Đề thi tuyển sinh lớp 10 THPT chuyên Đại học Sư Phạm Hà Nội năm học 2012 - 2013
Để chuẩn bị cho kỳ thi tuyển sinh vào lớp 10, Vndoc.com xin giới thiệu đến bạn đọc: Đề thi tuyển sinh lớp 10 THPT chuyên Đại học Sư Phạm Hà Nội năm học 2012 - 2013.
Đề thi tuyển sinh lớp 10 khối chuyên ĐHSP:
BỘ GIÁO DỤC VÀ ĐÀO TẠO
|
ĐỀ THI VÀO LỚP 10 HỆ THPT CHUYÊN
|
ĐỀ THI MÔN: TOÁN
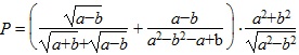
Câu 1 (2 điểm). Cho biểu thức:
với a > b > 0.
a) Rút gọn P.
b) Biết a − b = 1. Tìm giá trị nhỏ nhất của P.
Câu 2 (2 điểm).
Trên quãng đường AB dài 210 km, tại cùng một thời điểm, một xe máy khởi hành từ A đi về B và một ô tô khởi hành từ B đi về A. Sau khi gặp nhau, xe máy đi tiếp 4 giờ nữa thì đến B và ô tô đi tiếp 2 giờ 15 phút nữa thì đến A. Biết rằng xe máy và ô tô không thay đổi vận tốc trên suốt chặng đường. Tính vận tốc của xe máy và của ô tô.
Câu 3 (2 điểm).
Trong mặt phẳng tọa độ Oxy, cho parabol (P) : y = − x2 và đường thẳng (d): y = mx − n − 2 (m là tham số).
a) Chứng minh rằng khi m thay đổi, (d) luôn cắt (P) tại hai điểm phân biệt có hoành độ x1, x2.
b) Tìm m để |x1 − x2| = √20.
Câu 4 (3 điểm).
Cho tam giác ABC. Đường tròn (ω) có tâm O và tiếp xúc với các đoạn thẳng AB, AC tương ứng tại K, L. Tiếp tuyến (d) của đường tròn (ω) tại điểm E thuộc cung nhỏ KL, cắt các đường thẳng AL, AK tương ứng tại M, N. Đường thẳng KL cắt OM tại P và cắt ON tại Q.
a) Chứng minh góc MON = 900 − 1/2 góc BAC.
b) Chứng minh rằng các đường thẳng MQ, NP và OE cùng đi qua một điểm.
c) Chứng minh KQ.PL = EM.EN
Câu 5 (1 điểm).
Cho các số thực dương x, y thỏa mãn điều kiện
Tìm giá trị nhỏ nhất của biểu thức P = x + y.