Đề thi tuyển sinh lớp 10 THPT chuyên Đại học Quốc Gia Hà Nội năm học 2012 - 2013
Để chuẩn bị cho kỳ thi vào lớp 10, Vndoc.com xin gửi đến bạn đọc: Đề thi tuyển sinh lớp 10 THPT chuyên Đại học Quốc Gia Hà Nội năm học 2012 - 2013.
Đề thi tuyển sinh vào lớp 10 môn Toán:
ĐẠI HỌC QUỐC GIA HÀ NỘI
|
ĐỀ THI VÀO LỚP 10 HỆ THPT CHUYÊN
|
ĐỀ THI MÔN: TOÁN
Câu I.
1) Giải phương trình ![]()
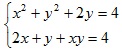
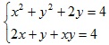
2) Giải hệ phương trình:
Câu II.
1) Tìm tất cả các cặp số nguyên (x; y) thỏa mãn đẳng thức: (x + y + 1)(xy + x + y) = 5 + 2(x + y)
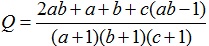
2) Giả sử x, y la các số thực dương thỏa mãn điêu kiện: ![]()
Tìm giá trị nhỏ nhất của biểu thức: ![]()
Câu III.
Cho tam giác nhọn ABC nội tiếp đường tròn tâm O. Gọi M là một điểm trên cung nhỏ BC (M khác B, C và AM không đi qua O). Giả sử P là một điểm thuộc đoạn thẳng AM sao cho đường tròn đường kính MP cắt cung nhỏ BC tại điểm N khác M.
1) Gọi D là điểm đối xứng với điểm M qua O. Chứng minh rằng N, P, D thẳng hàng
2) Đường tròn đường kính MP cắt MD tại Q khác M. Chứng minh rằng Q là tâm đườn tròn nội tiếp tam giác AQN.
Câu IV.
Giả sử a,b,c là các số thực dương thỏa mãn a ≤ b ≤ 3 ≤ c; c ≥ b + 1; a + b ≥ c. Tìm giá trị nhỏ nhất của biểu thức:![]()