2], có đồ thị hàm số y = f'(x) như hình vẽ.

Hỏi hàm số y = f (x) đạt giá trị nhỏ nhất trên đoạn tại điểm x0 nào dưới đây?
A. x0 = 2.
B. x0 = 1.
C. x0 = 0.
D. x0 = 3.
Câu 19: Tích của giá trị nhỏ nhất và giá trị lớn nhất của hàm số f (x) = x + 4/x trên đoạn [1;3] bằng?
A. 52/3
B. 20.
C. 6.
D. 65/3
Câu 20: Trong khai triển biểu thức
\(\left(y+x\right)^{21}\)hệ số của số hạng chứa x13y8 là:
A. 116280.
B. 293930.
C. 203490.
D. 1287.
Câu 21: Cho hình chóp tứ giác đều S.ABCD có cạnh đáy bằng 2a, cạnh bên bằng 3a. Tính thể tích V của khối chóp đã cho?
A.
\(V=4\sqrt{7}a^3\)
B.
\(V=\frac{4\sqrt{7}a^3}{9}\)
C.
\(V\ =\frac{4a^3}{3}\)
D.
\(V=\ \frac{4\sqrt{7}a^3}{3}\)
Câu 22: Biết m0 là giá trị của tham số m để hàm số y = x3 - 3x2 + mx - 1 có hai điểm cực trị x, x sao cho x12 + x22 - x1x2 = 13. Mệnh đề nào dưới đây đúng?
A. m ∈(-1; 7).
C. m ∈(-15; - 7).
B. m ∈(7; 10).
D. m ∈(-7; - 1).
Câu 23: Cho hình chóp S.ABCD có đáy là hình bình hành, cạnh bên SA vuông góc với đáy. Biết khoảng cách từ A đến (SBD) bằng 6a/7. Tính khoảng cách từ C đến mặt phẳng (SBD)?
A. 12a/7
B. 3a/7
C. 4a/7
D. 6a/7
Câu 24: Cho hình lập phương ABCD.A'B'C'D'. Góc giữa hai đường thẳng BA’ và CD bằng:
A. 45°.
B. 60°.
C. 30°.
D. 90°.
Câu 25: Số đường tiệm cận đứng của đồ thị hàm số
\(y\ =\ \frac{\left(x^2-3x\ +2\right)\sin\ x}{x^3-4x}\) là:
A. 1.
B. 2.
C. 3.
D. 4.
Câu 26: Phương trình tiếp tuyến của đồ thị hàm số y = x2 - x - 2 tại điểm có hoành độ x = 1 là:
A. 2x - y = 0.
C. x - y - 1 = 0.
B. 2x - y - 4 = 0.
D. x - y - 3 = 0.
Câu 27: Cho hình chóp S.ABCD có đáy ABCD là hình vuông cạnh a, SA = a và SA vuông góc với đáy. Gọi M là trung điểm SB, N là điểm thuộc cạnh SD sao cho 2. SN ND. Tính thể tích V của khối tứ diện ACMN
A. V= 1/12a3
B. V= 1/6a3
C. V= 1/8a3
D. V= 1/36a3
Câu 28: Tìm tập hợp S tất cả các giá trị của tham số thực m để hàm số:
\(y=\frac{1}{3}x-\left(m+1\right)x^2\left(m^2+2m\right)x-3\)nghịch biến trên khoảng (-1; 1).
A. S= [-1;0)
B. S = Φ
C. {-1}
D. [0;1]
Câu 29: Cho hình chóp S.ABCD có đáy ABCD là hình vuông tâm O cạnh a, SO vuông góc với mặt phẳng (ABCD) và SO = a. Khoảng cách giữa SC và AB bằng:
A.
\(\frac{a\sqrt{3}}{15}\)
B.
\(\frac{a\sqrt{5}}{5}\)
C.
\(\frac{2a\sqrt{3}}{15}\)
D.
\(\frac{2a\sqrt{5}}{5}\)
Câu 30: Trong kho đèn trang trí đang còn 5 bóng đèn loại I, 7 bóng đèn loại II, các bóng đèn đều khác nhau về màu sắc và hình dáng. Lấy ra 5 bóng đèn bất kỳ. Hỏi có bao nhiêu khả năng xảy ra số bóng đèn loại I nhiều hơn số bóng đèn loại II?
A. 246.
B. 3480.
C. 245.
D. 3360.
Câu 31: Tìm tất cả các giá trị của m để hàm số

A. m = 1.
B. m = -2.
C. m = -1.
D. m = 0.
Câu 32: Cho hàm số y = ax3 + bx2 + cx + d có đồ thị như hình vẽ. Mệnh đề nào sau đây đúng?

A. a < 0, b > 0, c < 0, d > 0.
B. a > 0, b > 0, c < 0, d > 0.
C. a < 0, b < 0, c < 0, d > 0.
D. a < 0, b > 0, c > 0, d > 0.
Câu 33: Tiếp tuyến của đồ thị hàm số
\(y=\ \frac{4x-3}{2x+1}\) cùng với 2 tiệm cận tạo thành một tam giác có diện tích bằng:
A. 6.
B. 7.
C. 5.
D. 4.
Câu 34: Có bao nhiêu giá trị nguyên của tham số m để đồ thị của hàm số: y = x3 + (m + 2)x2 + (m2 - m - 3)x - m2
cắt trục hoành tại ba điểm phân biệt?
A. 4.
B. 3.
C. 1.
D. 2.
Câu 35: Cho tứ diện ABCD có BD = 2. Hai tam giác ABD và BCD có diện tích lần lượt là 6 và 10. Biết thể tích khối tứ diện ABCD bằng 16. Tính số đo góc giữa hai mặt phẳng (ABD), (BCD).
A. arccos (4/15)
B. arcc sin (4/5)
C. arccos (4/5)
D. arcc sin (4/15)
Câu 36: Chọn ngẫu nhiên một số tự nhiên A có bốn chữ số. Gọi N là số thỏa mãn 3N = A. Xác suất để N là số tự nhiên bằng:
A. 1/4500
B. 0
C.1/2500
D. 1/3000
Câu 37: Cho hàm số y = f (x) có đồ thị y = f'(x) như hình vẽ. Xét hàm số:
\(g_{\left(x\right)}=f_{\left(x\right)}-\frac{1}{3}x^3-\frac{3}{4}x^2+\frac{3}{2}x+2018\)

Câu 38: Đồ thị hàm số y = ax3 + bx2 + cx + d có hai điểm cực trị A(1; - 7), B(2; - 8). Tính y(-1)?
A. y(-1)= 7.
C. y(-1)= -11.
B. y(-1)= 11.
D. y(-1)= -35.
Câu 39: Cho hình chóp S.ABCD có đáy ABCD là hình vuông, cạnh bên SA vuông góc với mặt phẳng đáy. Đường thẳng SD tạo với mặt phẳng (SAB) một góc 45°. Gọi I là trung điểm của cạnh CD. Góc giữa hai đường thẳng BI và SD bằng: (Số đo góc được làm tròn đến hàng đơn vị)?
A. 48°
B. 51°
C. 42°
D. 39°
Câu 40: Có bao nhiêu giá trị nguyên của tham số m để đường thẳng y = m(x - 4) cắt đồ thị của hàm tại bốn điểm phân biệt?
A. 1.
B. 5.
C. 3.
D. 7.
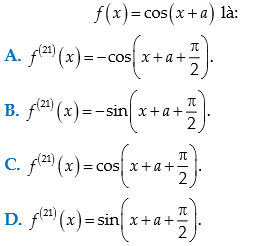
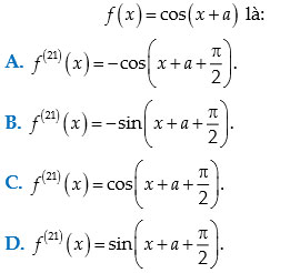
Câu 41: Đạo hàm bậc 21 của hàm số:

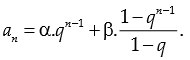
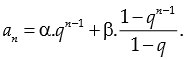
Câu 42: Cho dãy số (a ) xác định bởi a = 5, an+1 = q.a + 3 với mọi n ≥ 1, trong đó q là hằng số, a
\(\ne\) 0, q
\(\ne\) 1. Biết công thức số hạng tổng quát của dãy số viết được dưới dạng

Tính a + 2b?
A. 13.
B. 9.
C. 11.
D. 16.
Câu 43: Cho hình hộp chữ nhật ABCD.A'B'C'D' có các cạnh AB = 2, AD = 3; AA' = 4. Góc giữa hai mặt phẳng (AB'D') và (A'C'D) là a. Tính giá trị gần đúng của góc a?
A. 45, 2°.
B. 38,1°.
C. 53, 4°.
D. 61,6°.
Câu 44: Trong thời gian liên tục 25 năm, một người lao động luôn gửi đúng 4.000.000 đồng vào một ngày cố định của tháng ở ngân hàng M với lãi suất không thay đổi trong suốt thời gian gửi tiền là 0,6% tháng. Gọi A là số tiền người đó có được sau 25 năm. Hỏi mệnh đề nào dưới đây là đúng?
A. 3.500.000.000 < A < 3.550.000.000.
B. 3.400.000.000 < A < 3.450.000.000.
C. 3.350.000.000 < A < 3.400.000.000.
D. 3.450.000.000 < A < 3.500.000.000.
Câu 45: Cho hình hộp ABCD.A'B'C'D', AB = 6cm, BC = BB' = 2cm. Điểm E là trung điểm cạnh BC. Một tứ diện đều MNPQ có hai đỉnh M và N nằm trên đường thẳng C'E, hai đỉnh P, Q nằm trên đường thẳng đi qua điểm B’ và cắt đường thẳng AD tại điểm F. Khoảng cách DF bằng:
A. 1cm.
B. 2cm.
C. 3cm.
D. 6cm.
Câu 46: Hàm số y = (x + m)3 + (x + n)3 - x3 (tham số m; n) đồng biến trên khoảng (-oo; +oo). Giá trị nhỏ nhất của biểu thức P = 4(m2 + n2 )-m-n bằng:
A. -16.
B. 4.
C. -1/16
D. 1/4
Câu 47: Một khối lập phương có độ dài cạnh là 2cm được chia thành 8 khối lập phương cạnh 1cm. Hỏi có bao nhiêu tam giác được tạo thành từ các đỉnh của khối lập phương cạnh 1cm.
A. 2876.
B. 2898.
C. 2915.
D. 2012.
Câu 48: Hai người ngang tài ngang sức tranh chức vô địch của một cuộc thi cờ tướng. Người giành chiến thắng là người đầu tiên thắng được năm ván cờ. Tại thời điểm người chơi thứ nhất đã thắng 4 ván và người chơi thứ hai mới thắng 2 ván, tính xác suất để người chơi thứ nhất giành chiến thắng.
A. 3/4
B. 4/5
C. 7/8
D. 1/2
Câu 49: Hình vẽ bên dưới là đồ thị của hàm số y = f (x).

Gọi S là tập hợp các giá trị nguyên dương của tham số m để hàm số y = Ιf (x - 1)+ mΙ có 5 điểm cực trị. Tổng giá trị tất cả các phần tử của S bằng:
A. 12.
B. 15.
C. 18.
D. 9.
Câu 50: Cho khối hộp chữ nhật ABCD.A'B'C'D' có thể tích bằng 2110. Biết A'M = MA; DN = 3ND'; CP = 2PC'. Mặt phẳng (MNP) chia khối hộp đã cho thành hai khối đa diện. Thể tích khối đa diện nhỏ hơn bằng:

Đáp án đề thi thử THPT quốc gia môn Toán năm học 2017 - 2018
|
1.B |
6.D |
11.B |
16.D |
21.D |
26.D |
31.B |
36.A |
41.C |
46.C |
|
2.D |
7.A |
12.A |
17.C |
22.C |
27.A |
32.A |
37.A |
42.C |
47.A |
|
3.C |
8.D |
13.D |
18.D |
23.D |
28.C |
33.C |
38.D |
43.D |
48.C |
|
4.C |
9.B |
14.B |
19.B |
24.A |
29.D |
34.B |
39.B |
44.C |
49.A |
|
5.B |
10.A |
15.A |
20.C |
25.A |
30.A |
35.B |
40.B |
45.B |
50.D |