Giải bài tập Hóa 11 nâng cao bài 47
Hóa học 11 - Stiren và naphtalen
VnDoc xin giới thiệu tới các bạn tài liệu Giải bài tập Hóa 11 nâng cao bài 47, nội dung tài liệu gồm 6 bài tập trang 196 SGK kèm theo lời giải chi tiết sẽ giúp các bạn học sinh có kết quả tốt hơn trong học tập. Mời các bạn học sinh tham khảo chi tiết bài viết dưới đây nhé.
- Giải bài tập Hóa 11 nâng cao bài 42
- Giải bài tập Hóa 11 nâng cao bài 43
- Giải bài tập Hóa 11 nâng cao bài 44
- Giải bài tập Hóa 11 nâng cao bài 46
Giải bài tập Hóa 11 nâng cao bài 47 Stiren và naphtalen vừa được VnDoc.com sưu tập và xin gửi tới bạn đọc cùng tham khảo. Bài viết được tổng hợp gồm có lời giải của 6 bài tập trong sách giáo khoa môn Hóa học lớp 11 bài Stiren và naphtalen. Qua bài viết bạn đọc có thể thấy được cách viết công thức cấu tạo của chất, cách dùng công thức viết sơ đồ phản ứng... Mời các bạn cùng tham khảo chi tiết và tải về tại đây nhé.
Giải bài tập Hóa 11 nâng cao Stiren và naphtalen
Bài 1 (trang 196 sgk Hóa 11 nâng cao)
Ba học sinh viết công thức cấu tạo của naphtalen theo ba cách dưới đây và điều cho là mình đúng, bạn sai? Ý kiến của em như thế nào?
Lời giải:

Ba học sinh đều đúng. Công thức cấu tạo của naphtalen

Bài 2 (trang 196 sgk Hóa 11 nâng cao)
Hãy viết công thức cấu tạo của các chất sau:
a) O-clostiren, m-nitrostiren;p-flostiren.
b) α-clonaphtalen, β-metylnaphtalen,2-nittrinaphatalen,1-flonaphtalen.
Lời giải:

Bài 3 (trang 196 sgk Hóa 11 nâng cao)
Khi cho stiren tác dụng với brom có mặt bột sắt người ta thu được hỗn hợp 3 chất có công thức phân tử C8H7Br3. Hãy viết công thức cấu tạo của chúng và cho biết đã xảy ra các phản ứng nào?
Lời giải:

Bài 4 (trang 196 sgk Hóa 11 nâng cao)
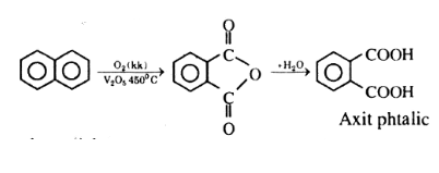
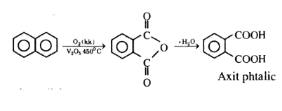
Axit phtalic: C8H6O4 dùng nhiều trong sản xuất chất dẻo và dược phẩm được điều chế như sau: Oxi hóa naphtalen bằng O2 với xúc tác V2O5 ở 450oC rồi cho sản phẩm tác dụng với nước. Hãy dùng công thức viết sơ đồ phản ứng.
Lời giải:
Sơ đồ điều chế axit phtalic.

Bài 5 (trang 196 sgk Hóa 11 nâng cao)
Chỉ dùng một thuốc thử, hãy phân biệt các chất trong các nhóm sau, viết sơ đồ phản ứng xảy ra.
a) Bezen, etyl benzene và stiren
b) stiren, phenylaxetilen
Lời giải:
a) Dùng dung dịch KMnO4
Stiren làm mất màu KMnO4, ở nhiệt độ thường
3C6H5-CH=CH2 + 2KMnO4 + 4H2O→3C6H5-CH(OH)-CH2(OH) + 2KOH + 2MnO2
etyl benzen làm mất màu KMnO4 khi đun nóng
![]()
b) Dùng dung dịch AgNO3/NH3 nhận biết được phenulexetilen vì tạo ra kết tủa vàng nhạt.
C6H5-C≡CH + [Ag(NH3)2](OH)→C6H5-C≡CAg + 2NH3 + H2O
Bài 6 (trang 196 sgk Hóa học 11 nâng cao)
Trong công nghiệp, để điều chế stiren người ta làm như sau: Cho etilen phản ứng với benzene có xúc tác axit thu được etyl benzene rồi cho etyl benzene qua xúc tác ZnO nung nóng.
a) Hãy viết phương trình hóa học của phản ứng xảy ra.
b) Hãy tính xem 1 tấn benzene cần tối thiểu bao nhiểu m3 etilen và tạo thành bao nhiêu kg stiren, biết rằng hiệu suất mỗi giai đoạn phản ứng đều đạt 80%.
Lời giải:

-----------------------------------
Trên đây VnDoc.com đã giới thiệu tới bạn đọc tài liệu: Giải bài tập Hóa 11 nâng cao bài 47. Mong rằng qua bài viết này các bạn có thêm tài liệu để học tập tốt hơn môn Hóa học lớp 11 nhé. Để có kết quả cao hơn trong học tập, VnDoc xin giới thiệu tới các bạn học sinh tài liệu Sinh học lớp 11, Vật lý lớp 11, Giải bài tập Hóa học lớp 11, Giải bài tập Toán 11 mà VnDoc tổng hợp và đăng tải.
Mời bạn đọc cùng tham gia nhóm Tài liệu học tập lớp 11 để có thêm tài liệu học tập nhé