Đề thi tuyển sinh lớp 10 tỉnh Long An năm học 2012 - 2013 môn Toán (Hệ công lập - Đề 1)
Vndoc.com xin giới thiệu đến các bạn lớp 9, chuẩn bị thi lên lớp 10: Đề thi tuyển sinh lớp 10 tỉnh Long An năm học 2012 - 2013 môn Toán (Hệ công lập - Đề 1).
Đề thi tuyển sinh lớp 10 môn Toán:
SỞ GIÁO DỤC VÀ ĐÀO TẠO
|
KỲ THI TUYỂN SINH VÀO LỚP 10 HỆ CÔNG LẬP
|
Câu 1: (2 điểm)
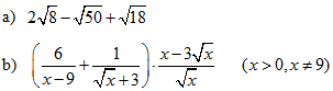
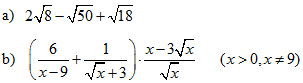
Bài 1: Rút gọn các biểu thức sau:

Bài 2: Giải phương trình: ![]()
Câu 2: (2 điểm)
Cho hai hàm số (P): y = x2 và (d): y = - 2x + 3
a) Vẽ đồ thị của hai hàm số đã cho trên cùng một mặt phẳng tọa độ Oxy.
b) Tìm tọa độ giao điểm của hai đồ thị bằng phép tính.
Câu 3: (2 điểm)
a) Giải phương trình: 3x2 + 4x - 7 = 0
b) Giải hệ phương trình: 
c) Một mảnh vườn hình chữ nhật có chiều dài lớn hơn chiều rộng 5m, diện tích của mảnh vườn là 300m2. Tính chiều dài và chiều rộng của mảnh vườn.
Câu 4: (4 điểm)
Cho đường tròn (O) đường kính AB, M là một điểm trên (O), (M khác A, B và không trùng với điểm chính giữa cung AB). Các tiếp tuyến với đường tròn tại A và M cắt nhau tại P.
a) Chứng minh tứ giác PAOM là tứ giác nội tiếp.
b) Từ O kẻ đường thẳng vuông góc với AB cắt BM tại N. Chứng minh góc NBA = NOP và PO song song với NB.
c) Chứng minh góc PAN = PON và tứ giác POBN là hình bình hành.
d) Gọi Q, R, S lần lượt là giao điểm của PO và AN, PM và ON, PN và OM. Chứng minh ba điểm Q, R, S thẳng hàng.