Giao diện mới của VnDoc Pro: Dễ sử dụng hơn - chỉ tập trung vào lớp bạn quan tâm. Vui lòng chọn lớp mà bạn quan tâm: Lưu và trải nghiệm
Đóng
Điểm danh hàng ngày
  • Hôm nay +3
  • Ngày 2 +3
  • Ngày 3 +3
  • Ngày 4 +3
  • Ngày 5 +3
  • Ngày 6 +3
  • Ngày 7 +5
Bạn đã điểm danh Hôm nay và nhận 3 điểm!
Nhắn tin Zalo VNDOC để nhận tư vấn mua gói Thành viên hoặc tải tài liệu Hotline hỗ trợ: 0936 120 169

Đề thi tuyển sinh lớp 10 tỉnh Long An năm học 2012 - 2013 môn Toán (Hệ chuyên - Đề 1)

Lớp: Lớp 10
Loại File: Word
Phân loại: Tài liệu Tính phí

Vndoc.com xin giới thiệu đến các bạn lớp 9, chuẩn bị thi lên lớp 10: Đề thi tuyển sinh lớp 10 tỉnh Long An năm học 2012 - 2013 môn Toán (Hệ chuyên - Đề 1).

Đề thi tuyển sinh lớp 10 môn Toán:

SỞ GIÁO DỤC VÀ ĐÀO TẠO
LONG AN

(Đề thi chính thức)

KỲ THI TUYỂN SINH VÀO LỚP 10 HỆ CHUYÊN
NĂM HỌC 2O12 – 2013
Môn thi: TOÁN (Hệ chuyên)

(Thời gian làm bài 150 phút không kể thời gian giao đề)
Ngày thi: 05/07/2012

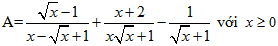
Câu 1: (1,5điểm)

Cho biểu thức: Đề thi tuyển sinh lớp 10 chuyên toán

a) Rút gọn biểu thức A.

b) Tìm giá trị lớn nhất của biểu thức A.

Câu 2: (2 điểm)

Cho phương trình x2 - 2(m - 1)x + 2m - 3 = 0 (x là ẩn, m là tham số).

Tìm giá trị của m để phương trình có hai nghiệm x1, x2 sao cho:

Câu 3: (1 điểm)

Giải phương trình:

Câu 4: (2,5 điểm)

Cho hai điểm B,C cố định trên đường tròn (O), (đường thẳng BC không đi qua tâm O). Từ B,C kẻ hai tiếp tuyến với đường tròn cắt nhau tại D, từ D kẻ cát tuyến d cắt đường tròn tại hai điểm E và F (d không đi qua tâm O và không trùng với DB, DC; E nằm giữa D và F). Từ B kẻ đường thẳng song song với d cắt đường tròn tại điểm M ( M khác B), MC cắt d tại I.

a) Chứng minnh góc BMC = DOC

b) Chứng minh bốn điểm D, C, I ,O nằm trên một đường tròn và I là trung điểm của EF.

c) Tìm quỹ tích điểm I khi d di động.

Câu 5: (1 điểm)

Chứng minh rằng với mọi n thuộc N thì chia hết cho 11.

Câu 6: (1 điểm)

Cho x, y, z là độ dài ba cạnh của một tam giác có chu vi là 2. Hãy so sánh x, y, z với 1 và chứng minh rằng:
x2 + y2 + z2 + 2xyz < 2.

Câu 7: (1điểm)

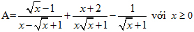
Cho tam giác ABC có ba đường cao AD, BE, CF (D thuộc BC, E thuộc AC, F thuộc AB) và đường tròn (O; r) nội tiếp tam giác ABC.
Chứng minh Đề thi tuyển sinh lớp 10 chuyên toán

Chọn file muốn tải về:
Đóng Chỉ thành viên VnDoc PRO/PROPLUS tải được nội dung này!
Đóng
79.000 / tháng
Đặc quyền các gói Thành viên
PRO
Phổ biến nhất
PRO+
Tải tài liệu Cao cấp 1 Lớp
30 lượt tải tài liệu
Xem nội dung bài viết
Trải nghiệm Không quảng cáo
Làm bài trắc nghiệm không giới hạn
Mua cả năm Tiết kiệm tới 48%
1

Có thể bạn quan tâm

Xác thực tài khoản!

Theo Nghị định 147/2024/ND-CP, bạn cần xác thực tài khoản trước khi sử dụng tính năng này. Chúng tôi sẽ gửi mã xác thực qua SMS hoặc Zalo tới số điện thoại mà bạn nhập dưới đây:

Số điện thoại chưa đúng định dạng!
Số điện thoại này đã được xác thực!
Bạn có thể dùng Sđt này đăng nhập tại đây!
Lỗi gửi SMS, liên hệ Admin
Sắp xếp theo
🖼️

Lớp 10

Xem thêm
🖼️

Gợi ý cho bạn

Xem thêm