Đề thi tuyển sinh lớp 10 tỉnh Long An năm học 2012 - 2013 môn Toán (Hệ công lập - Đề 2)
Để chuẩn bị cho kỳ thi vào cấp 3 sắp tới, Vndoc.com xin gửi đến các bạn: Đề thi tuyển sinh lớp 10 tỉnh Long An năm học 2012 - 2013 môn Toán (Hệ công lập - Đề 2).
Đề thi tuyển sinh lớp 10 môn Toán:
SỞ GIÁO DỤC VÀ ĐÀO TẠO
|
KỲ THI TUYỂN SINH VÀO LỚP 10 HỆ CÔNG LẬP
|
Câu 1: (2 điểm)
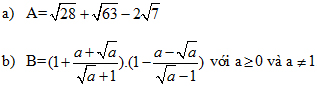
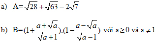
Bài 1: Rút gọn các biểu thức sau:

Bài 2: Giải phương trình sau: ![]()
Câu 2: (2điểm)
Cho hàm số (P): y = x2
a) Vẽ đồ thị hàm số trên mặt phẳng tọa độ Oxy.
b) Tìm tọa độ giao điểm của đồ thị hàm số (P) với đường thẳng y = 3x - 1.
Câu 3: (2 điểm)
Bài 1: Giải phương trình và hệ phương trình sau:
![]()
Bài 2: Cho một hình chữ nhật có chiều dài lớn hơn chiều rộng 8m. Nếu tăng chiều rộng thêm 2m và giảm chiều dài đi 5m thì diện tích hình chữ nhật mới là 210m2. Tính chiều dài và chiều rộng của hình chữ nhật ban đầu.
Câu 4: (4 điểm)
Qua điểm B nằm ở bên ngoài đường tròn (O), vẽ hai tiếp tuyến BC và BD với đường tròn (O), (C, D là các tiếp điểm).
a) Chứng minh tứ giác BCOD nội tiếp.
b) Chứng minh BO vuông góc CD.
c) Từ B vẽ cát tuyến BMN (M nằm giữa B và N, tia BN nằm giữa hai tia BC và BO), gọi H là giao điểm của BO và CD. Chứng minh BM.BN = BH.BO
d) Chứng minh góc HNM = MOH và HC là tia phân giác của góc MHN